部分脾切除术和心包断流术治疗有症状的门静脉高压症患者:一项单中心回顾性研究。

IF 1.8 3区 医学 Q2 SURGERY
Ying Zhang, Shengzhi Wang, Jinghui Yang, Jinxiang Bu, Feng Liang
{"title":"部分脾切除术和心包断流术治疗有症状的门静脉高压症患者:一项单中心回顾性研究。","authors":"Ying Zhang, Shengzhi Wang, Jinghui Yang, Jinxiang Bu, Feng Liang","doi":"10.1186/s12893-025-03091-5","DOIUrl":null,"url":null,"abstract":"<p><strong>Background: </strong>The dilemma of current treatments for symptomatic patients with portal hypertension is how to resolve the problems of the varices and hypersplenism simultaneously and meanwhile preserve the splenic function. Partial splenectomy and pericardial devascularization is a potential alternative to currently used approaches, but it is incompletely defined. This study aimed to evaluate the efficacy and safety of partial splenectomy and pericardial devascularization.</p><p><strong>Methods: </strong>This study followed 132 symptomatic patients with portal hypertension who underwent partial splenectomy and pericardial devascularization in the General Surgery Department of the Fifth Medical Center of PLA General Hospital from 2016 to 2023. Clinical, laboratory, endoscopic examination and imaging data were collected and compared between preoperative and postoperative levels at intervals using a mixed linear model.</p><p><strong>Results: </strong>All 132 patients with portal hypertension successfully underwent partial splenectomy and pericardial devascularization without intraoperative uncontrolled massive bleeding or death. Leucocyte and platelet counts increased to normal levels at intervals from 1 year to ≥ 4 years postoperatively. Among the patients followed for six months postoperatively, 23 (52.27%) showed improvement in esophagogastric varices, 19 (43.18%) had no significant changes in their condition, and 2 (4.55%) experienced worsening of the varices. At subsequent follow-ups, the majority of patients either showed improvements or no change in their esophagogastric varices, with only a small fraction experiencing worsening of the condition. The splenic remnant survived in most patients, and regrowth was very limited postoperatively, while 13 (9.85%) patients splenic remnant necrosis during follow-up. Liver failure was observed in 5 (3.79%) patients postoperatively, and 3 (2.27%) of them died perioperatively. Portal vein thrombosis was found in 90 (75%) patients the 7th days after surgery. With the progression of follow-up time, the proportion of patients with postoperative portal vein system thrombosis decreased over time. 3 (2.27%) patients experienced postoperative abdominal bleeding, which improved after emergency surgery for hemostasis.</p><p><strong>Conclusions: </strong>Partial Splenectomy and Pericardial Devascularization appears to be a safe and effective approach to treat symptomatic patients with Portal Hypertension, while preserving the potential function of the spleen.</p>","PeriodicalId":49229,"journal":{"name":"BMC Surgery","volume":"25 1","pages":"388"},"PeriodicalIF":1.8000,"publicationDate":"2025-08-23","publicationTypes":"Journal Article","fieldsOfStudy":null,"isOpenAccess":false,"openAccessPdf":"https://www.ncbi.nlm.nih.gov/pmc/articles/PMC12374345/pdf/","citationCount":"0","resultStr":"{\"title\":\"Partial splenectomy and pericardial devascularization for symptomatic patients with portal hypertension: a single-center retrospective study.\",\"authors\":\"Ying Zhang, Shengzhi Wang, Jinghui Yang, Jinxiang Bu, Feng Liang\",\"doi\":\"10.1186/s12893-025-03091-5\",\"DOIUrl\":null,\"url\":null,\"abstract\":\"<p><strong>Background: </strong>The dilemma of current treatments for symptomatic patients with portal hypertension is how to resolve the problems of the varices and hypersplenism simultaneously and meanwhile preserve the splenic function. Partial splenectomy and pericardial devascularization is a potential alternative to currently used approaches, but it is incompletely defined. This study aimed to evaluate the efficacy and safety of partial splenectomy and pericardial devascularization.</p><p><strong>Methods: </strong>This study followed 132 symptomatic patients with portal hypertension who underwent partial splenectomy and pericardial devascularization in the General Surgery Department of the Fifth Medical Center of PLA General Hospital from 2016 to 2023. Clinical, laboratory, endoscopic examination and imaging data were collected and compared between preoperative and postoperative levels at intervals using a mixed linear model.</p><p><strong>Results: </strong>All 132 patients with portal hypertension successfully underwent partial splenectomy and pericardial devascularization without intraoperative uncontrolled massive bleeding or death. Leucocyte and platelet counts increased to normal levels at intervals from 1 year to ≥ 4 years postoperatively. Among the patients followed for six months postoperatively, 23 (52.27%) showed improvement in esophagogastric varices, 19 (43.18%) had no significant changes in their condition, and 2 (4.55%) experienced worsening of the varices. At subsequent follow-ups, the majority of patients either showed improvements or no change in their esophagogastric varices, with only a small fraction experiencing worsening of the condition. The splenic remnant survived in most patients, and regrowth was very limited postoperatively, while 13 (9.85%) patients splenic remnant necrosis during follow-up. Liver failure was observed in 5 (3.79%) patients postoperatively, and 3 (2.27%) of them died perioperatively. Portal vein thrombosis was found in 90 (75%) patients the 7th days after surgery. With the progression of follow-up time, the proportion of patients with postoperative portal vein system thrombosis decreased over time. 3 (2.27%) patients experienced postoperative abdominal bleeding, which improved after emergency surgery for hemostasis.</p><p><strong>Conclusions: </strong>Partial Splenectomy and Pericardial Devascularization appears to be a safe and effective approach to treat symptomatic patients with Portal Hypertension, while preserving the potential function of the spleen.</p>\",\"PeriodicalId\":49229,\"journal\":{\"name\":\"BMC Surgery\",\"volume\":\"25 1\",\"pages\":\"388\"},\"PeriodicalIF\":1.8000,\"publicationDate\":\"2025-08-23\",\"publicationTypes\":\"Journal Article\",\"fieldsOfStudy\":null,\"isOpenAccess\":false,\"openAccessPdf\":\"https://www.ncbi.nlm.nih.gov/pmc/articles/PMC12374345/pdf/\",\"citationCount\":\"0\",\"resultStr\":null,\"platform\":\"Semanticscholar\",\"paperid\":null,\"PeriodicalName\":\"BMC Surgery\",\"FirstCategoryId\":\"3\",\"ListUrlMain\":\"https://doi.org/10.1186/s12893-025-03091-5\",\"RegionNum\":3,\"RegionCategory\":\"医学\",\"ArticlePicture\":[],\"TitleCN\":null,\"AbstractTextCN\":null,\"PMCID\":null,\"EPubDate\":\"\",\"PubModel\":\"\",\"JCR\":\"Q2\",\"JCRName\":\"SURGERY\",\"Score\":null,\"Total\":0}","platform":"Semanticscholar","paperid":null,"PeriodicalName":"BMC Surgery","FirstCategoryId":"3","ListUrlMain":"https://doi.org/10.1186/s12893-025-03091-5","RegionNum":3,"RegionCategory":"医学","ArticlePicture":[],"TitleCN":null,"AbstractTextCN":null,"PMCID":null,"EPubDate":"","PubModel":"","JCR":"Q2","JCRName":"SURGERY","Score":null,"Total":0}
引用次数: 0

摘要

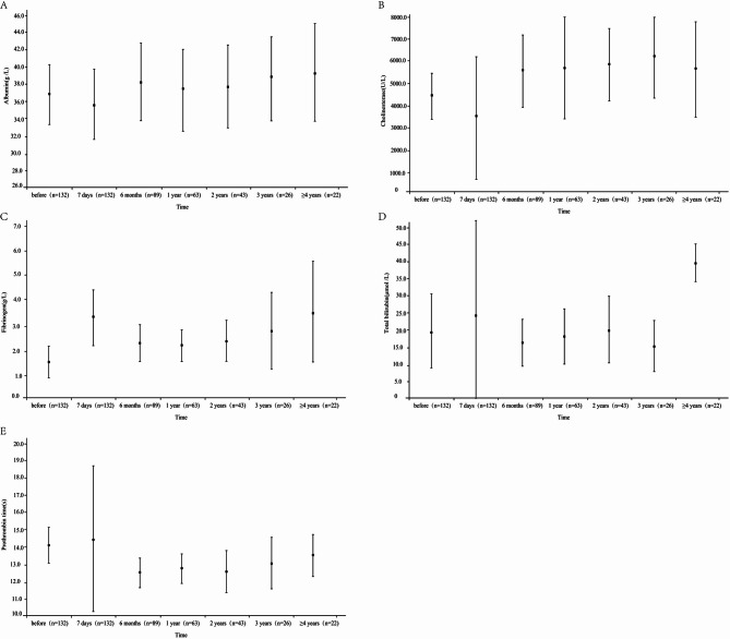
背景:如何同时解决静脉曲张和脾功能亢进的问题是目前门静脉高压症患者治疗的困境。部分脾切除术和心包断流术是一种潜在的替代目前使用的方法,但它是不完全定义。本研究旨在评估部分脾切除术和心包断流术的有效性和安全性。方法:对2016 - 2023年在解放军总医院第五医学中心普外科行脾部分切除术和心包断流术的132例有症状的门静脉高压症患者进行随访。收集临床、实验室、内镜检查和影像学数据,并使用混合线性模型间隔比较术前和术后水平。结果:132例门静脉高压症患者均成功行部分脾切除术和心包断流术,术中无大出血或死亡。术后1年至4年,白细胞和血小板计数恢复到正常水平。术后随访6个月的患者中,23例(52.27%)食管胃静脉曲张改善,19例(43.18%)无明显变化,2例(4.55%)静脉曲张恶化。在随后的随访中,大多数患者的食管胃静脉曲张有所改善或没有变化,只有一小部分患者病情恶化。多数患者脾残体成活,术后再生非常有限,随访期间脾残体坏死13例(9.85%)。术后出现肝功能衰竭5例(3.79%),围手术期死亡3例(2.27%)。90例(75%)患者术后第7天出现门静脉血栓形成。随着随访时间的推移,术后门静脉系统血栓形成的患者比例逐渐降低。3例(2.27%)患者术后腹部出血,经急诊手术止血后好转。结论:脾部分切除术和心包断流术是一种安全有效的治疗有症状的门静脉高压症患者的方法,同时保留了脾脏的潜在功能。
本文章由计算机程序翻译,如有差异,请以英文原文为准。

Partial splenectomy and pericardial devascularization for symptomatic patients with portal hypertension: a single-center retrospective study.

Partial splenectomy and pericardial devascularization for symptomatic patients with portal hypertension: a single-center retrospective study.

Partial splenectomy and pericardial devascularization for symptomatic patients with portal hypertension: a single-center retrospective study.

Partial splenectomy and pericardial devascularization for symptomatic patients with portal hypertension: a single-center retrospective study.

Background: The dilemma of current treatments for symptomatic patients with portal hypertension is how to resolve the problems of the varices and hypersplenism simultaneously and meanwhile preserve the splenic function. Partial splenectomy and pericardial devascularization is a potential alternative to currently used approaches, but it is incompletely defined. This study aimed to evaluate the efficacy and safety of partial splenectomy and pericardial devascularization.

Methods: This study followed 132 symptomatic patients with portal hypertension who underwent partial splenectomy and pericardial devascularization in the General Surgery Department of the Fifth Medical Center of PLA General Hospital from 2016 to 2023. Clinical, laboratory, endoscopic examination and imaging data were collected and compared between preoperative and postoperative levels at intervals using a mixed linear model.

Results: All 132 patients with portal hypertension successfully underwent partial splenectomy and pericardial devascularization without intraoperative uncontrolled massive bleeding or death. Leucocyte and platelet counts increased to normal levels at intervals from 1 year to ≥ 4 years postoperatively. Among the patients followed for six months postoperatively, 23 (52.27%) showed improvement in esophagogastric varices, 19 (43.18%) had no significant changes in their condition, and 2 (4.55%) experienced worsening of the varices. At subsequent follow-ups, the majority of patients either showed improvements or no change in their esophagogastric varices, with only a small fraction experiencing worsening of the condition. The splenic remnant survived in most patients, and regrowth was very limited postoperatively, while 13 (9.85%) patients splenic remnant necrosis during follow-up. Liver failure was observed in 5 (3.79%) patients postoperatively, and 3 (2.27%) of them died perioperatively. Portal vein thrombosis was found in 90 (75%) patients the 7th days after surgery. With the progression of follow-up time, the proportion of patients with postoperative portal vein system thrombosis decreased over time. 3 (2.27%) patients experienced postoperative abdominal bleeding, which improved after emergency surgery for hemostasis.

Conclusions: Partial Splenectomy and Pericardial Devascularization appears to be a safe and effective approach to treat symptomatic patients with Portal Hypertension, while preserving the potential function of the spleen.

求助全文
通过发布文献求助,成功后即可免费获取论文全文。 去求助
来源期刊
BMC Surgery
BMC Surgery SURGERY-
CiteScore
2.90
自引率
5.30%
发文量
391
审稿时长
58 days
期刊介绍: BMC Surgery is an open access, peer-reviewed journal that considers articles on surgical research, training, and practice.
×
引用
GB/T 7714-2015
复制
MLA
复制
APA
复制
导出至
BibTeX EndNote RefMan NoteFirst NoteExpress
×
提示
您的信息不完整,为了账户安全,请先补充。
现在去补充
×
提示
您因"违规操作"
具体请查看互助需知
我知道了
×
提示
确定
请完成安全验证×
copy
已复制链接
快去分享给好友吧!
我知道了
右上角分享
点击右上角分享
0
联系我们:info@booksci.cn Book学术提供免费学术资源搜索服务,方便国内外学者检索中英文文献。致力于提供最便捷和优质的服务体验。 Copyright © 2023 布克学术 All rights reserved.
京ICP备2023020795号-1
ghs 京公网安备 11010802042870号
Book学术文献互助
Book学术文献互助群
群 号:604180095
Book学术官方微信