成人脑损伤认知功能障碍的循证护理干预:一项准实验。

IF 4.3 3区 医学 Q1 PUBLIC, ENVIRONMENTAL & OCCUPATIONAL HEALTH
Yitian Gao, Wanqiong Zhou, Ying Wang, Lanshu Zhou
{"title":"成人脑损伤认知功能障碍的循证护理干预:一项准实验。","authors":"Yitian Gao, Wanqiong Zhou, Ying Wang, Lanshu Zhou","doi":"10.7189/jogh.15.04253","DOIUrl":null,"url":null,"abstract":"<p><strong>Background: </strong>While evidence-based interventions are increasingly used in cognitive care, their effectiveness for patients with brain injury remains not well established. Therefore, we aimed to compare the effects of an evidence-based nursing intervention programme vs. conventional nursing care in patients with cognitive dysfunction following brain injury.</p><p><strong>Methods: </strong>We enrolled brain injury patients from two neurosurgical wards (A and B) of a Shanghai rehabilitation hospital (July 2023-January 2024) in a non-randomised controlled trial. Ward A implemented the evidence-based cognitive intervention programme, while ward B maintained routine care. The segregated ward design prevented cross-contamination between groups. Outcomes were measured at baseline, immediately after a two-week intervention (T1), and at a four-week follow-up (T2). We analysed primary (i.e. the Mini-Mental State Examination (MMSE)) and secondary (i.e. activities of daily living (ADL) and cognitive knowledge scores) outcomes using generalised estimating equations (GEE) with terms for time, group, and their interaction. We set statistical significance at P < 0.05.</p><p><strong>Results: </strong>We enrolled 124 brain injury patients with cognitive dysfunction, with 117 completing the study (intervention n = 59; control n = 58; attrition = 5.6%). No significant differences were found between the groups at baseline. The GEE results showed significantly higher cognitive function improvements in the intervention group than the control group at both T1 (b = 1.71; 95% confidence interval (CI) = 0.76, 2.66; P < 0.001) and T2 (b = 2.71; 95% CI = 1.42, 4.00; P = 0.001). Results also showed a significantly greater increase in ADL (b = 4.93; 95% CI = 2.14, 7.72; P = 0.001) and caregivers' cognitive scores (b = 8.09; 95% CI = 2.78, 13.41; P = 0.003) at T1, with sustained increases at T2 in ADL (b = 5.46; 95% CI = 2.15, 8.77; P = 0.001) and caregivers' cognitive scores (b = 13.51; 95% CI = 6.76, 20.27; P < 0.001).</p><p><strong>Conclusions: </strong>The programme was effective in improving cognitive function and shows potential for clinical implementation and generalisation. A longer follow-up study is needed to evaluate its long-term effects on clinical outcomes.</p><p><strong>Registration: </strong>We prospectively registered this study with the Chinese Clinical Trial Registry (Registration ID: ChiCTR2300072283).</p>","PeriodicalId":48734,"journal":{"name":"Journal of Global Health","volume":"15 ","pages":"04253"},"PeriodicalIF":4.3000,"publicationDate":"2025-08-29","publicationTypes":"Journal Article","fieldsOfStudy":null,"isOpenAccess":false,"openAccessPdf":"https://www.ncbi.nlm.nih.gov/pmc/articles/PMC12395861/pdf/","citationCount":"0","resultStr":"{\"title\":\"Evidence-based nursing interventions in cognitive dysfunction among adults with brain injury: a quasi-experiment.\",\"authors\":\"Yitian Gao, Wanqiong Zhou, Ying Wang, Lanshu Zhou\",\"doi\":\"10.7189/jogh.15.04253\",\"DOIUrl\":null,\"url\":null,\"abstract\":\"<p><strong>Background: </strong>While evidence-based interventions are increasingly used in cognitive care, their effectiveness for patients with brain injury remains not well established. Therefore, we aimed to compare the effects of an evidence-based nursing intervention programme vs. conventional nursing care in patients with cognitive dysfunction following brain injury.</p><p><strong>Methods: </strong>We enrolled brain injury patients from two neurosurgical wards (A and B) of a Shanghai rehabilitation hospital (July 2023-January 2024) in a non-randomised controlled trial. Ward A implemented the evidence-based cognitive intervention programme, while ward B maintained routine care. The segregated ward design prevented cross-contamination between groups. Outcomes were measured at baseline, immediately after a two-week intervention (T1), and at a four-week follow-up (T2). We analysed primary (i.e. the Mini-Mental State Examination (MMSE)) and secondary (i.e. activities of daily living (ADL) and cognitive knowledge scores) outcomes using generalised estimating equations (GEE) with terms for time, group, and their interaction. We set statistical significance at P < 0.05.</p><p><strong>Results: </strong>We enrolled 124 brain injury patients with cognitive dysfunction, with 117 completing the study (intervention n = 59; control n = 58; attrition = 5.6%). No significant differences were found between the groups at baseline. The GEE results showed significantly higher cognitive function improvements in the intervention group than the control group at both T1 (b = 1.71; 95% confidence interval (CI) = 0.76, 2.66; P < 0.001) and T2 (b = 2.71; 95% CI = 1.42, 4.00; P = 0.001). Results also showed a significantly greater increase in ADL (b = 4.93; 95% CI = 2.14, 7.72; P = 0.001) and caregivers' cognitive scores (b = 8.09; 95% CI = 2.78, 13.41; P = 0.003) at T1, with sustained increases at T2 in ADL (b = 5.46; 95% CI = 2.15, 8.77; P = 0.001) and caregivers' cognitive scores (b = 13.51; 95% CI = 6.76, 20.27; P < 0.001).</p><p><strong>Conclusions: </strong>The programme was effective in improving cognitive function and shows potential for clinical implementation and generalisation. A longer follow-up study is needed to evaluate its long-term effects on clinical outcomes.</p><p><strong>Registration: </strong>We prospectively registered this study with the Chinese Clinical Trial Registry (Registration ID: ChiCTR2300072283).</p>\",\"PeriodicalId\":48734,\"journal\":{\"name\":\"Journal of Global Health\",\"volume\":\"15 \",\"pages\":\"04253\"},\"PeriodicalIF\":4.3000,\"publicationDate\":\"2025-08-29\",\"publicationTypes\":\"Journal Article\",\"fieldsOfStudy\":null,\"isOpenAccess\":false,\"openAccessPdf\":\"https://www.ncbi.nlm.nih.gov/pmc/articles/PMC12395861/pdf/\",\"citationCount\":\"0\",\"resultStr\":null,\"platform\":\"Semanticscholar\",\"paperid\":null,\"PeriodicalName\":\"Journal of Global Health\",\"FirstCategoryId\":\"3\",\"ListUrlMain\":\"https://doi.org/10.7189/jogh.15.04253\",\"RegionNum\":3,\"RegionCategory\":\"医学\",\"ArticlePicture\":[],\"TitleCN\":null,\"AbstractTextCN\":null,\"PMCID\":null,\"EPubDate\":\"\",\"PubModel\":\"\",\"JCR\":\"Q1\",\"JCRName\":\"PUBLIC, ENVIRONMENTAL & OCCUPATIONAL HEALTH\",\"Score\":null,\"Total\":0}","platform":"Semanticscholar","paperid":null,"PeriodicalName":"Journal of Global Health","FirstCategoryId":"3","ListUrlMain":"https://doi.org/10.7189/jogh.15.04253","RegionNum":3,"RegionCategory":"医学","ArticlePicture":[],"TitleCN":null,"AbstractTextCN":null,"PMCID":null,"EPubDate":"","PubModel":"","JCR":"Q1","JCRName":"PUBLIC, ENVIRONMENTAL & OCCUPATIONAL HEALTH","Score":null,"Total":0}
引用次数: 0

摘要

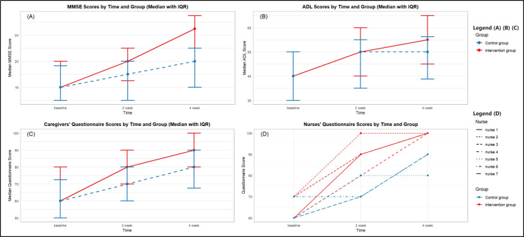
背景:虽然基于证据的干预措施越来越多地用于认知护理,但其对脑损伤患者的有效性仍未得到很好的证实。因此,我们的目的是比较循证护理干预方案与传统护理对脑损伤后认知功能障碍患者的影响。方法:选取上海某康复医院A、B两个神经外科病房(2023年7月- 2024年1月)的脑损伤患者进行非随机对照试验。A病区实施循证认知干预方案,B病区维持常规护理。隔离病房的设计防止了组间的交叉污染。在基线、两周干预后立即(T1)和四周随访(T2)测量结果。我们使用广义估计方程(GEE)分析了主要(即迷你精神状态检查(MMSE))和次要(即日常生活活动(ADL)和认知知识分数)结果,其中包括时间、群体及其相互作用。结果:纳入124例认知功能障碍脑损伤患者,117例完成研究(干预组59例,对照组58例,减员率5.6%)。在基线时各组间未发现显著差异。GEE结果显示,干预组在T1和T1下的认知功能改善均显著高于对照组(b = 1.71; 95%可信区间(CI) = 0.76, 2.66;结论:该方案在改善认知功能方面是有效的,具有临床实施和推广的潜力。需要更长的随访研究来评估其对临床结果的长期影响。注册:我们在中国临床试验注册中心(注册ID: ChiCTR2300072283)前瞻性地注册了这项研究。
本文章由计算机程序翻译,如有差异,请以英文原文为准。

Evidence-based nursing interventions in cognitive dysfunction among adults with brain injury: a quasi-experiment.

Evidence-based nursing interventions in cognitive dysfunction among adults with brain injury: a quasi-experiment.

Evidence-based nursing interventions in cognitive dysfunction among adults with brain injury: a quasi-experiment.

Evidence-based nursing interventions in cognitive dysfunction among adults with brain injury: a quasi-experiment.

Background: While evidence-based interventions are increasingly used in cognitive care, their effectiveness for patients with brain injury remains not well established. Therefore, we aimed to compare the effects of an evidence-based nursing intervention programme vs. conventional nursing care in patients with cognitive dysfunction following brain injury.

Methods: We enrolled brain injury patients from two neurosurgical wards (A and B) of a Shanghai rehabilitation hospital (July 2023-January 2024) in a non-randomised controlled trial. Ward A implemented the evidence-based cognitive intervention programme, while ward B maintained routine care. The segregated ward design prevented cross-contamination between groups. Outcomes were measured at baseline, immediately after a two-week intervention (T1), and at a four-week follow-up (T2). We analysed primary (i.e. the Mini-Mental State Examination (MMSE)) and secondary (i.e. activities of daily living (ADL) and cognitive knowledge scores) outcomes using generalised estimating equations (GEE) with terms for time, group, and their interaction. We set statistical significance at P < 0.05.

Results: We enrolled 124 brain injury patients with cognitive dysfunction, with 117 completing the study (intervention n = 59; control n = 58; attrition = 5.6%). No significant differences were found between the groups at baseline. The GEE results showed significantly higher cognitive function improvements in the intervention group than the control group at both T1 (b = 1.71; 95% confidence interval (CI) = 0.76, 2.66; P < 0.001) and T2 (b = 2.71; 95% CI = 1.42, 4.00; P = 0.001). Results also showed a significantly greater increase in ADL (b = 4.93; 95% CI = 2.14, 7.72; P = 0.001) and caregivers' cognitive scores (b = 8.09; 95% CI = 2.78, 13.41; P = 0.003) at T1, with sustained increases at T2 in ADL (b = 5.46; 95% CI = 2.15, 8.77; P = 0.001) and caregivers' cognitive scores (b = 13.51; 95% CI = 6.76, 20.27; P < 0.001).

Conclusions: The programme was effective in improving cognitive function and shows potential for clinical implementation and generalisation. A longer follow-up study is needed to evaluate its long-term effects on clinical outcomes.

Registration: We prospectively registered this study with the Chinese Clinical Trial Registry (Registration ID: ChiCTR2300072283).

求助全文
通过发布文献求助,成功后即可免费获取论文全文。 去求助
来源期刊
Journal of Global Health
Journal of Global Health PUBLIC, ENVIRONMENTAL & OCCUPATIONAL HEALTH -
CiteScore
6.10
自引率
2.80%
发文量
240
审稿时长
6 weeks
期刊介绍: Journal of Global Health is a peer-reviewed journal published by the Edinburgh University Global Health Society, a not-for-profit organization registered in the UK. We publish editorials, news, viewpoints, original research and review articles in two issues per year.
×
引用
GB/T 7714-2015
复制
MLA
复制
APA
复制
导出至
BibTeX EndNote RefMan NoteFirst NoteExpress
×
提示
您的信息不完整,为了账户安全,请先补充。
现在去补充
×
提示
您因"违规操作"
具体请查看互助需知
我知道了
×
提示
确定
请完成安全验证×
copy
已复制链接
快去分享给好友吧!
我知道了
右上角分享
点击右上角分享
0
联系我们:info@booksci.cn Book学术提供免费学术资源搜索服务,方便国内外学者检索中英文文献。致力于提供最便捷和优质的服务体验。 Copyright © 2023 布克学术 All rights reserved.
京ICP备2023020795号-1
ghs 京公网安备 11010802042870号
Book学术文献互助
Book学术文献互助群
群 号:604180095
Book学术官方微信