microRNA成熟组分的表达水平及多态性Drosha、DGCR8和Dicer在白癜风患者中的诊断价值。

IF 0.9
Soner Aşır, Özlem İzci Ay, Mustafa Ertan Ay, Kenan Çevik, Gurbet Doğru Özdemir, Merve Türkegün Şengül, Mehmet Emin Erdal, Ümit Türsen
{"title":"microRNA成熟组分的表达水平及多态性Drosha、DGCR8和Dicer在白癜风患者中的诊断价值。","authors":"Soner Aşır, Özlem İzci Ay, Mustafa Ertan Ay, Kenan Çevik, Gurbet Doğru Özdemir, Merve Türkegün Şengül, Mehmet Emin Erdal, Ümit Türsen","doi":"10.4314/ahs.v25i2.19","DOIUrl":null,"url":null,"abstract":"<p><strong>Background and objective: </strong>Even though the pathogenesis of vitiligo is still unclear, recent studies have suggested that miRNAs can contribute to the occurrence and progression of the disease. The aim of the present study was to investigate the associations between SNPs of miRNA processing genes and their expression levels with vitiligo susceptibility.</p><p><strong>Methods: </strong>55 patients and 56 controls were investigated for Dicer, Drosha, and DGCR8 gene expressions and genotyped for Drosha rs493760, DGCR8 rs1640299, and Dicer rs1057035 by real-time PCR. The correlation of the expression levels of these three genes was analyzed. The ROC curve was used to analyze their diagnostic efficacy for vitiligo.</p><p><strong>Results: </strong>The current findings showed that the Dicer CT genotype was more frequent in vitiligo (p=0.046) compared to controls, while Drosha and DGCR8 polymorphisms did not show significant associations. The relative expression levels of the three genes in vitiligo patients were significantly lower than those in the control group (p<0.05). The areas under the curves for Drosha, DGCR8, and Dicer were 0.969, 0.66, 0.67.</p><p><strong>Conclusions: </strong>For the first time, we demonstrate that the Dicer rs1057035 polymorphism is associated with vitiligo susceptibility, and the downregulation of Drosha, DGCR8, and Dicer suggests their potential roles as biomarkers in the pathogenesis of vitiligo.</p>","PeriodicalId":94295,"journal":{"name":"African health sciences","volume":"25 2","pages":"141-152"},"PeriodicalIF":0.9000,"publicationDate":"2025-06-01","publicationTypes":"Journal Article","fieldsOfStudy":null,"isOpenAccess":false,"openAccessPdf":"https://www.ncbi.nlm.nih.gov/pmc/articles/PMC12361973/pdf/","citationCount":"0","resultStr":"{\"title\":\"Expression levels and polymorphisms of the microRNA maturing components; diagnostic values of Drosha, DGCR8 and Dicer in patients with vitiligo.\",\"authors\":\"Soner Aşır, Özlem İzci Ay, Mustafa Ertan Ay, Kenan Çevik, Gurbet Doğru Özdemir, Merve Türkegün Şengül, Mehmet Emin Erdal, Ümit Türsen\",\"doi\":\"10.4314/ahs.v25i2.19\",\"DOIUrl\":null,\"url\":null,\"abstract\":\"<p><strong>Background and objective: </strong>Even though the pathogenesis of vitiligo is still unclear, recent studies have suggested that miRNAs can contribute to the occurrence and progression of the disease. The aim of the present study was to investigate the associations between SNPs of miRNA processing genes and their expression levels with vitiligo susceptibility.</p><p><strong>Methods: </strong>55 patients and 56 controls were investigated for Dicer, Drosha, and DGCR8 gene expressions and genotyped for Drosha rs493760, DGCR8 rs1640299, and Dicer rs1057035 by real-time PCR. The correlation of the expression levels of these three genes was analyzed. The ROC curve was used to analyze their diagnostic efficacy for vitiligo.</p><p><strong>Results: </strong>The current findings showed that the Dicer CT genotype was more frequent in vitiligo (p=0.046) compared to controls, while Drosha and DGCR8 polymorphisms did not show significant associations. The relative expression levels of the three genes in vitiligo patients were significantly lower than those in the control group (p<0.05). The areas under the curves for Drosha, DGCR8, and Dicer were 0.969, 0.66, 0.67.</p><p><strong>Conclusions: </strong>For the first time, we demonstrate that the Dicer rs1057035 polymorphism is associated with vitiligo susceptibility, and the downregulation of Drosha, DGCR8, and Dicer suggests their potential roles as biomarkers in the pathogenesis of vitiligo.</p>\",\"PeriodicalId\":94295,\"journal\":{\"name\":\"African health sciences\",\"volume\":\"25 2\",\"pages\":\"141-152\"},\"PeriodicalIF\":0.9000,\"publicationDate\":\"2025-06-01\",\"publicationTypes\":\"Journal Article\",\"fieldsOfStudy\":null,\"isOpenAccess\":false,\"openAccessPdf\":\"https://www.ncbi.nlm.nih.gov/pmc/articles/PMC12361973/pdf/\",\"citationCount\":\"0\",\"resultStr\":null,\"platform\":\"Semanticscholar\",\"paperid\":null,\"PeriodicalName\":\"African health sciences\",\"FirstCategoryId\":\"1085\",\"ListUrlMain\":\"https://doi.org/10.4314/ahs.v25i2.19\",\"RegionNum\":0,\"RegionCategory\":null,\"ArticlePicture\":[],\"TitleCN\":null,\"AbstractTextCN\":null,\"PMCID\":null,\"EPubDate\":\"\",\"PubModel\":\"\",\"JCR\":\"\",\"JCRName\":\"\",\"Score\":null,\"Total\":0}","platform":"Semanticscholar","paperid":null,"PeriodicalName":"African health sciences","FirstCategoryId":"1085","ListUrlMain":"https://doi.org/10.4314/ahs.v25i2.19","RegionNum":0,"RegionCategory":null,"ArticlePicture":[],"TitleCN":null,"AbstractTextCN":null,"PMCID":null,"EPubDate":"","PubModel":"","JCR":"","JCRName":"","Score":null,"Total":0}
引用次数: 0

摘要

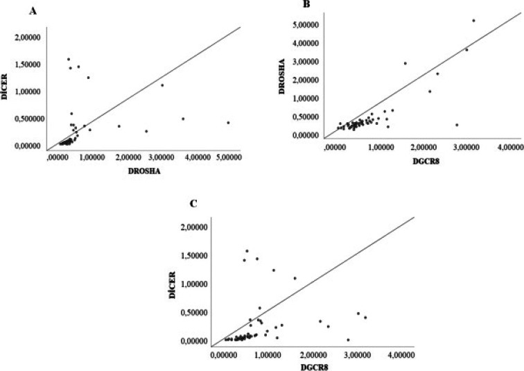
背景与目的:尽管白癜风的发病机制尚不清楚,但最近的研究表明,mirna可能与疾病的发生和发展有关。本研究的目的是探讨miRNA加工基因的snp及其表达水平与白癜风易感性之间的关系。方法:检测55例患者和56例对照者的Dicer、Drosha和DGCR8基因表达情况,并采用实时荧光定量PCR技术分型Drosha rs493760、DGCR8 rs1640299和Dicer rs1057035基因。分析了这三个基因表达水平的相关性。采用ROC曲线分析其对白癜风的诊断效果。结果:目前的研究结果显示,Dicer CT基因型在白癜风中比对照组更常见(p=0.046),而Drosha和DGCR8多态性无显著相关性。结论:本研究首次证实Dicer rs1057035多态性与白癜风易感性相关,且Drosha、DGCR8和Dicer基因的下调提示其在白癜风发病机制中具有潜在的生物标志物作用。
本文章由计算机程序翻译,如有差异,请以英文原文为准。

Expression levels and polymorphisms of the microRNA maturing components; diagnostic values of Drosha, DGCR8 and Dicer in patients with vitiligo.

Expression levels and polymorphisms of the microRNA maturing components; diagnostic values of Drosha, DGCR8 and Dicer in patients with vitiligo.

Expression levels and polymorphisms of the microRNA maturing components; diagnostic values of Drosha, DGCR8 and Dicer in patients with vitiligo.

Expression levels and polymorphisms of the microRNA maturing components; diagnostic values of Drosha, DGCR8 and Dicer in patients with vitiligo.

Background and objective: Even though the pathogenesis of vitiligo is still unclear, recent studies have suggested that miRNAs can contribute to the occurrence and progression of the disease. The aim of the present study was to investigate the associations between SNPs of miRNA processing genes and their expression levels with vitiligo susceptibility.

Methods: 55 patients and 56 controls were investigated for Dicer, Drosha, and DGCR8 gene expressions and genotyped for Drosha rs493760, DGCR8 rs1640299, and Dicer rs1057035 by real-time PCR. The correlation of the expression levels of these three genes was analyzed. The ROC curve was used to analyze their diagnostic efficacy for vitiligo.

Results: The current findings showed that the Dicer CT genotype was more frequent in vitiligo (p=0.046) compared to controls, while Drosha and DGCR8 polymorphisms did not show significant associations. The relative expression levels of the three genes in vitiligo patients were significantly lower than those in the control group (p<0.05). The areas under the curves for Drosha, DGCR8, and Dicer were 0.969, 0.66, 0.67.

Conclusions: For the first time, we demonstrate that the Dicer rs1057035 polymorphism is associated with vitiligo susceptibility, and the downregulation of Drosha, DGCR8, and Dicer suggests their potential roles as biomarkers in the pathogenesis of vitiligo.

求助全文
通过发布文献求助,成功后即可免费获取论文全文。 去求助
来源期刊
自引率
0.00%
发文量
0
×
引用
GB/T 7714-2015
复制
MLA
复制
APA
复制
导出至
BibTeX EndNote RefMan NoteFirst NoteExpress
×
提示
您的信息不完整,为了账户安全,请先补充。
现在去补充
×
提示
您因"违规操作"
具体请查看互助需知
我知道了
×
提示
确定
请完成安全验证×
copy
已复制链接
快去分享给好友吧!
我知道了
右上角分享
点击右上角分享
0
联系我们:info@booksci.cn Book学术提供免费学术资源搜索服务,方便国内外学者检索中英文文献。致力于提供最便捷和优质的服务体验。 Copyright © 2023 布克学术 All rights reserved.
京ICP备2023020795号-1
ghs 京公网安备 11010802042870号
Book学术文献互助
Book学术文献互助群
群 号:604180095
Book学术官方微信