青光眼治疗的睫状体透析手术:100年临床证据的系统回顾和荟萃分析。

Clinical ophthalmology (Auckland, N.Z.) Pub Date : 2025-08-21 eCollection Date: 2025-01-01 DOI:10.2147/OPTH.S538438
Robert Stamper, Alex Huang, Carol Toris, Mary Qiu, Gerry Gray, Reena Garg, Tsontcho Ianchulev
{"title":"青光眼治疗的睫状体透析手术:100年临床证据的系统回顾和荟萃分析。","authors":"Robert Stamper, Alex Huang, Carol Toris, Mary Qiu, Gerry Gray, Reena Garg, Tsontcho Ianchulev","doi":"10.2147/OPTH.S538438","DOIUrl":null,"url":null,"abstract":"<p><strong>Synopsis: </strong>A meta-analysis of over 4000 glaucoma cases over 100 years of surgical experience demonstrates that cyclodialysis surgery is effective in lowering intraocular pressure (IOP) as an uveoscleral outflow enhancing procedure.</p><p><strong>Objective: </strong>To conduct a systematic review and meta-analysis evaluating the clinical efficacy and safety of surgical cyclodialysis in lowering intraocular pressure in glaucoma patients.</p><p><strong>Methods: </strong>A comprehensive search of PubMed, Cochrane, Web of Science, and EMBASE identified peer-reviewed interventional studies involving surgical cyclodialysis for IOP reduction. Key outcome measures included long-term IOP control, medication burden, and adverse event incidence. The meta-analysis was registered with PROSPERO (ID: CRD42025632759).</p><p><strong>Results: </strong>Forty studies spanning more than a century and including 4082 eyes were analyzed. Most studies were observational and non-randomized, with 75% employing ab-externo and 25% ab-key techniques. Given the evolution of surgical techniques and populations over time, analyses accounted for heterogeneity in outcome reporting. Across all studies, the average qualified success rate was 72.3% (range: 33-97%) over follow-up periods of 6 to 132 months. Ab-interno approaches showed slightly higher efficacy and fewer complications. Durability varied, with reduced outcomes in refractory and advanced glaucoma. Complications such as hyphema, hypotony, and vision loss were infrequent. Notably, newer ab-interno techniques demonstrated improved outcomes in IOP reduction, safety, and procedural longevity.</p><p><strong>Conclusion: </strong>Cyclodialysis remains a viable and effective surgical option for enhancing uveoscleral outflow in glaucoma management. While outcomes vary by patient severity and surgical technique, particularly with older methods, modern ab-interno approaches offer enhanced efficacy and safety-especially in mild to moderate cases.</p>","PeriodicalId":93945,"journal":{"name":"Clinical ophthalmology (Auckland, N.Z.)","volume":"19 ","pages":"2859-2870"},"PeriodicalIF":0.0000,"publicationDate":"2025-08-21","publicationTypes":"Journal Article","fieldsOfStudy":null,"isOpenAccess":false,"openAccessPdf":"https://www.ncbi.nlm.nih.gov/pmc/articles/PMC12377377/pdf/","citationCount":"0","resultStr":"{\"title\":\"Cyclodialysis Surgery for Glaucoma Management: A Systematic Review and Meta-Analysis of 100 Years of Clinical Evidence.\",\"authors\":\"Robert Stamper, Alex Huang, Carol Toris, Mary Qiu, Gerry Gray, Reena Garg, Tsontcho Ianchulev\",\"doi\":\"10.2147/OPTH.S538438\",\"DOIUrl\":null,\"url\":null,\"abstract\":\"<p><strong>Synopsis: </strong>A meta-analysis of over 4000 glaucoma cases over 100 years of surgical experience demonstrates that cyclodialysis surgery is effective in lowering intraocular pressure (IOP) as an uveoscleral outflow enhancing procedure.</p><p><strong>Objective: </strong>To conduct a systematic review and meta-analysis evaluating the clinical efficacy and safety of surgical cyclodialysis in lowering intraocular pressure in glaucoma patients.</p><p><strong>Methods: </strong>A comprehensive search of PubMed, Cochrane, Web of Science, and EMBASE identified peer-reviewed interventional studies involving surgical cyclodialysis for IOP reduction. Key outcome measures included long-term IOP control, medication burden, and adverse event incidence. The meta-analysis was registered with PROSPERO (ID: CRD42025632759).</p><p><strong>Results: </strong>Forty studies spanning more than a century and including 4082 eyes were analyzed. Most studies were observational and non-randomized, with 75% employing ab-externo and 25% ab-key techniques. Given the evolution of surgical techniques and populations over time, analyses accounted for heterogeneity in outcome reporting. Across all studies, the average qualified success rate was 72.3% (range: 33-97%) over follow-up periods of 6 to 132 months. Ab-interno approaches showed slightly higher efficacy and fewer complications. Durability varied, with reduced outcomes in refractory and advanced glaucoma. Complications such as hyphema, hypotony, and vision loss were infrequent. Notably, newer ab-interno techniques demonstrated improved outcomes in IOP reduction, safety, and procedural longevity.</p><p><strong>Conclusion: </strong>Cyclodialysis remains a viable and effective surgical option for enhancing uveoscleral outflow in glaucoma management. While outcomes vary by patient severity and surgical technique, particularly with older methods, modern ab-interno approaches offer enhanced efficacy and safety-especially in mild to moderate cases.</p>\",\"PeriodicalId\":93945,\"journal\":{\"name\":\"Clinical ophthalmology (Auckland, N.Z.)\",\"volume\":\"19 \",\"pages\":\"2859-2870\"},\"PeriodicalIF\":0.0000,\"publicationDate\":\"2025-08-21\",\"publicationTypes\":\"Journal Article\",\"fieldsOfStudy\":null,\"isOpenAccess\":false,\"openAccessPdf\":\"https://www.ncbi.nlm.nih.gov/pmc/articles/PMC12377377/pdf/\",\"citationCount\":\"0\",\"resultStr\":null,\"platform\":\"Semanticscholar\",\"paperid\":null,\"PeriodicalName\":\"Clinical ophthalmology (Auckland, N.Z.)\",\"FirstCategoryId\":\"1085\",\"ListUrlMain\":\"https://doi.org/10.2147/OPTH.S538438\",\"RegionNum\":0,\"RegionCategory\":null,\"ArticlePicture\":[],\"TitleCN\":null,\"AbstractTextCN\":null,\"PMCID\":null,\"EPubDate\":\"2025/1/1 0:00:00\",\"PubModel\":\"eCollection\",\"JCR\":\"\",\"JCRName\":\"\",\"Score\":null,\"Total\":0}","platform":"Semanticscholar","paperid":null,"PeriodicalName":"Clinical ophthalmology (Auckland, N.Z.)","FirstCategoryId":"1085","ListUrlMain":"https://doi.org/10.2147/OPTH.S538438","RegionNum":0,"RegionCategory":null,"ArticlePicture":[],"TitleCN":null,"AbstractTextCN":null,"PMCID":null,"EPubDate":"2025/1/1 0:00:00","PubModel":"eCollection","JCR":"","JCRName":"","Score":null,"Total":0}
引用次数: 0

摘要

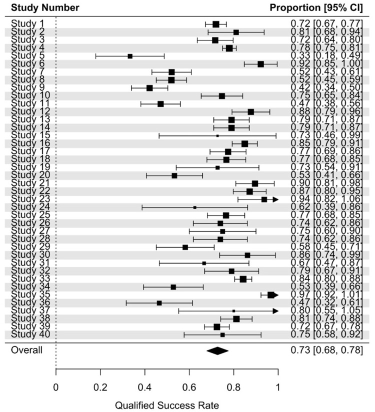
摘要:一项对超过4000例青光眼患者100多年手术经验的荟萃分析表明,作为一种增强巩膜流出的手术,睫状体透析手术可以有效降低眼压(IOP)。目的:通过系统回顾和荟萃分析,评价手术睫状体透析降低青光眼患者眼压的临床疗效和安全性。方法:综合检索PubMed、Cochrane、Web of Science和EMBASE,确定同行评审的介入研究,包括手术睫状体透析降低IOP。主要结局指标包括长期IOP控制、药物负担和不良事件发生率。该荟萃分析在PROSPERO注册(ID: CRD42025632759)。结果:40项研究跨越了一个多世纪,涉及4082只眼睛。大多数研究是观察性和非随机的,75%采用ab-externo技术,25%采用ab-key技术。考虑到手术技术和人群随时间的变化,分析结果报告的异质性。在所有研究中,在6至132个月的随访期间,平均合格成功率为72.3%(范围:33-97%)。Ab-interno入路疗效略高,并发症少。持久性各不相同,难治性和晚期青光眼的预后降低。并发症如前房积血、低斜视和视力丧失是罕见的。值得注意的是,较新的ab-interno技术在IOP降低、安全性和手术寿命方面表现出更好的效果。结论:在青光眼治疗中,睫状体透析仍然是一种可行且有效的增强巩膜流出的手术选择。虽然结果因患者严重程度和手术技术而异,特别是旧方法,但现代ab-interno方法具有更高的疗效和安全性,特别是在轻中度病例中。
本文章由计算机程序翻译,如有差异,请以英文原文为准。

Cyclodialysis Surgery for Glaucoma Management: A Systematic Review and Meta-Analysis of 100 Years of Clinical Evidence.

Cyclodialysis Surgery for Glaucoma Management: A Systematic Review and Meta-Analysis of 100 Years of Clinical Evidence.

Cyclodialysis Surgery for Glaucoma Management: A Systematic Review and Meta-Analysis of 100 Years of Clinical Evidence.

Cyclodialysis Surgery for Glaucoma Management: A Systematic Review and Meta-Analysis of 100 Years of Clinical Evidence.

Synopsis: A meta-analysis of over 4000 glaucoma cases over 100 years of surgical experience demonstrates that cyclodialysis surgery is effective in lowering intraocular pressure (IOP) as an uveoscleral outflow enhancing procedure.

Objective: To conduct a systematic review and meta-analysis evaluating the clinical efficacy and safety of surgical cyclodialysis in lowering intraocular pressure in glaucoma patients.

Methods: A comprehensive search of PubMed, Cochrane, Web of Science, and EMBASE identified peer-reviewed interventional studies involving surgical cyclodialysis for IOP reduction. Key outcome measures included long-term IOP control, medication burden, and adverse event incidence. The meta-analysis was registered with PROSPERO (ID: CRD42025632759).

Results: Forty studies spanning more than a century and including 4082 eyes were analyzed. Most studies were observational and non-randomized, with 75% employing ab-externo and 25% ab-key techniques. Given the evolution of surgical techniques and populations over time, analyses accounted for heterogeneity in outcome reporting. Across all studies, the average qualified success rate was 72.3% (range: 33-97%) over follow-up periods of 6 to 132 months. Ab-interno approaches showed slightly higher efficacy and fewer complications. Durability varied, with reduced outcomes in refractory and advanced glaucoma. Complications such as hyphema, hypotony, and vision loss were infrequent. Notably, newer ab-interno techniques demonstrated improved outcomes in IOP reduction, safety, and procedural longevity.

Conclusion: Cyclodialysis remains a viable and effective surgical option for enhancing uveoscleral outflow in glaucoma management. While outcomes vary by patient severity and surgical technique, particularly with older methods, modern ab-interno approaches offer enhanced efficacy and safety-especially in mild to moderate cases.

求助全文
通过发布文献求助,成功后即可免费获取论文全文。 去求助
来源期刊
CiteScore
4.10
自引率
0.00%
发文量
0
×
引用
GB/T 7714-2015
复制
MLA
复制
APA
复制
导出至
BibTeX EndNote RefMan NoteFirst NoteExpress
×
提示
您的信息不完整,为了账户安全,请先补充。
现在去补充
×
提示
您因"违规操作"
具体请查看互助需知
我知道了
×
提示
确定
请完成安全验证×
copy
已复制链接
快去分享给好友吧!
我知道了
右上角分享
点击右上角分享
0
联系我们:info@booksci.cn Book学术提供免费学术资源搜索服务,方便国内外学者检索中英文文献。致力于提供最便捷和优质的服务体验。 Copyright © 2023 布克学术 All rights reserved.
京ICP备2023020795号-1
ghs 京公网安备 11010802042870号
Book学术文献互助
Book学术文献互助群
群 号:604180095
Book学术官方微信