栓塞性脑梗死患者动脉粥样硬化斑块的深度学习自动定量分析。

IF 2.4 4区 医学 Q2 MEDICINE, GENERAL & INTERNAL
Korean Journal of Internal Medicine Pub Date : 2025-09-01 Epub Date: 2025-08-26 DOI:10.3904/kjim.2024.360
Hye Jin Bang, Jae-Hyeong Park, Sun Geu Chae, Suk Joo Bae, Ji-Hoon Jung, You Hee Cho, Jong Won Park, Dae-Won Kim, Jung Sun Cho
{"title":"栓塞性脑梗死患者动脉粥样硬化斑块的深度学习自动定量分析。","authors":"Hye Jin Bang, Jae-Hyeong Park, Sun Geu Chae, Suk Joo Bae, Ji-Hoon Jung, You Hee Cho, Jong Won Park, Dae-Won Kim, Jung Sun Cho","doi":"10.3904/kjim.2024.360","DOIUrl":null,"url":null,"abstract":"<p><strong>Background/aims: </strong>Transesophageal echocardiography (TEE) is a commonly used imaging modality for assessing embolic stroke of undetermined source (ESUS) in clinical practice. We aimed to develop an automatic plaque segmentation model based on U-net and evaluate its clinical usefulness in patients with ESUS.</p><p><strong>Methods: </strong>We used two aorta image sets. TEE aortic images of 711 patients visiting two cardiovascular centers for various causes were randomly divided into training, validation, and test sets to automatically segment plaques and estimate the aortic plaque area (APA) and aortic plaque ratio (APR) using U-net. The model was tested in a clinical data set of patients with ESUS who attended three cardiovascular centers to determine whether it could predict a composite cardiovascular event in those patients.</p><p><strong>Results: </strong>The mean intersection of over union to assess the accuracy of the U-net model was 0.997 ± 0.002 and 0.997 ± 0.001 for the model development and clinical application data sets, respectively. When using the U-net-based model, the APA and APR significantly differed between complex and simple aortic plaques (p < 0.001). However, unlike complex aortic plaques measured in clinical practice, APA or APR estimated by U-net models or manual segmentation did not show additional value in predicting major adverse cardiovascular and cerebrovascular events.</p><p><strong>Conclusion: </strong>The estimation of APA and APR by the U-net model could be helpful in predicting complex aortic plaques. Additional comprehensive quantitative image analysis of plaque characteristics using artificial intelligence, such as movability and morphology, may be needed to predict prognosis.</p>","PeriodicalId":48785,"journal":{"name":"Korean Journal of Internal Medicine","volume":" ","pages":"767-779"},"PeriodicalIF":2.4000,"publicationDate":"2025-09-01","publicationTypes":"Journal Article","fieldsOfStudy":null,"isOpenAccess":false,"openAccessPdf":"https://www.ncbi.nlm.nih.gov/pmc/articles/PMC12425677/pdf/","citationCount":"0","resultStr":"{\"title\":\"Automatic quantitative analysis of atherosclerotic aortic plaques in patients with embolic cerebral infarction using deep learning.\",\"authors\":\"Hye Jin Bang, Jae-Hyeong Park, Sun Geu Chae, Suk Joo Bae, Ji-Hoon Jung, You Hee Cho, Jong Won Park, Dae-Won Kim, Jung Sun Cho\",\"doi\":\"10.3904/kjim.2024.360\",\"DOIUrl\":null,\"url\":null,\"abstract\":\"<p><strong>Background/aims: </strong>Transesophageal echocardiography (TEE) is a commonly used imaging modality for assessing embolic stroke of undetermined source (ESUS) in clinical practice. We aimed to develop an automatic plaque segmentation model based on U-net and evaluate its clinical usefulness in patients with ESUS.</p><p><strong>Methods: </strong>We used two aorta image sets. TEE aortic images of 711 patients visiting two cardiovascular centers for various causes were randomly divided into training, validation, and test sets to automatically segment plaques and estimate the aortic plaque area (APA) and aortic plaque ratio (APR) using U-net. The model was tested in a clinical data set of patients with ESUS who attended three cardiovascular centers to determine whether it could predict a composite cardiovascular event in those patients.</p><p><strong>Results: </strong>The mean intersection of over union to assess the accuracy of the U-net model was 0.997 ± 0.002 and 0.997 ± 0.001 for the model development and clinical application data sets, respectively. When using the U-net-based model, the APA and APR significantly differed between complex and simple aortic plaques (p < 0.001). However, unlike complex aortic plaques measured in clinical practice, APA or APR estimated by U-net models or manual segmentation did not show additional value in predicting major adverse cardiovascular and cerebrovascular events.</p><p><strong>Conclusion: </strong>The estimation of APA and APR by the U-net model could be helpful in predicting complex aortic plaques. Additional comprehensive quantitative image analysis of plaque characteristics using artificial intelligence, such as movability and morphology, may be needed to predict prognosis.</p>\",\"PeriodicalId\":48785,\"journal\":{\"name\":\"Korean Journal of Internal Medicine\",\"volume\":\" \",\"pages\":\"767-779\"},\"PeriodicalIF\":2.4000,\"publicationDate\":\"2025-09-01\",\"publicationTypes\":\"Journal Article\",\"fieldsOfStudy\":null,\"isOpenAccess\":false,\"openAccessPdf\":\"https://www.ncbi.nlm.nih.gov/pmc/articles/PMC12425677/pdf/\",\"citationCount\":\"0\",\"resultStr\":null,\"platform\":\"Semanticscholar\",\"paperid\":null,\"PeriodicalName\":\"Korean Journal of Internal Medicine\",\"FirstCategoryId\":\"3\",\"ListUrlMain\":\"https://doi.org/10.3904/kjim.2024.360\",\"RegionNum\":4,\"RegionCategory\":\"医学\",\"ArticlePicture\":[],\"TitleCN\":null,\"AbstractTextCN\":null,\"PMCID\":null,\"EPubDate\":\"2025/8/26 0:00:00\",\"PubModel\":\"Epub\",\"JCR\":\"Q2\",\"JCRName\":\"MEDICINE, GENERAL & INTERNAL\",\"Score\":null,\"Total\":0}","platform":"Semanticscholar","paperid":null,"PeriodicalName":"Korean Journal of Internal Medicine","FirstCategoryId":"3","ListUrlMain":"https://doi.org/10.3904/kjim.2024.360","RegionNum":4,"RegionCategory":"医学","ArticlePicture":[],"TitleCN":null,"AbstractTextCN":null,"PMCID":null,"EPubDate":"2025/8/26 0:00:00","PubModel":"Epub","JCR":"Q2","JCRName":"MEDICINE, GENERAL & INTERNAL","Score":null,"Total":0}
引用次数: 0

摘要

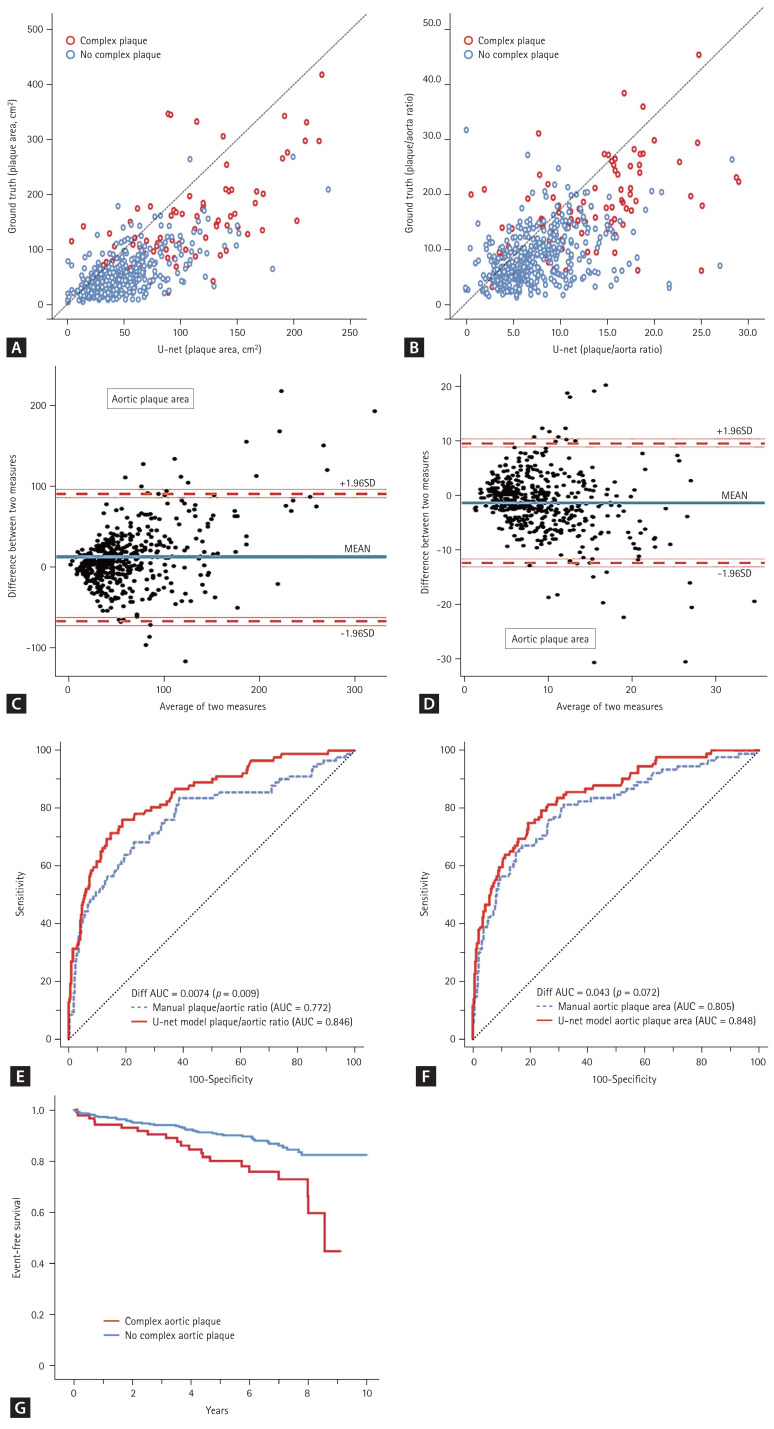
背景/目的:经食管超声心动图(TEE)是临床上评估不明来源栓塞性卒中(ESUS)的常用成像方式。我们旨在开发一种基于U-net的自动斑块分割模型,并评估其在ESUS患者中的临床应用价值。方法:采用两组主动脉图像。将711例因不同原因就诊于两个心血管中心的TEE主动脉图像随机分为训练集、验证集和测试集,使用U-net自动分割斑块并估计主动脉斑块面积(APA)和主动脉斑块比率(APR)。该模型在三个心血管中心就诊的ESUS患者的临床数据集中进行了测试,以确定该模型是否可以预测这些患者的复合心血管事件。结果:在模型开发和临床应用数据集上,评估U-net模型准确性的over union的平均交点分别为0.997±0.002和0.997±0.001。当使用基于u -net的模型时,复杂斑块和简单斑块的APA和APR差异显著(p < 0.001)。然而,与临床实践中测量的复杂主动脉斑块不同,通过U-net模型或人工分割估计的APA或APR在预测主要不良心脑血管事件方面没有显示出额外的价值。结论:应用U-net模型估计APA和APR有助于预测复杂主动脉斑块。可能需要使用人工智能对斑块特征进行更全面的定量图像分析,如移动性和形态学,以预测预后。
本文章由计算机程序翻译,如有差异,请以英文原文为准。

Automatic quantitative analysis of atherosclerotic aortic plaques in patients with embolic cerebral infarction using deep learning.

Automatic quantitative analysis of atherosclerotic aortic plaques in patients with embolic cerebral infarction using deep learning.

Automatic quantitative analysis of atherosclerotic aortic plaques in patients with embolic cerebral infarction using deep learning.

Automatic quantitative analysis of atherosclerotic aortic plaques in patients with embolic cerebral infarction using deep learning.

Background/aims: Transesophageal echocardiography (TEE) is a commonly used imaging modality for assessing embolic stroke of undetermined source (ESUS) in clinical practice. We aimed to develop an automatic plaque segmentation model based on U-net and evaluate its clinical usefulness in patients with ESUS.

Methods: We used two aorta image sets. TEE aortic images of 711 patients visiting two cardiovascular centers for various causes were randomly divided into training, validation, and test sets to automatically segment plaques and estimate the aortic plaque area (APA) and aortic plaque ratio (APR) using U-net. The model was tested in a clinical data set of patients with ESUS who attended three cardiovascular centers to determine whether it could predict a composite cardiovascular event in those patients.

Results: The mean intersection of over union to assess the accuracy of the U-net model was 0.997 ± 0.002 and 0.997 ± 0.001 for the model development and clinical application data sets, respectively. When using the U-net-based model, the APA and APR significantly differed between complex and simple aortic plaques (p < 0.001). However, unlike complex aortic plaques measured in clinical practice, APA or APR estimated by U-net models or manual segmentation did not show additional value in predicting major adverse cardiovascular and cerebrovascular events.

Conclusion: The estimation of APA and APR by the U-net model could be helpful in predicting complex aortic plaques. Additional comprehensive quantitative image analysis of plaque characteristics using artificial intelligence, such as movability and morphology, may be needed to predict prognosis.

求助全文
通过发布文献求助,成功后即可免费获取论文全文。 去求助
来源期刊
Korean Journal of Internal Medicine
Korean Journal of Internal Medicine MEDICINE, GENERAL & INTERNAL-
CiteScore
5.10
自引率
4.20%
发文量
129
审稿时长
20 weeks
期刊介绍: The Korean Journal of Internal Medicine is an international medical journal published in English by the Korean Association of Internal Medicine. The Journal publishes peer-reviewed original articles, reviews, and editorials on all aspects of medicine, including clinical investigations and basic research. Both human and experimental animal studies are welcome, as are new findings on the epidemiology, pathogenesis, diagnosis, and treatment of diseases. Case reports will be published only in exceptional circumstances, when they illustrate a rare occurrence of clinical importance. Letters to the editor are encouraged for specific comments on published articles and general viewpoints.
×
引用
GB/T 7714-2015
复制
MLA
复制
APA
复制
导出至
BibTeX EndNote RefMan NoteFirst NoteExpress
×
提示
您的信息不完整,为了账户安全,请先补充。
现在去补充
×
提示
您因"违规操作"
具体请查看互助需知
我知道了
×
提示
确定
请完成安全验证×
copy
已复制链接
快去分享给好友吧!
我知道了
右上角分享
点击右上角分享
0
联系我们:info@booksci.cn Book学术提供免费学术资源搜索服务,方便国内外学者检索中英文文献。致力于提供最便捷和优质的服务体验。 Copyright © 2023 布克学术 All rights reserved.
京ICP备2023020795号-1
ghs 京公网安备 11010802042870号
Book学术文献互助
Book学术文献互助群
群 号:604180095
Book学术官方微信