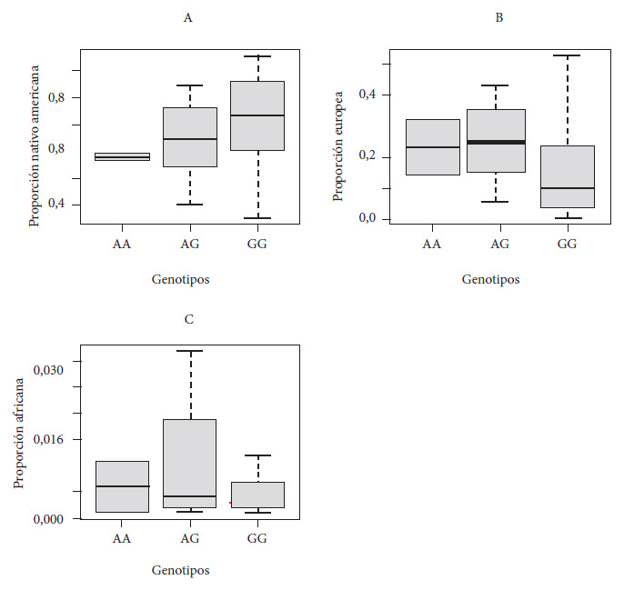
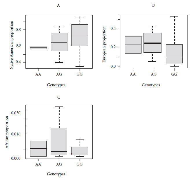
利马地区人群乳糖耐受性的遗传祖先和SNP RS4988235。

IF 1 Q3 Medicine
Sergio Vladimir Flores, Ángel Roco-Videla, Román M Montaña
{"title":"利马地区人群乳糖耐受性的遗传祖先和SNP RS4988235。","authors":"Sergio Vladimir Flores, Ángel Roco-Videla, Román M Montaña","doi":"10.17843/rpmesp.2025.422.14223","DOIUrl":null,"url":null,"abstract":"","PeriodicalId":53651,"journal":{"name":"Revista Peruana de Medicina de Experimental y Salud Publica","volume":"42 2","pages":"225-226"},"PeriodicalIF":1.0000,"publicationDate":"2025-08-25","publicationTypes":"Journal Article","fieldsOfStudy":null,"isOpenAccess":false,"openAccessPdf":"https://www.ncbi.nlm.nih.gov/pmc/articles/PMC12377878/pdf/","citationCount":"0","resultStr":"{\"title\":\"[Genetic ancestry and the SNP RS4988235 of lactose tolerance in the population of Lima].\",\"authors\":\"Sergio Vladimir Flores, Ángel Roco-Videla, Román M Montaña\",\"doi\":\"10.17843/rpmesp.2025.422.14223\",\"DOIUrl\":null,\"url\":null,\"abstract\":\"\",\"PeriodicalId\":53651,\"journal\":{\"name\":\"Revista Peruana de Medicina de Experimental y Salud Publica\",\"volume\":\"42 2\",\"pages\":\"225-226\"},\"PeriodicalIF\":1.0000,\"publicationDate\":\"2025-08-25\",\"publicationTypes\":\"Journal Article\",\"fieldsOfStudy\":null,\"isOpenAccess\":false,\"openAccessPdf\":\"https://www.ncbi.nlm.nih.gov/pmc/articles/PMC12377878/pdf/\",\"citationCount\":\"0\",\"resultStr\":null,\"platform\":\"Semanticscholar\",\"paperid\":null,\"PeriodicalName\":\"Revista Peruana de Medicina de Experimental y Salud Publica\",\"FirstCategoryId\":\"1085\",\"ListUrlMain\":\"https://doi.org/10.17843/rpmesp.2025.422.14223\",\"RegionNum\":0,\"RegionCategory\":null,\"ArticlePicture\":[],\"TitleCN\":null,\"AbstractTextCN\":null,\"PMCID\":null,\"EPubDate\":\"\",\"PubModel\":\"\",\"JCR\":\"Q3\",\"JCRName\":\"Medicine\",\"Score\":null,\"Total\":0}","platform":"Semanticscholar","paperid":null,"PeriodicalName":"Revista Peruana de Medicina de Experimental y Salud Publica","FirstCategoryId":"1085","ListUrlMain":"https://doi.org/10.17843/rpmesp.2025.422.14223","RegionNum":0,"RegionCategory":null,"ArticlePicture":[],"TitleCN":null,"AbstractTextCN":null,"PMCID":null,"EPubDate":"","PubModel":"","JCR":"Q3","JCRName":"Medicine","Score":null,"Total":0}
引用次数: 0

摘要

本文章由计算机程序翻译,如有差异,请以英文原文为准。

[Genetic ancestry and the SNP RS4988235 of lactose tolerance in the population of Lima].

[Genetic ancestry and the SNP RS4988235 of lactose tolerance in the population of Lima].

[Genetic ancestry and the SNP RS4988235 of lactose tolerance in the population of Lima].
求助全文
通过发布文献求助,成功后即可免费获取论文全文。 去求助
来源期刊
Revista Peruana de Medicina de Experimental y Salud Publica
Revista Peruana de Medicina de Experimental y Salud Publica Medicine-Public Health, Environmental and Occupational Health
CiteScore
3.00
自引率
0.00%
发文量
57
审稿时长
12 weeks
期刊介绍: La Revista Peruana de Medicina Experimental y Salud Pública (RPMESP) es el órgano oficial de difusión científica del Instituto Nacional de Salud (INS) del Perú. Es una publicación arbitrada por pares, de periodicidad trimestral, de ámbito y difusión mundial, indizada en MEDLINE/Index Medicos, SCOPUS, EMBASE, SciELO Salud Pública y otras bases de datos internacionales. La RPMESP es distribuida en su versión impresa y electrónica, con acceso gratuito a texto completo. La RPMESP publica artículos referidos a temas del ámbito biomédico y de salud pública, resaltando aportes prácticos, que contribuyan a mejorar la situación de salud del país y de la región. Propicia el intercambio de la experiencia científica en salud entre instituciones y personas dedicadas a la investigación dentro y fuera del Perú a fin de promover el avance y la aplicación de la investigación en salud.
×
引用
GB/T 7714-2015
复制
MLA
复制
APA
复制
导出至
BibTeX EndNote RefMan NoteFirst NoteExpress
×
提示
您的信息不完整,为了账户安全,请先补充。
现在去补充
×
提示
您因"违规操作"
具体请查看互助需知
我知道了
×
提示
确定
请完成安全验证×
copy
已复制链接
快去分享给好友吧!
我知道了
右上角分享
点击右上角分享
0
联系我们:info@booksci.cn Book学术提供免费学术资源搜索服务,方便国内外学者检索中英文文献。致力于提供最便捷和优质的服务体验。 Copyright © 2023 布克学术 All rights reserved.
京ICP备2023020795号-1
ghs 京公网安备 11010802042870号
Book学术文献互助
Book学术文献互助群
群 号:604180095
Book学术官方微信