血液嗜酸性粒细胞稳定性预测慢性阻塞性肺病急性加重住院患者的临床结果

IF 3.1 3区 医学 Q2 RESPIRATORY SYSTEM
Lujia Guan, Jiachen Li, Lirong Liang, Zhaohui Tong
{"title":"血液嗜酸性粒细胞稳定性预测慢性阻塞性肺病急性加重住院患者的临床结果","authors":"Lujia Guan, Jiachen Li, Lirong Liang, Zhaohui Tong","doi":"10.2147/COPD.S536911","DOIUrl":null,"url":null,"abstract":"<p><strong>Background and objective: </strong>Blood eosinophil (EOS) levels are considered a potential biomarker for acute exacerbation of chronic obstructive pulmonary disease (AECOPD) management, but the impact of EOS stability during hospitalization on outcomes is unclear. This study examined the relationship between EOS stability and clinical outcomes in these patients.</p><p><strong>Methods: </strong>A retrospective analysis was conducted on 2105 AECOPD patients hospitalized at Beijing Chao-Yang Hospital from 2013 to 2022. Patients were classified into four groups according to EOS counts (2%) at admission and discharge: persistent high, decreased, increased, and persistent low. Clinical characteristics and outcomes were compared between EOS stability groups. Multivariable logistic regression was used to evaluate the association between EOS stability and adverse hospital outcomes. Cox regression analysis was performed to assess the risk of AECOPD-related readmission within three years. Receiver operating characteristic (ROC) curves and nomograms were used to evaluate the predictive performance of the models.</p><p><strong>Results: </strong>There were 586 (27.8%), 154 (7.3%), 593 (28.2%), and 772 (36.7%) patients in the persistent high, decreased, increased, and persistent low groups, respectively. Multivariable logistic regression analysis showed that the persistent high EOS group had a significantly lower risk of adverse hospital outcomes compared to the persistent low EOS group (aOR: 0.77, 95% CI: 0.59-0.99, <i>P</i> = 0.040). The nomogram developed based on the multivariate model demonstrated good predictive accuracy for adverse hospital outcomes, with an AUC of 0.67, and was well-calibrated. Cox regression analysis revealed that the persistent high EOS group had a higher risk of AECOPD-related readmission within three years compared to the persistent low EOS group (aHR: 1.38, 95% CI: 1.13-1.68, <i>P</i> = 0.001).</p><p><strong>Conclusion: </strong>Blood eosinophil stability during hospitalization is associated with AECOPD prognosis and may help guide inpatient treatment and identify patients at higher risk of future readmission.</p>","PeriodicalId":48818,"journal":{"name":"International Journal of Chronic Obstructive Pulmonary Disease","volume":"20 ","pages":"2913-2923"},"PeriodicalIF":3.1000,"publicationDate":"2025-08-22","publicationTypes":"Journal Article","fieldsOfStudy":null,"isOpenAccess":false,"openAccessPdf":"https://www.ncbi.nlm.nih.gov/pmc/articles/PMC12380096/pdf/","citationCount":"0","resultStr":"{\"title\":\"Blood Eosinophil Stability Predicts Clinical Outcomes in Hospitalized Patients with Acute Exacerbations of COPD.\",\"authors\":\"Lujia Guan, Jiachen Li, Lirong Liang, Zhaohui Tong\",\"doi\":\"10.2147/COPD.S536911\",\"DOIUrl\":null,\"url\":null,\"abstract\":\"<p><strong>Background and objective: </strong>Blood eosinophil (EOS) levels are considered a potential biomarker for acute exacerbation of chronic obstructive pulmonary disease (AECOPD) management, but the impact of EOS stability during hospitalization on outcomes is unclear. This study examined the relationship between EOS stability and clinical outcomes in these patients.</p><p><strong>Methods: </strong>A retrospective analysis was conducted on 2105 AECOPD patients hospitalized at Beijing Chao-Yang Hospital from 2013 to 2022. Patients were classified into four groups according to EOS counts (2%) at admission and discharge: persistent high, decreased, increased, and persistent low. Clinical characteristics and outcomes were compared between EOS stability groups. Multivariable logistic regression was used to evaluate the association between EOS stability and adverse hospital outcomes. Cox regression analysis was performed to assess the risk of AECOPD-related readmission within three years. Receiver operating characteristic (ROC) curves and nomograms were used to evaluate the predictive performance of the models.</p><p><strong>Results: </strong>There were 586 (27.8%), 154 (7.3%), 593 (28.2%), and 772 (36.7%) patients in the persistent high, decreased, increased, and persistent low groups, respectively. Multivariable logistic regression analysis showed that the persistent high EOS group had a significantly lower risk of adverse hospital outcomes compared to the persistent low EOS group (aOR: 0.77, 95% CI: 0.59-0.99, <i>P</i> = 0.040). The nomogram developed based on the multivariate model demonstrated good predictive accuracy for adverse hospital outcomes, with an AUC of 0.67, and was well-calibrated. Cox regression analysis revealed that the persistent high EOS group had a higher risk of AECOPD-related readmission within three years compared to the persistent low EOS group (aHR: 1.38, 95% CI: 1.13-1.68, <i>P</i> = 0.001).</p><p><strong>Conclusion: </strong>Blood eosinophil stability during hospitalization is associated with AECOPD prognosis and may help guide inpatient treatment and identify patients at higher risk of future readmission.</p>\",\"PeriodicalId\":48818,\"journal\":{\"name\":\"International Journal of Chronic Obstructive Pulmonary Disease\",\"volume\":\"20 \",\"pages\":\"2913-2923\"},\"PeriodicalIF\":3.1000,\"publicationDate\":\"2025-08-22\",\"publicationTypes\":\"Journal Article\",\"fieldsOfStudy\":null,\"isOpenAccess\":false,\"openAccessPdf\":\"https://www.ncbi.nlm.nih.gov/pmc/articles/PMC12380096/pdf/\",\"citationCount\":\"0\",\"resultStr\":null,\"platform\":\"Semanticscholar\",\"paperid\":null,\"PeriodicalName\":\"International Journal of Chronic Obstructive Pulmonary Disease\",\"FirstCategoryId\":\"3\",\"ListUrlMain\":\"https://doi.org/10.2147/COPD.S536911\",\"RegionNum\":3,\"RegionCategory\":\"医学\",\"ArticlePicture\":[],\"TitleCN\":null,\"AbstractTextCN\":null,\"PMCID\":null,\"EPubDate\":\"2025/1/1 0:00:00\",\"PubModel\":\"eCollection\",\"JCR\":\"Q2\",\"JCRName\":\"RESPIRATORY SYSTEM\",\"Score\":null,\"Total\":0}","platform":"Semanticscholar","paperid":null,"PeriodicalName":"International Journal of Chronic Obstructive Pulmonary Disease","FirstCategoryId":"3","ListUrlMain":"https://doi.org/10.2147/COPD.S536911","RegionNum":3,"RegionCategory":"医学","ArticlePicture":[],"TitleCN":null,"AbstractTextCN":null,"PMCID":null,"EPubDate":"2025/1/1 0:00:00","PubModel":"eCollection","JCR":"Q2","JCRName":"RESPIRATORY SYSTEM","Score":null,"Total":0}
引用次数: 0

摘要

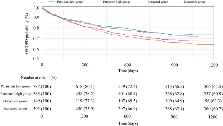
背景和目的:血液嗜酸性粒细胞(EOS)水平被认为是慢性阻塞性肺疾病(AECOPD)急性加重期管理的潜在生物标志物,但住院期间EOS稳定性对结果的影响尚不清楚。本研究考察了这些患者EOS稳定性与临床结果之间的关系。方法:对2013 - 2022年北京朝阳医院住院的2105例AECOPD患者进行回顾性分析。根据入院和出院时EOS计数(2%)将患者分为四组:持续高、减少、增加和持续低。比较EOS稳定组的临床特征和结果。采用多变量logistic回归评估EOS稳定性与不良医院预后之间的关系。采用Cox回归分析评估三年内aecopd相关再入院的风险。采用受试者工作特征(ROC)曲线和模态图来评价模型的预测性能。结果:持续高、降低、升高、持续低组分别有586例(27.8%)、154例(7.3%)、593例(28.2%)、772例(36.7%)。多变量logistic回归分析显示,与持续低EOS组相比,持续高EOS组的不良医院结局风险显著降低(aOR: 0.77, 95% CI: 0.59-0.99, P = 0.040)。基于多变量模型开发的nomogram显示出对医院不良预后的良好预测准确性,AUC为0.67,并且校准良好。Cox回归分析显示,持续高EOS组与持续低EOS组相比,3年内aecopd相关再入院的风险更高(aHR: 1.38, 95% CI: 1.13-1.68, P = 0.001)。结论:住院期间血嗜酸性粒细胞稳定性与AECOPD预后相关,有助于指导住院治疗和识别未来再入院高风险患者。
本文章由计算机程序翻译,如有差异,请以英文原文为准。

Blood Eosinophil Stability Predicts Clinical Outcomes in Hospitalized Patients with Acute Exacerbations of COPD.

Blood Eosinophil Stability Predicts Clinical Outcomes in Hospitalized Patients with Acute Exacerbations of COPD.

Blood Eosinophil Stability Predicts Clinical Outcomes in Hospitalized Patients with Acute Exacerbations of COPD.

Background and objective: Blood eosinophil (EOS) levels are considered a potential biomarker for acute exacerbation of chronic obstructive pulmonary disease (AECOPD) management, but the impact of EOS stability during hospitalization on outcomes is unclear. This study examined the relationship between EOS stability and clinical outcomes in these patients.

Methods: A retrospective analysis was conducted on 2105 AECOPD patients hospitalized at Beijing Chao-Yang Hospital from 2013 to 2022. Patients were classified into four groups according to EOS counts (2%) at admission and discharge: persistent high, decreased, increased, and persistent low. Clinical characteristics and outcomes were compared between EOS stability groups. Multivariable logistic regression was used to evaluate the association between EOS stability and adverse hospital outcomes. Cox regression analysis was performed to assess the risk of AECOPD-related readmission within three years. Receiver operating characteristic (ROC) curves and nomograms were used to evaluate the predictive performance of the models.

Results: There were 586 (27.8%), 154 (7.3%), 593 (28.2%), and 772 (36.7%) patients in the persistent high, decreased, increased, and persistent low groups, respectively. Multivariable logistic regression analysis showed that the persistent high EOS group had a significantly lower risk of adverse hospital outcomes compared to the persistent low EOS group (aOR: 0.77, 95% CI: 0.59-0.99, P = 0.040). The nomogram developed based on the multivariate model demonstrated good predictive accuracy for adverse hospital outcomes, with an AUC of 0.67, and was well-calibrated. Cox regression analysis revealed that the persistent high EOS group had a higher risk of AECOPD-related readmission within three years compared to the persistent low EOS group (aHR: 1.38, 95% CI: 1.13-1.68, P = 0.001).

Conclusion: Blood eosinophil stability during hospitalization is associated with AECOPD prognosis and may help guide inpatient treatment and identify patients at higher risk of future readmission.

求助全文
通过发布文献求助,成功后即可免费获取论文全文。 去求助
来源期刊
CiteScore
4.80
自引率
10.70%
发文量
372
审稿时长
16 weeks
期刊介绍: An international, peer-reviewed journal of therapeutics and pharmacology focusing on concise rapid reporting of clinical studies and reviews in COPD. Special focus will be given to the pathophysiological processes underlying the disease, intervention programs, patient focused education, and self management protocols. This journal is directed at specialists and healthcare professionals
×
引用
GB/T 7714-2015
复制
MLA
复制
APA
复制
导出至
BibTeX EndNote RefMan NoteFirst NoteExpress
×
提示
您的信息不完整,为了账户安全,请先补充。
现在去补充
×
提示
您因"违规操作"
具体请查看互助需知
我知道了
×
提示
确定
请完成安全验证×
copy
已复制链接
快去分享给好友吧!
我知道了
右上角分享
点击右上角分享
0
联系我们:info@booksci.cn Book学术提供免费学术资源搜索服务,方便国内外学者检索中英文文献。致力于提供最便捷和优质的服务体验。 Copyright © 2023 布克学术 All rights reserved.
京ICP备2023020795号-1
ghs 京公网安备 11010802042870号
Book学术文献互助
Book学术文献互助群
群 号:604180095
Book学术官方微信