CT织构分析在预测肾上腺皮质癌有丝分裂活性及形态变异中的价值。

IF 2.3
Frontiers in radiology Pub Date : 2025-08-07 eCollection Date: 2025-01-01 DOI:10.3389/fradi.2025.1635425
N V Tarbaeva, A V Manaev, K V Ivashchenko, N M Platonova, D G Beltsevich, N V Pachuashvili, L S Urusova, N G Mokrysheva
{"title":"CT织构分析在预测肾上腺皮质癌有丝分裂活性及形态变异中的价值。","authors":"N V Tarbaeva, A V Manaev, K V Ivashchenko, N M Platonova, D G Beltsevich, N V Pachuashvili, L S Urusova, N G Mokrysheva","doi":"10.3389/fradi.2025.1635425","DOIUrl":null,"url":null,"abstract":"<p><strong>Introduction: </strong>Adrenocortical carcinoma presents significant diagnostic challenges due to its histological heterogeneity and variable clinical behavior. This study aimed to evaluate the diagnostic value of radiomic features in predicting mitotic activity (low/high-grade) and morphological variants (conventional, oncocytic, myxoid) of adrenocortical carcinoma.</p><p><strong>Materials and methods: </strong>A retrospective analysis of 32 patients with histologically confirmed ACC (18 conventional, 9 oncocytic and 5 myxoid cases) was performed, with mitotic data available for 25 cases (13 low-grade and 12 high-grade cases). Radiomic features including Gray-Level Co-occurrence Matrix (GLCM), Run-Length (GLRLM), Size-Zone (GLSZM), Dependence (GLDM), Neighboring-Tone (NGTDM) and first order features were extracted from four-phase CT using PyRadiomics after manual 3D segmentation. Statistical analysis included Mann-Whitney <i>U</i>, Kruskal-Wallis tests, ROC curve (AUC, sensitivity, specificity) and PPV, NPV assessment.</p><p><strong>Results: </strong>Our analysis demonstrated statistically significant differences between tumor grades with firstorder_Skewness (AUC = 0.924, 95% CI: 0.819-0.986; <i>p</i> = 0.005) showing high predictive performance in the venous phase. Radiomic features did not show statistically significant differences between morphological variants of ACC after adjustment for multiple comparisons.</p><p><strong>Conclusion: </strong>Our results confirm the value of CT radiomics for preoperative stratification of ACC grade, but the question of differentiation of morphological variants remains unresolved and requires further validation in larger cohorts.</p>","PeriodicalId":73101,"journal":{"name":"Frontiers in radiology","volume":"5 ","pages":"1635425"},"PeriodicalIF":2.3000,"publicationDate":"2025-08-07","publicationTypes":"Journal Article","fieldsOfStudy":null,"isOpenAccess":false,"openAccessPdf":"https://www.ncbi.nlm.nih.gov/pmc/articles/PMC12367671/pdf/","citationCount":"0","resultStr":"{\"title\":\"The value of CT texture analysis in predicting mitotic activity and morphological variants of adrenocortical carcinoma.\",\"authors\":\"N V Tarbaeva, A V Manaev, K V Ivashchenko, N M Platonova, D G Beltsevich, N V Pachuashvili, L S Urusova, N G Mokrysheva\",\"doi\":\"10.3389/fradi.2025.1635425\",\"DOIUrl\":null,\"url\":null,\"abstract\":\"<p><strong>Introduction: </strong>Adrenocortical carcinoma presents significant diagnostic challenges due to its histological heterogeneity and variable clinical behavior. This study aimed to evaluate the diagnostic value of radiomic features in predicting mitotic activity (low/high-grade) and morphological variants (conventional, oncocytic, myxoid) of adrenocortical carcinoma.</p><p><strong>Materials and methods: </strong>A retrospective analysis of 32 patients with histologically confirmed ACC (18 conventional, 9 oncocytic and 5 myxoid cases) was performed, with mitotic data available for 25 cases (13 low-grade and 12 high-grade cases). Radiomic features including Gray-Level Co-occurrence Matrix (GLCM), Run-Length (GLRLM), Size-Zone (GLSZM), Dependence (GLDM), Neighboring-Tone (NGTDM) and first order features were extracted from four-phase CT using PyRadiomics after manual 3D segmentation. Statistical analysis included Mann-Whitney <i>U</i>, Kruskal-Wallis tests, ROC curve (AUC, sensitivity, specificity) and PPV, NPV assessment.</p><p><strong>Results: </strong>Our analysis demonstrated statistically significant differences between tumor grades with firstorder_Skewness (AUC = 0.924, 95% CI: 0.819-0.986; <i>p</i> = 0.005) showing high predictive performance in the venous phase. Radiomic features did not show statistically significant differences between morphological variants of ACC after adjustment for multiple comparisons.</p><p><strong>Conclusion: </strong>Our results confirm the value of CT radiomics for preoperative stratification of ACC grade, but the question of differentiation of morphological variants remains unresolved and requires further validation in larger cohorts.</p>\",\"PeriodicalId\":73101,\"journal\":{\"name\":\"Frontiers in radiology\",\"volume\":\"5 \",\"pages\":\"1635425\"},\"PeriodicalIF\":2.3000,\"publicationDate\":\"2025-08-07\",\"publicationTypes\":\"Journal Article\",\"fieldsOfStudy\":null,\"isOpenAccess\":false,\"openAccessPdf\":\"https://www.ncbi.nlm.nih.gov/pmc/articles/PMC12367671/pdf/\",\"citationCount\":\"0\",\"resultStr\":null,\"platform\":\"Semanticscholar\",\"paperid\":null,\"PeriodicalName\":\"Frontiers in radiology\",\"FirstCategoryId\":\"1085\",\"ListUrlMain\":\"https://doi.org/10.3389/fradi.2025.1635425\",\"RegionNum\":0,\"RegionCategory\":null,\"ArticlePicture\":[],\"TitleCN\":null,\"AbstractTextCN\":null,\"PMCID\":null,\"EPubDate\":\"2025/1/1 0:00:00\",\"PubModel\":\"eCollection\",\"JCR\":\"\",\"JCRName\":\"\",\"Score\":null,\"Total\":0}","platform":"Semanticscholar","paperid":null,"PeriodicalName":"Frontiers in radiology","FirstCategoryId":"1085","ListUrlMain":"https://doi.org/10.3389/fradi.2025.1635425","RegionNum":0,"RegionCategory":null,"ArticlePicture":[],"TitleCN":null,"AbstractTextCN":null,"PMCID":null,"EPubDate":"2025/1/1 0:00:00","PubModel":"eCollection","JCR":"","JCRName":"","Score":null,"Total":0}
引用次数: 0

摘要

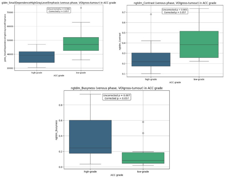
简介:肾上腺皮质癌由于其组织学异质性和多变的临床行为,提出了重大的诊断挑战。本研究旨在评估放射组学特征在预测肾上腺皮质癌有丝分裂活性(低/高级别)和形态变异(常规、嗜瘤细胞、黏液样)方面的诊断价值。材料与方法:回顾性分析32例经组织学证实的ACC患者(18例常规,9例嗜瘤细胞性,5例黏液样),有丝分裂资料25例(13例低度,12例高度)。采用PyRadiomics方法对四相CT进行人工三维分割,提取灰度共生矩阵(GLCM)、运行长度(GLRLM)、大小区域(GLSZM)、依赖性(GLDM)、邻域音调(NGTDM)和一阶特征。统计分析采用Mann-Whitney U检验、Kruskal-Wallis检验、ROC曲线(AUC、敏感性、特异性)和PPV、NPV评估。结果:我们的分析显示,肿瘤分级之间的差异具有统计学意义,firstorder_Skewness (AUC = 0.924, 95% CI: 0.819-0.986; p = 0.005)在静脉期具有较高的预测性能。经多次比较调整后,ACC形态变异的放射组学特征无统计学差异。结论:我们的研究结果证实了CT放射组学对ACC分级术前分层的价值,但形态学变异的分化问题仍未解决,需要在更大的队列中进一步验证。
本文章由计算机程序翻译,如有差异,请以英文原文为准。

The value of CT texture analysis in predicting mitotic activity and morphological variants of adrenocortical carcinoma.

The value of CT texture analysis in predicting mitotic activity and morphological variants of adrenocortical carcinoma.

The value of CT texture analysis in predicting mitotic activity and morphological variants of adrenocortical carcinoma.

The value of CT texture analysis in predicting mitotic activity and morphological variants of adrenocortical carcinoma.

Introduction: Adrenocortical carcinoma presents significant diagnostic challenges due to its histological heterogeneity and variable clinical behavior. This study aimed to evaluate the diagnostic value of radiomic features in predicting mitotic activity (low/high-grade) and morphological variants (conventional, oncocytic, myxoid) of adrenocortical carcinoma.

Materials and methods: A retrospective analysis of 32 patients with histologically confirmed ACC (18 conventional, 9 oncocytic and 5 myxoid cases) was performed, with mitotic data available for 25 cases (13 low-grade and 12 high-grade cases). Radiomic features including Gray-Level Co-occurrence Matrix (GLCM), Run-Length (GLRLM), Size-Zone (GLSZM), Dependence (GLDM), Neighboring-Tone (NGTDM) and first order features were extracted from four-phase CT using PyRadiomics after manual 3D segmentation. Statistical analysis included Mann-Whitney U, Kruskal-Wallis tests, ROC curve (AUC, sensitivity, specificity) and PPV, NPV assessment.

Results: Our analysis demonstrated statistically significant differences between tumor grades with firstorder_Skewness (AUC = 0.924, 95% CI: 0.819-0.986; p = 0.005) showing high predictive performance in the venous phase. Radiomic features did not show statistically significant differences between morphological variants of ACC after adjustment for multiple comparisons.

Conclusion: Our results confirm the value of CT radiomics for preoperative stratification of ACC grade, but the question of differentiation of morphological variants remains unresolved and requires further validation in larger cohorts.

求助全文
通过发布文献求助,成功后即可免费获取论文全文。 去求助
来源期刊
CiteScore
1.20
自引率
0.00%
发文量
0
×
引用
GB/T 7714-2015
复制
MLA
复制
APA
复制
导出至
BibTeX EndNote RefMan NoteFirst NoteExpress
×
提示
您的信息不完整,为了账户安全,请先补充。
现在去补充
×
提示
您因"违规操作"
具体请查看互助需知
我知道了
×
提示
确定
请完成安全验证×
copy
已复制链接
快去分享给好友吧!
我知道了
右上角分享
点击右上角分享
0
联系我们:info@booksci.cn Book学术提供免费学术资源搜索服务,方便国内外学者检索中英文文献。致力于提供最便捷和优质的服务体验。 Copyright © 2023 布克学术 All rights reserved.
京ICP备2023020795号-1
ghs 京公网安备 11010802042870号
Book学术文献互助
Book学术文献互助群
群 号:604180095
Book学术官方微信