气候梯度是恩塞利亚iWUE和δ15N值地理变化的基础。

Q3 Agricultural and Biological Sciences
Plant-environment interactions (Hoboken, N.J.) Pub Date : 2025-08-28 eCollection Date: 2025-08-01 DOI:10.1002/pei3.70080
Tegan E Lengyel, Iman Karavan-Jahromi, Avery W Driscoll, James R Ehleringer
{"title":"气候梯度是恩塞利亚iWUE和δ15N值地理变化的基础。","authors":"Tegan E Lengyel, Iman Karavan-Jahromi, Avery W Driscoll, James R Ehleringer","doi":"10.1002/pei3.70080","DOIUrl":null,"url":null,"abstract":"<p><p>This study assessed variations in leaf intrinsic water use efficiency (iWUE) and δ<sup>15</sup>N values among <i>Encelia</i>, a genus of drought-deciduous shrubs distributed across arid regions of southwestern North America between 1972 and 1980 when climates were cooler than today. We hypothesized that geographical variations in climate would significantly influence iWUE, a response to water-related climate constraints, and δ<sup>15</sup>N values, a proxy for the balance between N<sub>2</sub> fixation and denitrification. Leaf samples were collected from six species of <i>Encelia</i> across 78 sites representing the genus range. The δ<sup>15</sup>N and δ<sup>13</sup>C values of these samples were measured and analyzed to identify drivers of spatial variability. Significant variations among iWUE and δ<sup>15</sup>N values were observed as a function of climate, along a spring-summer precipitation gradient. Precipitation and vapor pressure deficit (VPD) were significant drivers of variations in iWUE values, with iWUE increasing with VPD and/or decreasing precipitation, as would be predicted based on water-related constraints on leaf gas exchange. Climate values were significant drivers of variations in δ<sup>15</sup>N values, with lower δ<sup>15</sup>N values occurring in cooler temperature, spring-growing plants (northern latitudes) than in warmer summer-growing plants (southern latitudes). <i>Encelia</i> leaf iWUE and δ<sup>15</sup>N observations suggest few, if any, species-specific differences; but more likely that there is high plasticity in these values driven by variations in climate.</p>","PeriodicalId":74457,"journal":{"name":"Plant-environment interactions (Hoboken, N.J.)","volume":"6 4","pages":"e70080"},"PeriodicalIF":0.0000,"publicationDate":"2025-08-28","publicationTypes":"Journal Article","fieldsOfStudy":null,"isOpenAccess":false,"openAccessPdf":"https://www.ncbi.nlm.nih.gov/pmc/articles/PMC12391729/pdf/","citationCount":"0","resultStr":"{\"title\":\"Climate Gradients Underlie Geographical Variations in iWUE and δ<sup>15</sup>N Values of <i>Encelia</i>.\",\"authors\":\"Tegan E Lengyel, Iman Karavan-Jahromi, Avery W Driscoll, James R Ehleringer\",\"doi\":\"10.1002/pei3.70080\",\"DOIUrl\":null,\"url\":null,\"abstract\":\"<p><p>This study assessed variations in leaf intrinsic water use efficiency (iWUE) and δ<sup>15</sup>N values among <i>Encelia</i>, a genus of drought-deciduous shrubs distributed across arid regions of southwestern North America between 1972 and 1980 when climates were cooler than today. We hypothesized that geographical variations in climate would significantly influence iWUE, a response to water-related climate constraints, and δ<sup>15</sup>N values, a proxy for the balance between N<sub>2</sub> fixation and denitrification. Leaf samples were collected from six species of <i>Encelia</i> across 78 sites representing the genus range. The δ<sup>15</sup>N and δ<sup>13</sup>C values of these samples were measured and analyzed to identify drivers of spatial variability. Significant variations among iWUE and δ<sup>15</sup>N values were observed as a function of climate, along a spring-summer precipitation gradient. Precipitation and vapor pressure deficit (VPD) were significant drivers of variations in iWUE values, with iWUE increasing with VPD and/or decreasing precipitation, as would be predicted based on water-related constraints on leaf gas exchange. Climate values were significant drivers of variations in δ<sup>15</sup>N values, with lower δ<sup>15</sup>N values occurring in cooler temperature, spring-growing plants (northern latitudes) than in warmer summer-growing plants (southern latitudes). <i>Encelia</i> leaf iWUE and δ<sup>15</sup>N observations suggest few, if any, species-specific differences; but more likely that there is high plasticity in these values driven by variations in climate.</p>\",\"PeriodicalId\":74457,\"journal\":{\"name\":\"Plant-environment interactions (Hoboken, N.J.)\",\"volume\":\"6 4\",\"pages\":\"e70080\"},\"PeriodicalIF\":0.0000,\"publicationDate\":\"2025-08-28\",\"publicationTypes\":\"Journal Article\",\"fieldsOfStudy\":null,\"isOpenAccess\":false,\"openAccessPdf\":\"https://www.ncbi.nlm.nih.gov/pmc/articles/PMC12391729/pdf/\",\"citationCount\":\"0\",\"resultStr\":null,\"platform\":\"Semanticscholar\",\"paperid\":null,\"PeriodicalName\":\"Plant-environment interactions (Hoboken, N.J.)\",\"FirstCategoryId\":\"1085\",\"ListUrlMain\":\"https://doi.org/10.1002/pei3.70080\",\"RegionNum\":0,\"RegionCategory\":null,\"ArticlePicture\":[],\"TitleCN\":null,\"AbstractTextCN\":null,\"PMCID\":null,\"EPubDate\":\"2025/8/1 0:00:00\",\"PubModel\":\"eCollection\",\"JCR\":\"Q3\",\"JCRName\":\"Agricultural and Biological Sciences\",\"Score\":null,\"Total\":0}","platform":"Semanticscholar","paperid":null,"PeriodicalName":"Plant-environment interactions (Hoboken, N.J.)","FirstCategoryId":"1085","ListUrlMain":"https://doi.org/10.1002/pei3.70080","RegionNum":0,"RegionCategory":null,"ArticlePicture":[],"TitleCN":null,"AbstractTextCN":null,"PMCID":null,"EPubDate":"2025/8/1 0:00:00","PubModel":"eCollection","JCR":"Q3","JCRName":"Agricultural and Biological Sciences","Score":null,"Total":0}
引用次数: 0

摘要

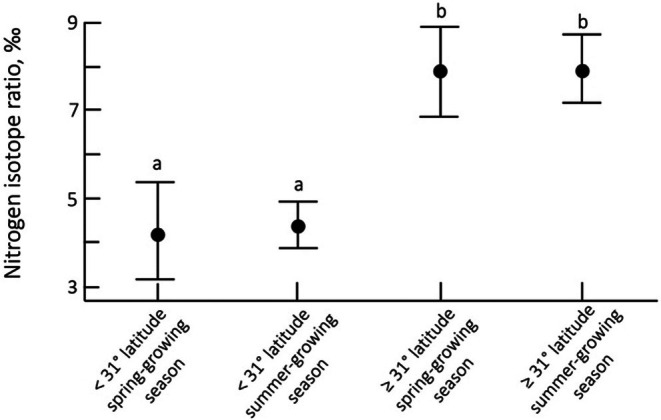
研究了1972 - 1980年气候比现在更冷的北美西南部干旱落叶灌木恩切利亚(Encelia)的叶片内在水分利用效率(iWUE)和δ15N值的变化。我们假设气候的地理变化会显著影响iWUE(对与水有关的气候约束的响应)和δ15N值(代表N2固定和反硝化之间的平衡)。在78个地点采集了6个种的叶样。对这些样品的δ15N和δ13C值进行了测量和分析,以确定空间变异的驱动因素。水资源利用效率和δ15N值沿春夏降水梯度呈显著的气候函数变化。降水和蒸汽压差(VPD)是iWUE值变化的重要驱动因素,iWUE随VPD和(或)降水的减少而增加,这可以根据水分对叶片气体交换的相关约束来预测。气候值是δ15N值变化的显著驱动因素,温度较低的春季生长植物(北纬)的δ15N值低于较温暖的夏季生长植物(南纬)。褐藻叶片iWUE和δ15N的观测表明,即使有,也几乎没有物种特异性差异;但更有可能的是,在气候变化的驱动下,这些值具有高度的可塑性。
本文章由计算机程序翻译,如有差异,请以英文原文为准。

Climate Gradients Underlie Geographical Variations in iWUE and δ<sup>15</sup>N Values of <i>Encelia</i>.

Climate Gradients Underlie Geographical Variations in iWUE and δ<sup>15</sup>N Values of <i>Encelia</i>.

Climate Gradients Underlie Geographical Variations in iWUE and δ<sup>15</sup>N Values of <i>Encelia</i>.

Climate Gradients Underlie Geographical Variations in iWUE and δ15N Values of Encelia.

This study assessed variations in leaf intrinsic water use efficiency (iWUE) and δ15N values among Encelia, a genus of drought-deciduous shrubs distributed across arid regions of southwestern North America between 1972 and 1980 when climates were cooler than today. We hypothesized that geographical variations in climate would significantly influence iWUE, a response to water-related climate constraints, and δ15N values, a proxy for the balance between N2 fixation and denitrification. Leaf samples were collected from six species of Encelia across 78 sites representing the genus range. The δ15N and δ13C values of these samples were measured and analyzed to identify drivers of spatial variability. Significant variations among iWUE and δ15N values were observed as a function of climate, along a spring-summer precipitation gradient. Precipitation and vapor pressure deficit (VPD) were significant drivers of variations in iWUE values, with iWUE increasing with VPD and/or decreasing precipitation, as would be predicted based on water-related constraints on leaf gas exchange. Climate values were significant drivers of variations in δ15N values, with lower δ15N values occurring in cooler temperature, spring-growing plants (northern latitudes) than in warmer summer-growing plants (southern latitudes). Encelia leaf iWUE and δ15N observations suggest few, if any, species-specific differences; but more likely that there is high plasticity in these values driven by variations in climate.

求助全文
通过发布文献求助,成功后即可免费获取论文全文。 去求助
来源期刊
CiteScore
2.70
自引率
0.00%
发文量
0
审稿时长
15 weeks
×
引用
GB/T 7714-2015
复制
MLA
复制
APA
复制
导出至
BibTeX EndNote RefMan NoteFirst NoteExpress
×
提示
您的信息不完整,为了账户安全,请先补充。
现在去补充
×
提示
您因"违规操作"
具体请查看互助需知
我知道了
×
提示
确定
请完成安全验证×
copy
已复制链接
快去分享给好友吧!
我知道了
右上角分享
点击右上角分享
0
联系我们:info@booksci.cn Book学术提供免费学术资源搜索服务,方便国内外学者检索中英文文献。致力于提供最便捷和优质的服务体验。 Copyright © 2023 布克学术 All rights reserved.
京ICP备2023020795号-1
ghs 京公网安备 11010802042870号
Book学术文献互助
Book学术文献互助群
群 号:604180095
Book学术官方微信