空腹甘油三酯葡萄糖指数与脉搏波速度的关系因年龄和性别而异。

IF 2.3 4区 医学 Q4 ENDOCRINOLOGY & METABOLISM
Yen-Fu Chen, Yi-Chih Chang, Wen-Cheng Li, Po-Ya Lin, Yi-Hsuan Chen, Yi-Chuan Chen, Ting-An Yang, Jo-Hsuan Chen
{"title":"空腹甘油三酯葡萄糖指数与脉搏波速度的关系因年龄和性别而异。","authors":"Yen-Fu Chen, Yi-Chih Chang, Wen-Cheng Li, Po-Ya Lin, Yi-Hsuan Chen, Yi-Chuan Chen, Ting-An Yang, Jo-Hsuan Chen","doi":"10.20945/2359-4292-2025-0115","DOIUrl":null,"url":null,"abstract":"<p><strong>Objective: </strong>This study determined the optimal cutoff point for the triglyceride-glucose (TyG) index for predicting subclinical atherosclerosis (SA). Subjects and.</p><p><strong>Methods: </strong>Overall, 10,039 participants (5,598 men and 4,441 women) aged > 18 years were recruited from Xiamen Chang Gung Hospital. Demographic information was provided, and the TyG index was calculated. The TyG index was categorized into quartiles, and SA was assessed by measuring brachial-ankle pulse wave velocity (baPWV). The cutoff point for the TyG index was determined via receiver operating characteristic (ROC) curve analysis.</p><p><strong>Results: </strong>SA incidence increased with increasing TyG index in both men (from 5.929% in Group I to 10.579% in Group IV; P < 0.001) and women (from 2.074% in Group I to 14.955% in Group IV; P < 0.001). Multivariate linear regression analysis revealed that a higher TyG index was associated with an elevated risk of SA in men (odds ratio [OR] 4.028, 95% confidence interval [CI] 2.811-5.711) and women (OR 2.599, 95% CI 1.86-5.543). ROC curve analysis revealed that the area under the curve was 0.572 (95% CI = 0.541-0.602; P < 0.001) for men and 0.694 (95% CI = 0.668-0.721; P < 0.001) for women. The optimal TyG index cutoff points for predicting subclinical atherosclerosis were 8.961 for men (sensitivity, 46.5%; specificity, 67.9%) and 8.254 for women (sensitivity, 79.7%; specificity, 49.9%).</p><p><strong>Conclusion: </strong>The TyG index is a composite indicator of dyslipidemia and hyperglycemia. In clinical practice, women with TyG index values above the cutoff should be further evaluated for the underlying pulse wave velocity.</p>","PeriodicalId":54303,"journal":{"name":"Archives of Endocrinology Metabolism","volume":"69 4","pages":"e250115"},"PeriodicalIF":2.3000,"publicationDate":"2025-08-20","publicationTypes":"Journal Article","fieldsOfStudy":null,"isOpenAccess":false,"openAccessPdf":"https://www.ncbi.nlm.nih.gov/pmc/articles/PMC12377032/pdf/","citationCount":"0","resultStr":"{\"title\":\"Associations of the fasting triglyceride glucose index with pulse wave velocity vary by age and gender.\",\"authors\":\"Yen-Fu Chen, Yi-Chih Chang, Wen-Cheng Li, Po-Ya Lin, Yi-Hsuan Chen, Yi-Chuan Chen, Ting-An Yang, Jo-Hsuan Chen\",\"doi\":\"10.20945/2359-4292-2025-0115\",\"DOIUrl\":null,\"url\":null,\"abstract\":\"<p><strong>Objective: </strong>This study determined the optimal cutoff point for the triglyceride-glucose (TyG) index for predicting subclinical atherosclerosis (SA). Subjects and.</p><p><strong>Methods: </strong>Overall, 10,039 participants (5,598 men and 4,441 women) aged > 18 years were recruited from Xiamen Chang Gung Hospital. Demographic information was provided, and the TyG index was calculated. The TyG index was categorized into quartiles, and SA was assessed by measuring brachial-ankle pulse wave velocity (baPWV). The cutoff point for the TyG index was determined via receiver operating characteristic (ROC) curve analysis.</p><p><strong>Results: </strong>SA incidence increased with increasing TyG index in both men (from 5.929% in Group I to 10.579% in Group IV; P < 0.001) and women (from 2.074% in Group I to 14.955% in Group IV; P < 0.001). Multivariate linear regression analysis revealed that a higher TyG index was associated with an elevated risk of SA in men (odds ratio [OR] 4.028, 95% confidence interval [CI] 2.811-5.711) and women (OR 2.599, 95% CI 1.86-5.543). ROC curve analysis revealed that the area under the curve was 0.572 (95% CI = 0.541-0.602; P < 0.001) for men and 0.694 (95% CI = 0.668-0.721; P < 0.001) for women. The optimal TyG index cutoff points for predicting subclinical atherosclerosis were 8.961 for men (sensitivity, 46.5%; specificity, 67.9%) and 8.254 for women (sensitivity, 79.7%; specificity, 49.9%).</p><p><strong>Conclusion: </strong>The TyG index is a composite indicator of dyslipidemia and hyperglycemia. In clinical practice, women with TyG index values above the cutoff should be further evaluated for the underlying pulse wave velocity.</p>\",\"PeriodicalId\":54303,\"journal\":{\"name\":\"Archives of Endocrinology Metabolism\",\"volume\":\"69 4\",\"pages\":\"e250115\"},\"PeriodicalIF\":2.3000,\"publicationDate\":\"2025-08-20\",\"publicationTypes\":\"Journal Article\",\"fieldsOfStudy\":null,\"isOpenAccess\":false,\"openAccessPdf\":\"https://www.ncbi.nlm.nih.gov/pmc/articles/PMC12377032/pdf/\",\"citationCount\":\"0\",\"resultStr\":null,\"platform\":\"Semanticscholar\",\"paperid\":null,\"PeriodicalName\":\"Archives of Endocrinology Metabolism\",\"FirstCategoryId\":\"3\",\"ListUrlMain\":\"https://doi.org/10.20945/2359-4292-2025-0115\",\"RegionNum\":4,\"RegionCategory\":\"医学\",\"ArticlePicture\":[],\"TitleCN\":null,\"AbstractTextCN\":null,\"PMCID\":null,\"EPubDate\":\"\",\"PubModel\":\"\",\"JCR\":\"Q4\",\"JCRName\":\"ENDOCRINOLOGY & METABOLISM\",\"Score\":null,\"Total\":0}","platform":"Semanticscholar","paperid":null,"PeriodicalName":"Archives of Endocrinology Metabolism","FirstCategoryId":"3","ListUrlMain":"https://doi.org/10.20945/2359-4292-2025-0115","RegionNum":4,"RegionCategory":"医学","ArticlePicture":[],"TitleCN":null,"AbstractTextCN":null,"PMCID":null,"EPubDate":"","PubModel":"","JCR":"Q4","JCRName":"ENDOCRINOLOGY & METABOLISM","Score":null,"Total":0}
引用次数: 0

摘要

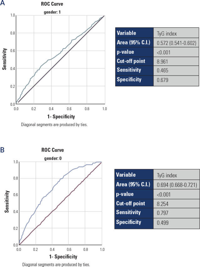
目的:确定甘油三酯-葡萄糖(TyG)指数预测亚临床动脉粥样硬化(SA)的最佳截止点。主题和。方法:从厦门长工医院招募了10039名参与者(5598名男性和4441名女性),年龄在10 - 18岁之间。提供人口统计信息,并计算TyG指数。将TyG指数分为四分位数,通过测量肱-踝脉波速度(baPWV)来评估SA。通过受试者工作特征(ROC)曲线分析确定TyG指数的截止点。结果:SA的发病率随TyG指数的升高而升高,男性(从组I的5.929%增加到组IV的10.579%,P < 0.001),女性(从组I的2.074%增加到组IV的14.955%,P < 0.001)。多因素线性回归分析显示,较高的TyG指数与男性(比值比[OR] 4.028, 95%可信区间[CI] 2.811-5.711)和女性(比值比[OR] 2.599, 95%可信区间[CI] 1.86-5.543)的SA风险升高相关。ROC曲线分析显示,男性曲线下面积为0.572 (95% CI = 0.541-0.602, P < 0.001),女性曲线下面积为0.694 (95% CI = 0.668-0.721, P < 0.001)。预测亚临床动脉粥样硬化的最佳TyG指数截止点男性为8.961(敏感性46.5%,特异性67.9%),女性为8.254(敏感性79.7%,特异性49.9%)。结论:TyG指数是血脂异常和高血糖的综合指标。在临床实践中,TyG指数高于临界值的女性应进一步评估潜在的脉搏波速度。
本文章由计算机程序翻译,如有差异,请以英文原文为准。

Associations of the fasting triglyceride glucose index with pulse wave velocity vary by age and gender.

Associations of the fasting triglyceride glucose index with pulse wave velocity vary by age and gender.

Objective: This study determined the optimal cutoff point for the triglyceride-glucose (TyG) index for predicting subclinical atherosclerosis (SA). Subjects and.

Methods: Overall, 10,039 participants (5,598 men and 4,441 women) aged > 18 years were recruited from Xiamen Chang Gung Hospital. Demographic information was provided, and the TyG index was calculated. The TyG index was categorized into quartiles, and SA was assessed by measuring brachial-ankle pulse wave velocity (baPWV). The cutoff point for the TyG index was determined via receiver operating characteristic (ROC) curve analysis.

Results: SA incidence increased with increasing TyG index in both men (from 5.929% in Group I to 10.579% in Group IV; P < 0.001) and women (from 2.074% in Group I to 14.955% in Group IV; P < 0.001). Multivariate linear regression analysis revealed that a higher TyG index was associated with an elevated risk of SA in men (odds ratio [OR] 4.028, 95% confidence interval [CI] 2.811-5.711) and women (OR 2.599, 95% CI 1.86-5.543). ROC curve analysis revealed that the area under the curve was 0.572 (95% CI = 0.541-0.602; P < 0.001) for men and 0.694 (95% CI = 0.668-0.721; P < 0.001) for women. The optimal TyG index cutoff points for predicting subclinical atherosclerosis were 8.961 for men (sensitivity, 46.5%; specificity, 67.9%) and 8.254 for women (sensitivity, 79.7%; specificity, 49.9%).

Conclusion: The TyG index is a composite indicator of dyslipidemia and hyperglycemia. In clinical practice, women with TyG index values above the cutoff should be further evaluated for the underlying pulse wave velocity.

求助全文
通过发布文献求助,成功后即可免费获取论文全文。 去求助
来源期刊
Archives of Endocrinology Metabolism
Archives of Endocrinology Metabolism Medicine-Endocrinology, Diabetes and Metabolism
CiteScore
2.90
自引率
5.90%
发文量
107
审稿时长
7 weeks
期刊介绍: The Archives of Endocrinology and Metabolism - AE&M – is the official journal of the Brazilian Society of Endocrinology and Metabolism - SBEM, which is affiliated with the Brazilian Medical Association. Edited since 1951, the AE&M aims at publishing articles on scientific themes in the basic translational and clinical area of Endocrinology and Metabolism. The printed version AE&M is published in 6 issues/year. The full electronic issue is open access in the SciELO - Scientific Electronic Library Online e at the AE&M site: www.aem-sbem.com. From volume 59 on, the name was changed to Archives of Endocrinology and Metabolism, and it became mandatory for manuscripts to be submitted in English for the online issue. However, for the printed issue it is still optional for the articles to be sent in English or Portuguese. The journal is published six times a year, with one issue every two months.
×
引用
GB/T 7714-2015
复制
MLA
复制
APA
复制
导出至
BibTeX EndNote RefMan NoteFirst NoteExpress
×
提示
您的信息不完整,为了账户安全,请先补充。
现在去补充
×
提示
您因"违规操作"
具体请查看互助需知
我知道了
×
提示
确定
请完成安全验证×
copy
已复制链接
快去分享给好友吧!
我知道了
右上角分享
点击右上角分享
0
联系我们:info@booksci.cn Book学术提供免费学术资源搜索服务,方便国内外学者检索中英文文献。致力于提供最便捷和优质的服务体验。 Copyright © 2023 布克学术 All rights reserved.
京ICP备2023020795号-1
ghs 京公网安备 11010802042870号
Book学术文献互助
Book学术文献互助群
群 号:604180095
Book学术官方微信