党派对削减福利国家政策偏好的影响。

IF 2.7 1区 社会学 Q1 COMMUNICATION
Public Opinion Quarterly Pub Date : 2025-05-29 eCollection Date: 2025-01-01 DOI:10.1093/poq/nfaf017
Miroslav Nemčok, Hanna Wass, Juho Vesa
{"title":"党派对削减福利国家政策偏好的影响。","authors":"Miroslav Nemčok, Hanna Wass, Juho Vesa","doi":"10.1093/poq/nfaf017","DOIUrl":null,"url":null,"abstract":"<p><p>While citizens typically favor welfare policies, the electoral consequences of retrenching the welfare state are often minimal for parties implementing the reforms. Using two structural reforms in Finland as a natural quasi-experiment, we show that voters' policy preferences shift in response to welfare reform measures initiated by their preferred parties. In December 2020, the Finnish center-left government enacted two reforms: one reducing social protection by removing entitlements for laid-off older workers to receive income-based unemployment benefits, and the other increasing social spending by extending the compulsory education age from 16 to 18. Using a two-wave panel survey conducted before and after the government actions, the results indicate that government voters became considerably more supportive of both reforms, despite their initial low support for welfare retrenchment and its contradiction with the established ideological profile of their parties. Moreover, the shift in voters' policy preferences was substantively greater compared to their opposition counterparts and not affected by ideology and economic self-interest. Hence, voters' policy preferences show dynamic adaptability to match the party line, thereby reducing grounds for holding the parties accountable.</p>","PeriodicalId":51359,"journal":{"name":"Public Opinion Quarterly","volume":"89 2","pages":"424-444"},"PeriodicalIF":2.7000,"publicationDate":"2025-05-29","publicationTypes":"Journal Article","fieldsOfStudy":null,"isOpenAccess":false,"openAccessPdf":"https://www.ncbi.nlm.nih.gov/pmc/articles/PMC12369940/pdf/","citationCount":"0","resultStr":"{\"title\":\"Partisan Influence on Policy Preferences in Retrenching the Welfare State.\",\"authors\":\"Miroslav Nemčok, Hanna Wass, Juho Vesa\",\"doi\":\"10.1093/poq/nfaf017\",\"DOIUrl\":null,\"url\":null,\"abstract\":\"<p><p>While citizens typically favor welfare policies, the electoral consequences of retrenching the welfare state are often minimal for parties implementing the reforms. Using two structural reforms in Finland as a natural quasi-experiment, we show that voters' policy preferences shift in response to welfare reform measures initiated by their preferred parties. In December 2020, the Finnish center-left government enacted two reforms: one reducing social protection by removing entitlements for laid-off older workers to receive income-based unemployment benefits, and the other increasing social spending by extending the compulsory education age from 16 to 18. Using a two-wave panel survey conducted before and after the government actions, the results indicate that government voters became considerably more supportive of both reforms, despite their initial low support for welfare retrenchment and its contradiction with the established ideological profile of their parties. Moreover, the shift in voters' policy preferences was substantively greater compared to their opposition counterparts and not affected by ideology and economic self-interest. Hence, voters' policy preferences show dynamic adaptability to match the party line, thereby reducing grounds for holding the parties accountable.</p>\",\"PeriodicalId\":51359,\"journal\":{\"name\":\"Public Opinion Quarterly\",\"volume\":\"89 2\",\"pages\":\"424-444\"},\"PeriodicalIF\":2.7000,\"publicationDate\":\"2025-05-29\",\"publicationTypes\":\"Journal Article\",\"fieldsOfStudy\":null,\"isOpenAccess\":false,\"openAccessPdf\":\"https://www.ncbi.nlm.nih.gov/pmc/articles/PMC12369940/pdf/\",\"citationCount\":\"0\",\"resultStr\":null,\"platform\":\"Semanticscholar\",\"paperid\":null,\"PeriodicalName\":\"Public Opinion Quarterly\",\"FirstCategoryId\":\"90\",\"ListUrlMain\":\"https://doi.org/10.1093/poq/nfaf017\",\"RegionNum\":1,\"RegionCategory\":\"社会学\",\"ArticlePicture\":[],\"TitleCN\":null,\"AbstractTextCN\":null,\"PMCID\":null,\"EPubDate\":\"2025/1/1 0:00:00\",\"PubModel\":\"eCollection\",\"JCR\":\"Q1\",\"JCRName\":\"COMMUNICATION\",\"Score\":null,\"Total\":0}","platform":"Semanticscholar","paperid":null,"PeriodicalName":"Public Opinion Quarterly","FirstCategoryId":"90","ListUrlMain":"https://doi.org/10.1093/poq/nfaf017","RegionNum":1,"RegionCategory":"社会学","ArticlePicture":[],"TitleCN":null,"AbstractTextCN":null,"PMCID":null,"EPubDate":"2025/1/1 0:00:00","PubModel":"eCollection","JCR":"Q1","JCRName":"COMMUNICATION","Score":null,"Total":0}
引用次数: 0

摘要

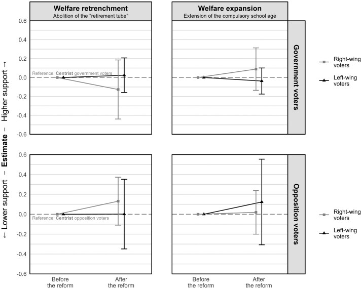
虽然公民通常支持福利政策,但对于实施改革的政党来说,削减福利国家的选举后果往往是最小的。我们将芬兰的两项结构性改革作为自然的准实验,表明选民的政策偏好会随着他们所支持的政党发起的福利改革措施而发生变化。2020年12月,芬兰中左翼政府颁布了两项改革:一项是通过取消下岗老年工人领取基于收入的失业救济金的权利来减少社会保护,另一项是通过将义务教育年龄从16岁延长到18岁来增加社会支出。通过在政府行动前后进行的两波小组调查,结果表明,政府选民对这两项改革的支持程度大大提高,尽管他们最初对削减福利的支持程度较低,而且这与他们所在政党的既定意识形态存在矛盾。此外,与反对党相比,选民政策偏好的转变要大得多,而且不受意识形态和经济利益的影响。因此,选民的政策偏好表现出与政党路线相匹配的动态适应性,从而减少了追究政党责任的理由。
本文章由计算机程序翻译,如有差异,请以英文原文为准。

Partisan Influence on Policy Preferences in Retrenching the Welfare State.

Partisan Influence on Policy Preferences in Retrenching the Welfare State.

Partisan Influence on Policy Preferences in Retrenching the Welfare State.

Partisan Influence on Policy Preferences in Retrenching the Welfare State.

While citizens typically favor welfare policies, the electoral consequences of retrenching the welfare state are often minimal for parties implementing the reforms. Using two structural reforms in Finland as a natural quasi-experiment, we show that voters' policy preferences shift in response to welfare reform measures initiated by their preferred parties. In December 2020, the Finnish center-left government enacted two reforms: one reducing social protection by removing entitlements for laid-off older workers to receive income-based unemployment benefits, and the other increasing social spending by extending the compulsory education age from 16 to 18. Using a two-wave panel survey conducted before and after the government actions, the results indicate that government voters became considerably more supportive of both reforms, despite their initial low support for welfare retrenchment and its contradiction with the established ideological profile of their parties. Moreover, the shift in voters' policy preferences was substantively greater compared to their opposition counterparts and not affected by ideology and economic self-interest. Hence, voters' policy preferences show dynamic adaptability to match the party line, thereby reducing grounds for holding the parties accountable.

求助全文
通过发布文献求助,成功后即可免费获取论文全文。 去求助
来源期刊
CiteScore
4.40
自引率
2.90%
发文量
51
期刊介绍: Published since 1937, Public Opinion Quarterly is among the most frequently cited journals of its kind. Such interdisciplinary leadership benefits academicians and all social science researchers by providing a trusted source for a wide range of high quality research. POQ selectively publishes important theoretical contributions to opinion and communication research, analyses of current public opinion, and investigations of methodological issues involved in survey validity—including questionnaire construction, interviewing and interviewers, sampling strategy, and mode of administration. The theoretical and methodological advances detailed in pages of POQ ensure its importance as a research resource.
×
引用
GB/T 7714-2015
复制
MLA
复制
APA
复制
导出至
BibTeX EndNote RefMan NoteFirst NoteExpress
×
提示
您的信息不完整,为了账户安全,请先补充。
现在去补充
×
提示
您因"违规操作"
具体请查看互助需知
我知道了
×
提示
确定
请完成安全验证×
copy
已复制链接
快去分享给好友吧!
我知道了
右上角分享
点击右上角分享
0
联系我们:info@booksci.cn Book学术提供免费学术资源搜索服务,方便国内外学者检索中英文文献。致力于提供最便捷和优质的服务体验。 Copyright © 2023 布克学术 All rights reserved.
京ICP备2023020795号-1
ghs 京公网安备 11010802042870号
Book学术文献互助
Book学术文献互助群
群 号:604180095
Book学术官方微信