冷冻象鼻全弓置换治疗真主动脉弓动脉瘤后动脉瘤形态及囊腔收缩。

0 CARDIAC & CARDIOVASCULAR SYSTEMS
Shinji Abe, Yasushige Shingu, Taro Minamida, Nobuyasu Kato, Hiroshi Sugiki, Satoru Wakasa
{"title":"冷冻象鼻全弓置换治疗真主动脉弓动脉瘤后动脉瘤形态及囊腔收缩。","authors":"Shinji Abe, Yasushige Shingu, Taro Minamida, Nobuyasu Kato, Hiroshi Sugiki, Satoru Wakasa","doi":"10.1093/icvts/ivaf200","DOIUrl":null,"url":null,"abstract":"<p><strong>Objectives: </strong>This study aimed to evaluate midterm outcomes and identify predictors of sac shrinkage following total arch replacement with a frozen elephant trunk (TAR-FET) for true aortic arch aneurysms.</p><p><strong>Methods: </strong>A retrospective analysis was conducted on 28 patients who underwent elective TAR-FET for true arch aneurysms between July 2014 and March 2022. Postoperative sac changes on CT were categorized as shrinkage (≥5 mm reduction), enlargement (≥5 mm increase), or no change (<5 mm change). The sphericity index, a novel morphological parameter, was calculated by dividing the average axial and sagittal sac diameters by sac length.</p><p><strong>Results: </strong>The median age was 74 years, and 23 were male. No operative deaths or recurrent laryngeal nerve palsy occurred. Among 28 patients, 12 experienced sac shrinkage attributable to the initial TAR-FET. Over a median follow-up of 3.6 years, 12 cases showed shrinkage, 2 enlargement, and 14 no change. Cumulative shrinkage rates at 1, 2, and 3 years were 42%, 47%, and 47%, respectively. Additional thoracic endovascular aortic repair (TEVAR) was required in 5 patients (22% at 3 years). Multivariable analysis showed that shorter preoperative sac length (subdistribution hazard ratio [SHR] 0.96; 95% CI, 0.93-0.99) and a higher sphericity index (per 0.1 increment: SHR 1.38; 95% CI, 1.21-1.57) were independently associated with sac shrinkage.</p><p><strong>Conclusions: </strong>TAR-FET resulted in sac shrinkage in a substantial proportion of patients. Aneurysms that were shorter and more protruding, as indicated by a higher sphericity index, may be more likely to exhibit postoperative sac shrinkage.</p><p><strong>Clinical registration number: </strong>022-0242; 16 November 2022 (Ethics Committee of Hokkaido University Hospital).</p>","PeriodicalId":73406,"journal":{"name":"Interdisciplinary cardiovascular and thoracic surgery","volume":" ","pages":""},"PeriodicalIF":0.0000,"publicationDate":"2025-09-02","publicationTypes":"Journal Article","fieldsOfStudy":null,"isOpenAccess":false,"openAccessPdf":"https://www.ncbi.nlm.nih.gov/pmc/articles/PMC12448843/pdf/","citationCount":"0","resultStr":"{\"title\":\"Aneurysm Shape and Sac Shrinkage After Total Arch Replacement With Frozen Elephant Trunk for True Aortic Arch Aneurysm.\",\"authors\":\"Shinji Abe, Yasushige Shingu, Taro Minamida, Nobuyasu Kato, Hiroshi Sugiki, Satoru Wakasa\",\"doi\":\"10.1093/icvts/ivaf200\",\"DOIUrl\":null,\"url\":null,\"abstract\":\"<p><strong>Objectives: </strong>This study aimed to evaluate midterm outcomes and identify predictors of sac shrinkage following total arch replacement with a frozen elephant trunk (TAR-FET) for true aortic arch aneurysms.</p><p><strong>Methods: </strong>A retrospective analysis was conducted on 28 patients who underwent elective TAR-FET for true arch aneurysms between July 2014 and March 2022. Postoperative sac changes on CT were categorized as shrinkage (≥5 mm reduction), enlargement (≥5 mm increase), or no change (<5 mm change). The sphericity index, a novel morphological parameter, was calculated by dividing the average axial and sagittal sac diameters by sac length.</p><p><strong>Results: </strong>The median age was 74 years, and 23 were male. No operative deaths or recurrent laryngeal nerve palsy occurred. Among 28 patients, 12 experienced sac shrinkage attributable to the initial TAR-FET. Over a median follow-up of 3.6 years, 12 cases showed shrinkage, 2 enlargement, and 14 no change. Cumulative shrinkage rates at 1, 2, and 3 years were 42%, 47%, and 47%, respectively. Additional thoracic endovascular aortic repair (TEVAR) was required in 5 patients (22% at 3 years). Multivariable analysis showed that shorter preoperative sac length (subdistribution hazard ratio [SHR] 0.96; 95% CI, 0.93-0.99) and a higher sphericity index (per 0.1 increment: SHR 1.38; 95% CI, 1.21-1.57) were independently associated with sac shrinkage.</p><p><strong>Conclusions: </strong>TAR-FET resulted in sac shrinkage in a substantial proportion of patients. Aneurysms that were shorter and more protruding, as indicated by a higher sphericity index, may be more likely to exhibit postoperative sac shrinkage.</p><p><strong>Clinical registration number: </strong>022-0242; 16 November 2022 (Ethics Committee of Hokkaido University Hospital).</p>\",\"PeriodicalId\":73406,\"journal\":{\"name\":\"Interdisciplinary cardiovascular and thoracic surgery\",\"volume\":\" \",\"pages\":\"\"},\"PeriodicalIF\":0.0000,\"publicationDate\":\"2025-09-02\",\"publicationTypes\":\"Journal Article\",\"fieldsOfStudy\":null,\"isOpenAccess\":false,\"openAccessPdf\":\"https://www.ncbi.nlm.nih.gov/pmc/articles/PMC12448843/pdf/\",\"citationCount\":\"0\",\"resultStr\":null,\"platform\":\"Semanticscholar\",\"paperid\":null,\"PeriodicalName\":\"Interdisciplinary cardiovascular and thoracic surgery\",\"FirstCategoryId\":\"1085\",\"ListUrlMain\":\"https://doi.org/10.1093/icvts/ivaf200\",\"RegionNum\":0,\"RegionCategory\":null,\"ArticlePicture\":[],\"TitleCN\":null,\"AbstractTextCN\":null,\"PMCID\":null,\"EPubDate\":\"\",\"PubModel\":\"\",\"JCR\":\"0\",\"JCRName\":\"CARDIAC & CARDIOVASCULAR SYSTEMS\",\"Score\":null,\"Total\":0}","platform":"Semanticscholar","paperid":null,"PeriodicalName":"Interdisciplinary cardiovascular and thoracic surgery","FirstCategoryId":"1085","ListUrlMain":"https://doi.org/10.1093/icvts/ivaf200","RegionNum":0,"RegionCategory":null,"ArticlePicture":[],"TitleCN":null,"AbstractTextCN":null,"PMCID":null,"EPubDate":"","PubModel":"","JCR":"0","JCRName":"CARDIAC & CARDIOVASCULAR SYSTEMS","Score":null,"Total":0}
引用次数: 0

摘要

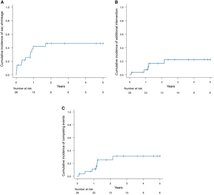
目的:本研究旨在评估采用冷冻象鼻全弓置换术(TAR-FET)治疗真主动脉弓动脉瘤后的中期结果和确定囊萎缩的预测因素。方法:回顾性分析2014年7月至2022年3月28例接受选择性TAR-FET治疗的真弓动脉瘤患者。术后CT上囊腔改变分为缩小(缩小≥5mm)、增大(增大≥5mm)、无变化(结果:中位年龄74岁,男性23例。无手术死亡或喉返神经麻痹发生。在28例患者中,12例出现了最初的TAR-FET引起的囊腔萎缩。中位随访3.6年,12例缩小,2例增大,14例无变化。1年、2年和3年的累积收缩率分别为42%、47%和47%。5例患者需要额外的TEVAR治疗(3年时22%)。多变量分析显示,术前囊长度较短(亚分布风险比0.96;95% CI, 0.93-0.99)和球形度指数较高(每增加0.1次分布风险比1.38;95% CI, 1.21-1.57)与囊收缩独立相关。结论:在相当比例的患者中,TAR-FET导致囊腔收缩。较短且较突出的动脉瘤,如较高的球形指数所示,可能更容易出现术后囊萎缩。
本文章由计算机程序翻译,如有差异,请以英文原文为准。

Aneurysm Shape and Sac Shrinkage After Total Arch Replacement With Frozen Elephant Trunk for True Aortic Arch Aneurysm.

Aneurysm Shape and Sac Shrinkage After Total Arch Replacement With Frozen Elephant Trunk for True Aortic Arch Aneurysm.

Aneurysm Shape and Sac Shrinkage After Total Arch Replacement With Frozen Elephant Trunk for True Aortic Arch Aneurysm.

Aneurysm Shape and Sac Shrinkage After Total Arch Replacement With Frozen Elephant Trunk for True Aortic Arch Aneurysm.

Objectives: This study aimed to evaluate midterm outcomes and identify predictors of sac shrinkage following total arch replacement with a frozen elephant trunk (TAR-FET) for true aortic arch aneurysms.

Methods: A retrospective analysis was conducted on 28 patients who underwent elective TAR-FET for true arch aneurysms between July 2014 and March 2022. Postoperative sac changes on CT were categorized as shrinkage (≥5 mm reduction), enlargement (≥5 mm increase), or no change (<5 mm change). The sphericity index, a novel morphological parameter, was calculated by dividing the average axial and sagittal sac diameters by sac length.

Results: The median age was 74 years, and 23 were male. No operative deaths or recurrent laryngeal nerve palsy occurred. Among 28 patients, 12 experienced sac shrinkage attributable to the initial TAR-FET. Over a median follow-up of 3.6 years, 12 cases showed shrinkage, 2 enlargement, and 14 no change. Cumulative shrinkage rates at 1, 2, and 3 years were 42%, 47%, and 47%, respectively. Additional thoracic endovascular aortic repair (TEVAR) was required in 5 patients (22% at 3 years). Multivariable analysis showed that shorter preoperative sac length (subdistribution hazard ratio [SHR] 0.96; 95% CI, 0.93-0.99) and a higher sphericity index (per 0.1 increment: SHR 1.38; 95% CI, 1.21-1.57) were independently associated with sac shrinkage.

Conclusions: TAR-FET resulted in sac shrinkage in a substantial proportion of patients. Aneurysms that were shorter and more protruding, as indicated by a higher sphericity index, may be more likely to exhibit postoperative sac shrinkage.

Clinical registration number: 022-0242; 16 November 2022 (Ethics Committee of Hokkaido University Hospital).

求助全文
通过发布文献求助,成功后即可免费获取论文全文。 去求助
来源期刊
自引率
0.00%
发文量
0
×
引用
GB/T 7714-2015
复制
MLA
复制
APA
复制
导出至
BibTeX EndNote RefMan NoteFirst NoteExpress
×
提示
您的信息不完整,为了账户安全,请先补充。
现在去补充
×
提示
您因"违规操作"
具体请查看互助需知
我知道了
×
提示
确定
请完成安全验证×
copy
已复制链接
快去分享给好友吧!
我知道了
右上角分享
点击右上角分享
0
联系我们:info@booksci.cn Book学术提供免费学术资源搜索服务,方便国内外学者检索中英文文献。致力于提供最便捷和优质的服务体验。 Copyright © 2023 布克学术 All rights reserved.
京ICP备2023020795号-1
ghs 京公网安备 11010802042870号
Book学术文献互助
Book学术文献互助群
群 号:604180095
Book学术官方微信