健康男性性激素结合球蛋白水平与年龄和胰岛素抵抗的关系

IF 2.3 4区 医学 Q4 ENDOCRINOLOGY & METABOLISM
Indianara Franciele Porgere, Bruna Martins Rocha, Gustavo Monteiro Escott, Luiza Carolina Fagundes Silva, Priscila Aparecida Correa Freitas, Fabíola Satler, Sandra Pinho Silveiro
{"title":"健康男性性激素结合球蛋白水平与年龄和胰岛素抵抗的关系","authors":"Indianara Franciele Porgere, Bruna Martins Rocha, Gustavo Monteiro Escott, Luiza Carolina Fagundes Silva, Priscila Aparecida Correa Freitas, Fabíola Satler, Sandra Pinho Silveiro","doi":"10.20945/2359-4292-2024-0360","DOIUrl":null,"url":null,"abstract":"<p><strong>Objective: </strong>To evaluate the putative association of age and insulin resistance with sex hormone-binding globulin levels in healthy men.</p><p><strong>Methods: </strong>In total, 136 healthy men without obesity, aged 18 years or older, were included. Total testosterone was measured by electrochemiluminescence, and sex hormone-binding globulin by chemiluminescence. Calculated free testosterone was obtained by Vermeulen's equation. Insulin resistance index was estimated as triglycerides/HDL ratio.</p><p><strong>Results: </strong>The sample was divided into tertiles according to age (18 to 29; 30 to 49; 50 to 67 years). Sex hormone-binding globulin levels were higher in men > 50 years old compared to those of the second and first tertiles (41 ± 17 versus 35 ± 12 and 29 ± 9 nmol/L; p < 0.001), while values of calculated free testosterone were lower in the older tertile (7.7 ± 1.9 versus 8.8 ± 2.2 and 10.4 ±3.1 ng/dL; p < 0.001). Age did not influence total testosterone levels. Insulin resistance index was inversely and significantly correlated with sex hormone-binding globulin (r = -0.371; p < 0.001).</p><p><strong>Conclusion: </strong>There is a significant increase in serum sex hormone-binding globulin in older healthy men, highlighting the need for age-specific reference values. Furthermore, insulin resistance seems to reduce this globulin levels, perhaps pointing out low sex hormone-binding globulin as a putative predictor of related chronic diseases.</p>","PeriodicalId":54303,"journal":{"name":"Archives of Endocrinology Metabolism","volume":"69 4","pages":"e240360"},"PeriodicalIF":2.3000,"publicationDate":"2025-08-26","publicationTypes":"Journal Article","fieldsOfStudy":null,"isOpenAccess":false,"openAccessPdf":"https://www.ncbi.nlm.nih.gov/pmc/articles/PMC12380373/pdf/","citationCount":"0","resultStr":"{\"title\":\"Association of age and insulin resistance with sex hormone-binding globulin levels in healthy men.\",\"authors\":\"Indianara Franciele Porgere, Bruna Martins Rocha, Gustavo Monteiro Escott, Luiza Carolina Fagundes Silva, Priscila Aparecida Correa Freitas, Fabíola Satler, Sandra Pinho Silveiro\",\"doi\":\"10.20945/2359-4292-2024-0360\",\"DOIUrl\":null,\"url\":null,\"abstract\":\"<p><strong>Objective: </strong>To evaluate the putative association of age and insulin resistance with sex hormone-binding globulin levels in healthy men.</p><p><strong>Methods: </strong>In total, 136 healthy men without obesity, aged 18 years or older, were included. Total testosterone was measured by electrochemiluminescence, and sex hormone-binding globulin by chemiluminescence. Calculated free testosterone was obtained by Vermeulen's equation. Insulin resistance index was estimated as triglycerides/HDL ratio.</p><p><strong>Results: </strong>The sample was divided into tertiles according to age (18 to 29; 30 to 49; 50 to 67 years). Sex hormone-binding globulin levels were higher in men > 50 years old compared to those of the second and first tertiles (41 ± 17 versus 35 ± 12 and 29 ± 9 nmol/L; p < 0.001), while values of calculated free testosterone were lower in the older tertile (7.7 ± 1.9 versus 8.8 ± 2.2 and 10.4 ±3.1 ng/dL; p < 0.001). Age did not influence total testosterone levels. Insulin resistance index was inversely and significantly correlated with sex hormone-binding globulin (r = -0.371; p < 0.001).</p><p><strong>Conclusion: </strong>There is a significant increase in serum sex hormone-binding globulin in older healthy men, highlighting the need for age-specific reference values. Furthermore, insulin resistance seems to reduce this globulin levels, perhaps pointing out low sex hormone-binding globulin as a putative predictor of related chronic diseases.</p>\",\"PeriodicalId\":54303,\"journal\":{\"name\":\"Archives of Endocrinology Metabolism\",\"volume\":\"69 4\",\"pages\":\"e240360\"},\"PeriodicalIF\":2.3000,\"publicationDate\":\"2025-08-26\",\"publicationTypes\":\"Journal Article\",\"fieldsOfStudy\":null,\"isOpenAccess\":false,\"openAccessPdf\":\"https://www.ncbi.nlm.nih.gov/pmc/articles/PMC12380373/pdf/\",\"citationCount\":\"0\",\"resultStr\":null,\"platform\":\"Semanticscholar\",\"paperid\":null,\"PeriodicalName\":\"Archives of Endocrinology Metabolism\",\"FirstCategoryId\":\"3\",\"ListUrlMain\":\"https://doi.org/10.20945/2359-4292-2024-0360\",\"RegionNum\":4,\"RegionCategory\":\"医学\",\"ArticlePicture\":[],\"TitleCN\":null,\"AbstractTextCN\":null,\"PMCID\":null,\"EPubDate\":\"\",\"PubModel\":\"\",\"JCR\":\"Q4\",\"JCRName\":\"ENDOCRINOLOGY & METABOLISM\",\"Score\":null,\"Total\":0}","platform":"Semanticscholar","paperid":null,"PeriodicalName":"Archives of Endocrinology Metabolism","FirstCategoryId":"3","ListUrlMain":"https://doi.org/10.20945/2359-4292-2024-0360","RegionNum":4,"RegionCategory":"医学","ArticlePicture":[],"TitleCN":null,"AbstractTextCN":null,"PMCID":null,"EPubDate":"","PubModel":"","JCR":"Q4","JCRName":"ENDOCRINOLOGY & METABOLISM","Score":null,"Total":0}
引用次数: 0

摘要

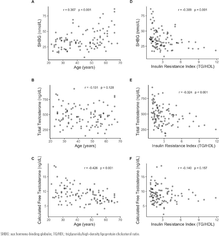
目的:探讨健康男性性激素结合球蛋白水平与年龄和胰岛素抵抗的关系。方法:共纳入136名18岁及以上无肥胖的健康男性。电化学发光法测定睾酮总水平,化学发光法测定性激素结合球蛋白水平。通过Vermeulen方程计算游离睾酮。胰岛素抵抗指数以甘油三酯/高密度脂蛋白比值估算。结果:样本按年龄(18 ~ 29岁、30 ~ 49岁、50 ~ 67岁)进行分类。性激素结合球蛋白水平在50岁以下的男性中高于第二和第一分位(41±17比35±12和29±9 nmol/L, p < 0.001),而计算的游离睾酮值在老年分位中较低(7.7±1.9比8.8±2.2和10.4±3.1 ng/dL, p < 0.001)。年龄对总睾酮水平没有影响。胰岛素抵抗指数与性激素结合球蛋白呈显著负相关(r = -0.371; p < 0.001)。结论:老年健康男性血清性激素结合球蛋白显著升高,提示有必要建立年龄特异性参考值。此外,胰岛素抵抗似乎降低了这种球蛋白水平,这可能表明性激素结合球蛋白水平低是相关慢性疾病的推测预测因子。
本文章由计算机程序翻译,如有差异,请以英文原文为准。

Association of age and insulin resistance with sex hormone-binding globulin levels in healthy men.

Association of age and insulin resistance with sex hormone-binding globulin levels in healthy men.

Association of age and insulin resistance with sex hormone-binding globulin levels in healthy men.

Objective: To evaluate the putative association of age and insulin resistance with sex hormone-binding globulin levels in healthy men.

Methods: In total, 136 healthy men without obesity, aged 18 years or older, were included. Total testosterone was measured by electrochemiluminescence, and sex hormone-binding globulin by chemiluminescence. Calculated free testosterone was obtained by Vermeulen's equation. Insulin resistance index was estimated as triglycerides/HDL ratio.

Results: The sample was divided into tertiles according to age (18 to 29; 30 to 49; 50 to 67 years). Sex hormone-binding globulin levels were higher in men > 50 years old compared to those of the second and first tertiles (41 ± 17 versus 35 ± 12 and 29 ± 9 nmol/L; p < 0.001), while values of calculated free testosterone were lower in the older tertile (7.7 ± 1.9 versus 8.8 ± 2.2 and 10.4 ±3.1 ng/dL; p < 0.001). Age did not influence total testosterone levels. Insulin resistance index was inversely and significantly correlated with sex hormone-binding globulin (r = -0.371; p < 0.001).

Conclusion: There is a significant increase in serum sex hormone-binding globulin in older healthy men, highlighting the need for age-specific reference values. Furthermore, insulin resistance seems to reduce this globulin levels, perhaps pointing out low sex hormone-binding globulin as a putative predictor of related chronic diseases.

求助全文
通过发布文献求助,成功后即可免费获取论文全文。 去求助
来源期刊
Archives of Endocrinology Metabolism
Archives of Endocrinology Metabolism Medicine-Endocrinology, Diabetes and Metabolism
CiteScore
2.90
自引率
5.90%
发文量
107
审稿时长
7 weeks
期刊介绍: The Archives of Endocrinology and Metabolism - AE&M – is the official journal of the Brazilian Society of Endocrinology and Metabolism - SBEM, which is affiliated with the Brazilian Medical Association. Edited since 1951, the AE&M aims at publishing articles on scientific themes in the basic translational and clinical area of Endocrinology and Metabolism. The printed version AE&M is published in 6 issues/year. The full electronic issue is open access in the SciELO - Scientific Electronic Library Online e at the AE&M site: www.aem-sbem.com. From volume 59 on, the name was changed to Archives of Endocrinology and Metabolism, and it became mandatory for manuscripts to be submitted in English for the online issue. However, for the printed issue it is still optional for the articles to be sent in English or Portuguese. The journal is published six times a year, with one issue every two months.
×
引用
GB/T 7714-2015
复制
MLA
复制
APA
复制
导出至
BibTeX EndNote RefMan NoteFirst NoteExpress
×
提示
您的信息不完整,为了账户安全,请先补充。
现在去补充
×
提示
您因"违规操作"
具体请查看互助需知
我知道了
×
提示
确定
请完成安全验证×
copy
已复制链接
快去分享给好友吧!
我知道了
右上角分享
点击右上角分享
0
联系我们:info@booksci.cn Book学术提供免费学术资源搜索服务,方便国内外学者检索中英文文献。致力于提供最便捷和优质的服务体验。 Copyright © 2023 布克学术 All rights reserved.
京ICP备2023020795号-1
ghs 京公网安备 11010802042870号
Book学术文献互助
Book学术文献互助群
群 号:604180095
Book学术官方微信