甲硝唑处理犬粪疫苗对饲粮纤维体外发酵特性的研究。

IF 4.4 Q1 MICROBIOLOGY
Sara E Martini, Elizabeth L Geary, Patrícia M Oba, Laura L Bauer, Ryan N Dilger, Kelly S Swanson
{"title":"甲硝唑处理犬粪疫苗对饲粮纤维体外发酵特性的研究。","authors":"Sara E Martini, Elizabeth L Geary, Patrícia M Oba, Laura L Bauer, Ryan N Dilger, Kelly S Swanson","doi":"10.1186/s42523-025-00459-z","DOIUrl":null,"url":null,"abstract":"<p><p>Metronidazole is a potent antibiotic often prescribed to treat gastrointestinal enteropathies, but is known to induce loose stools, negatively alter the fecal microbiome, and affect fecal metabolites. Dietary intervention may aid in the recovery following antibiotic cessation, but little research has been conducted regarding the potential of fiber utilization for microbial recovery in canines. Using an in vitro fermentation assay, the objective of this study was to investigate the fermentation characteristics of dietary fibers using fecal inocula from dogs treated with metronidazole. Four healthy male beagles were fed a commercial kibble diet for 2 weeks, then administered metronidazole (20 mg/kg body weight twice a day) for 2 weeks. Fresh fecal samples were collected at weeks 2 and 4, stabilized in a 20% glycerol solution, and then frozen. For the in vitro fermentation experiment, feces from each time point (ABX-= pre-metronidazole collection; ABX+ = post-metronidazole collection) were thawed, diluted in an anaerobic diluting solution, and used to inoculate tubes. Tubes contained sterile medium and either cellulose, pectin, beet pulp, or chicory pulp fiber to test fermentation potential, with additional tubes used without fiber inclusion for blank corrections. At baseline (0 h) and after 6, 12, and 18 h of fermentation, pH, short-chain fatty acid (SCFA) production, and microbiota were measured. Data was analyzed within each fiber using the Mixed Models procedure of SAS version 9.4, with effects of antibiotic treatment, time and treatment*time interactions reported, accounting for the random effect across replicates. As expected, antibiotic administration had large effects on fiber fermentability characteristics, slowing pH reduction, lowering SCFA production, and altering SCFA molar ratios. Butyrate production was minimal among all fibers tested in ABX+ inocula tubes. Additionally, ABX+ inoculum lowered bacterial alpha diversity, affected bacterial beta diversity and the relative abundances of over 50 bacterial genera. Increased Bifidobacterium and Lactobacillus was observed in tubes containing ABX + inoculum (P < 0.0001) during pectin or beet pulp fermentation. Additionally, increased Faecalibacterium, Streptococcus, and Bacteroides was observed in tubes containing ABX- inoculum during chicory pulp fermentation (P < 0.0001). Beta diversity plots during beet pulp and chicory pulp fermentation demonstrated positive shifts toward ABX- inoculum tubes, but pectin fermentation did not yield the same shifts. The data presented here demonstrate that metronidazole administration can elicit unique responses to various fiber sources by reducing microbial diversity and negatively altering microbial fermentative activity (i.e., lower SCFA production). Both beet pulp and chicory pulp increased SCFA production and microbial diversity over time, with ABX+ inoculum tubes approaching that of ABX- inoculum tubes after 18 h of fermentation. More research is necessary but this data suggests that functional fibers promote microbial activity and recovery, and shed light on the potential effects of functional fibers in antibiotic-treated dogs.</p>","PeriodicalId":72201,"journal":{"name":"Animal microbiome","volume":"7 1","pages":"93"},"PeriodicalIF":4.4000,"publicationDate":"2025-09-01","publicationTypes":"Journal Article","fieldsOfStudy":null,"isOpenAccess":false,"openAccessPdf":"https://www.ncbi.nlm.nih.gov/pmc/articles/PMC12403923/pdf/","citationCount":"0","resultStr":"{\"title\":\"In vitro fermentation characteristics of dietary fibers using fecal inocula from dogs treated with metronidazole.\",\"authors\":\"Sara E Martini, Elizabeth L Geary, Patrícia M Oba, Laura L Bauer, Ryan N Dilger, Kelly S Swanson\",\"doi\":\"10.1186/s42523-025-00459-z\",\"DOIUrl\":null,\"url\":null,\"abstract\":\"<p><p>Metronidazole is a potent antibiotic often prescribed to treat gastrointestinal enteropathies, but is known to induce loose stools, negatively alter the fecal microbiome, and affect fecal metabolites. Dietary intervention may aid in the recovery following antibiotic cessation, but little research has been conducted regarding the potential of fiber utilization for microbial recovery in canines. Using an in vitro fermentation assay, the objective of this study was to investigate the fermentation characteristics of dietary fibers using fecal inocula from dogs treated with metronidazole. Four healthy male beagles were fed a commercial kibble diet for 2 weeks, then administered metronidazole (20 mg/kg body weight twice a day) for 2 weeks. Fresh fecal samples were collected at weeks 2 and 4, stabilized in a 20% glycerol solution, and then frozen. For the in vitro fermentation experiment, feces from each time point (ABX-= pre-metronidazole collection; ABX+ = post-metronidazole collection) were thawed, diluted in an anaerobic diluting solution, and used to inoculate tubes. Tubes contained sterile medium and either cellulose, pectin, beet pulp, or chicory pulp fiber to test fermentation potential, with additional tubes used without fiber inclusion for blank corrections. At baseline (0 h) and after 6, 12, and 18 h of fermentation, pH, short-chain fatty acid (SCFA) production, and microbiota were measured. Data was analyzed within each fiber using the Mixed Models procedure of SAS version 9.4, with effects of antibiotic treatment, time and treatment*time interactions reported, accounting for the random effect across replicates. As expected, antibiotic administration had large effects on fiber fermentability characteristics, slowing pH reduction, lowering SCFA production, and altering SCFA molar ratios. Butyrate production was minimal among all fibers tested in ABX+ inocula tubes. Additionally, ABX+ inoculum lowered bacterial alpha diversity, affected bacterial beta diversity and the relative abundances of over 50 bacterial genera. Increased Bifidobacterium and Lactobacillus was observed in tubes containing ABX + inoculum (P < 0.0001) during pectin or beet pulp fermentation. Additionally, increased Faecalibacterium, Streptococcus, and Bacteroides was observed in tubes containing ABX- inoculum during chicory pulp fermentation (P < 0.0001). Beta diversity plots during beet pulp and chicory pulp fermentation demonstrated positive shifts toward ABX- inoculum tubes, but pectin fermentation did not yield the same shifts. The data presented here demonstrate that metronidazole administration can elicit unique responses to various fiber sources by reducing microbial diversity and negatively altering microbial fermentative activity (i.e., lower SCFA production). Both beet pulp and chicory pulp increased SCFA production and microbial diversity over time, with ABX+ inoculum tubes approaching that of ABX- inoculum tubes after 18 h of fermentation. More research is necessary but this data suggests that functional fibers promote microbial activity and recovery, and shed light on the potential effects of functional fibers in antibiotic-treated dogs.</p>\",\"PeriodicalId\":72201,\"journal\":{\"name\":\"Animal microbiome\",\"volume\":\"7 1\",\"pages\":\"93\"},\"PeriodicalIF\":4.4000,\"publicationDate\":\"2025-09-01\",\"publicationTypes\":\"Journal Article\",\"fieldsOfStudy\":null,\"isOpenAccess\":false,\"openAccessPdf\":\"https://www.ncbi.nlm.nih.gov/pmc/articles/PMC12403923/pdf/\",\"citationCount\":\"0\",\"resultStr\":null,\"platform\":\"Semanticscholar\",\"paperid\":null,\"PeriodicalName\":\"Animal microbiome\",\"FirstCategoryId\":\"1085\",\"ListUrlMain\":\"https://doi.org/10.1186/s42523-025-00459-z\",\"RegionNum\":0,\"RegionCategory\":null,\"ArticlePicture\":[],\"TitleCN\":null,\"AbstractTextCN\":null,\"PMCID\":null,\"EPubDate\":\"\",\"PubModel\":\"\",\"JCR\":\"Q1\",\"JCRName\":\"MICROBIOLOGY\",\"Score\":null,\"Total\":0}","platform":"Semanticscholar","paperid":null,"PeriodicalName":"Animal microbiome","FirstCategoryId":"1085","ListUrlMain":"https://doi.org/10.1186/s42523-025-00459-z","RegionNum":0,"RegionCategory":null,"ArticlePicture":[],"TitleCN":null,"AbstractTextCN":null,"PMCID":null,"EPubDate":"","PubModel":"","JCR":"Q1","JCRName":"MICROBIOLOGY","Score":null,"Total":0}
引用次数: 0

摘要

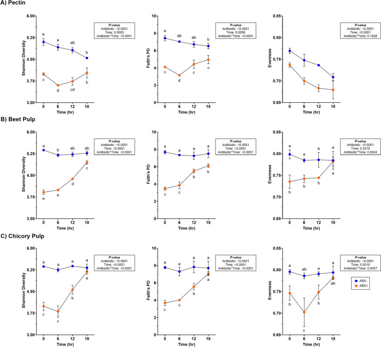
甲硝唑是一种强效抗生素,通常用于治疗胃肠道肠病,但已知会引起稀便,对粪便微生物群产生负面影响,并影响粪便代谢物。饮食干预可能有助于停用抗生素后的恢复,但很少有关于纤维利用对犬体内微生物恢复的潜力的研究。本研究采用体外发酵试验,研究了甲硝唑处理犬粪疫苗对膳食纤维的发酵特性。4只健康雄性比格犬先饲喂商品粗粉饲粮2周,然后给予甲硝唑(20 mg/kg体重,每天2次)2周。在第2周和第4周收集新鲜粪便样本,在20%甘油溶液中稳定,然后冷冻。体外发酵实验,将各时间点(ABX-=甲硝唑前收集;ABX+ =甲硝唑后收集)的粪便解冻,用厌氧稀释液稀释,用于接种管。试管中含有无菌培养基和纤维素、果胶、甜菜浆或菊苣浆纤维,以测试发酵潜力,另外使用不含纤维的试管进行空白校正。在基线(0 h)和发酵6、12和18 h后,测量pH、短链脂肪酸(SCFA)产量和微生物群。使用SAS version 9.4的混合模型程序对每个纤维内的数据进行分析,报告了抗生素治疗、时间和治疗*时间的相互作用的影响,考虑了重复间的随机效应。正如预期的那样,抗生素给药对纤维的发酵特性有很大的影响,减缓了pH的降低,降低了SCFA的产量,改变了SCFA的摩尔比。在ABX+接种管中测试的所有纤维中丁酸盐产量最小。此外,接种ABX+降低了细菌的α多样性,影响了细菌的β多样性和50多个细菌属的相对丰度。在含有ABX +接种物的试管中观察到双歧杆菌和乳酸菌的增加
本文章由计算机程序翻译,如有差异,请以英文原文为准。

In vitro fermentation characteristics of dietary fibers using fecal inocula from dogs treated with metronidazole.

In vitro fermentation characteristics of dietary fibers using fecal inocula from dogs treated with metronidazole.

In vitro fermentation characteristics of dietary fibers using fecal inocula from dogs treated with metronidazole.

In vitro fermentation characteristics of dietary fibers using fecal inocula from dogs treated with metronidazole.

Metronidazole is a potent antibiotic often prescribed to treat gastrointestinal enteropathies, but is known to induce loose stools, negatively alter the fecal microbiome, and affect fecal metabolites. Dietary intervention may aid in the recovery following antibiotic cessation, but little research has been conducted regarding the potential of fiber utilization for microbial recovery in canines. Using an in vitro fermentation assay, the objective of this study was to investigate the fermentation characteristics of dietary fibers using fecal inocula from dogs treated with metronidazole. Four healthy male beagles were fed a commercial kibble diet for 2 weeks, then administered metronidazole (20 mg/kg body weight twice a day) for 2 weeks. Fresh fecal samples were collected at weeks 2 and 4, stabilized in a 20% glycerol solution, and then frozen. For the in vitro fermentation experiment, feces from each time point (ABX-= pre-metronidazole collection; ABX+ = post-metronidazole collection) were thawed, diluted in an anaerobic diluting solution, and used to inoculate tubes. Tubes contained sterile medium and either cellulose, pectin, beet pulp, or chicory pulp fiber to test fermentation potential, with additional tubes used without fiber inclusion for blank corrections. At baseline (0 h) and after 6, 12, and 18 h of fermentation, pH, short-chain fatty acid (SCFA) production, and microbiota were measured. Data was analyzed within each fiber using the Mixed Models procedure of SAS version 9.4, with effects of antibiotic treatment, time and treatment*time interactions reported, accounting for the random effect across replicates. As expected, antibiotic administration had large effects on fiber fermentability characteristics, slowing pH reduction, lowering SCFA production, and altering SCFA molar ratios. Butyrate production was minimal among all fibers tested in ABX+ inocula tubes. Additionally, ABX+ inoculum lowered bacterial alpha diversity, affected bacterial beta diversity and the relative abundances of over 50 bacterial genera. Increased Bifidobacterium and Lactobacillus was observed in tubes containing ABX + inoculum (P < 0.0001) during pectin or beet pulp fermentation. Additionally, increased Faecalibacterium, Streptococcus, and Bacteroides was observed in tubes containing ABX- inoculum during chicory pulp fermentation (P < 0.0001). Beta diversity plots during beet pulp and chicory pulp fermentation demonstrated positive shifts toward ABX- inoculum tubes, but pectin fermentation did not yield the same shifts. The data presented here demonstrate that metronidazole administration can elicit unique responses to various fiber sources by reducing microbial diversity and negatively altering microbial fermentative activity (i.e., lower SCFA production). Both beet pulp and chicory pulp increased SCFA production and microbial diversity over time, with ABX+ inoculum tubes approaching that of ABX- inoculum tubes after 18 h of fermentation. More research is necessary but this data suggests that functional fibers promote microbial activity and recovery, and shed light on the potential effects of functional fibers in antibiotic-treated dogs.

求助全文
通过发布文献求助,成功后即可免费获取论文全文。 去求助
来源期刊
CiteScore
7.20
自引率
0.00%
发文量
0
审稿时长
13 weeks
×
引用
GB/T 7714-2015
复制
MLA
复制
APA
复制
导出至
BibTeX EndNote RefMan NoteFirst NoteExpress
×
提示
您的信息不完整,为了账户安全,请先补充。
现在去补充
×
提示
您因"违规操作"
具体请查看互助需知
我知道了
×
提示
确定
请完成安全验证×
copy
已复制链接
快去分享给好友吧!
我知道了
右上角分享
点击右上角分享
0
联系我们:info@booksci.cn Book学术提供免费学术资源搜索服务,方便国内外学者检索中英文文献。致力于提供最便捷和优质的服务体验。 Copyright © 2023 布克学术 All rights reserved.
京ICP备2023020795号-1
ghs 京公网安备 11010802042870号
Book学术文献互助
Book学术文献互助群
群 号:604180095
Book学术官方微信