电子商务与全球饮食健康:64个国家粮食供应和进口途径的纵向分析(2008-2022年)。

IF 4.3 3区 医学 Q1 PUBLIC, ENVIRONMENTAL & OCCUPATIONAL HEALTH
Shiwen Quan, Huiyun Zhang
{"title":"电子商务与全球饮食健康:64个国家粮食供应和进口途径的纵向分析(2008-2022年)。","authors":"Shiwen Quan, Huiyun Zhang","doi":"10.7189/jogh.15.04287","DOIUrl":null,"url":null,"abstract":"<p><strong>Background: </strong>Improving dietary health has become a key objective in public health policies worldwide. Concurrently, rapid technological advancements have profoundly altered food acquisition methods, with the widespread adoption of the internet shifting food commerce from offline to online platforms. This study aims to empirically examine the impact of e-commerce on residents' dietary health.</p><p><strong>Methods: </strong>Utilising unbalanced panel data from 64 countries between 2008 and 2022, this study employs a two-way fixed-effects model to empirically analyse the effects of e-commerce on dietary health. Mediation analysis is conducted to examine the underlying mechanisms, specifically food availability and food imports. Heterogeneity analysis is conducted to investigate the heterogeneity of these effects with different economic development levels.</p><p><strong>Results: </strong>E-commerce positively promotes dietary health among residents. Regarding specific dimensions of dietary health, the promotion effects of e-commerce on the Healthy Food Diet Index (HFD) and the Balanced Index of Food Consumption Structure (f_coi) are stronger than on the Balanced Index of Nutritional Structure (n_coi). Mechanism tests indicate that food availability acts as a partial mediating factor in the relationship between e-commerce and dietary health, while food imports mediate the relationship between e-commerce and two dietary health dimensions (HFD and f_coi) with indirect effect of 5.0% and 7.3% respectively. Heterogeneity analysis reveals that the positive impact of e-commerce on HFD and f_coi weakens progressively with rising levels of economic development.</p><p><strong>Conclusions: </strong>It is recommended that efforts should be made to strengthen supporting infrastructure such as cold chain logistics to effectively promote the positive impact of e-commerce on dietary health, especially in low-income countries. Concurrently, vigilant monitoring is required to mitigate the exacerbating effects of food imports on dietary health. The higher marginal benefit of e-commerce development on dietary health in low-income countries effectively narrows the dietary health gap with developed nations, thereby advancing global health equity.</p>","PeriodicalId":48734,"journal":{"name":"Journal of Global Health","volume":"15 ","pages":"04287"},"PeriodicalIF":4.3000,"publicationDate":"2025-08-29","publicationTypes":"Journal Article","fieldsOfStudy":null,"isOpenAccess":false,"openAccessPdf":"https://www.ncbi.nlm.nih.gov/pmc/articles/PMC12396156/pdf/","citationCount":"0","resultStr":"{\"title\":\"E-Commerce and global dietary health: a longitudinal analysis of food availability and imports pathways across 64 countries (2008-2022).\",\"authors\":\"Shiwen Quan, Huiyun Zhang\",\"doi\":\"10.7189/jogh.15.04287\",\"DOIUrl\":null,\"url\":null,\"abstract\":\"<p><strong>Background: </strong>Improving dietary health has become a key objective in public health policies worldwide. Concurrently, rapid technological advancements have profoundly altered food acquisition methods, with the widespread adoption of the internet shifting food commerce from offline to online platforms. This study aims to empirically examine the impact of e-commerce on residents' dietary health.</p><p><strong>Methods: </strong>Utilising unbalanced panel data from 64 countries between 2008 and 2022, this study employs a two-way fixed-effects model to empirically analyse the effects of e-commerce on dietary health. Mediation analysis is conducted to examine the underlying mechanisms, specifically food availability and food imports. Heterogeneity analysis is conducted to investigate the heterogeneity of these effects with different economic development levels.</p><p><strong>Results: </strong>E-commerce positively promotes dietary health among residents. Regarding specific dimensions of dietary health, the promotion effects of e-commerce on the Healthy Food Diet Index (HFD) and the Balanced Index of Food Consumption Structure (f_coi) are stronger than on the Balanced Index of Nutritional Structure (n_coi). Mechanism tests indicate that food availability acts as a partial mediating factor in the relationship between e-commerce and dietary health, while food imports mediate the relationship between e-commerce and two dietary health dimensions (HFD and f_coi) with indirect effect of 5.0% and 7.3% respectively. Heterogeneity analysis reveals that the positive impact of e-commerce on HFD and f_coi weakens progressively with rising levels of economic development.</p><p><strong>Conclusions: </strong>It is recommended that efforts should be made to strengthen supporting infrastructure such as cold chain logistics to effectively promote the positive impact of e-commerce on dietary health, especially in low-income countries. Concurrently, vigilant monitoring is required to mitigate the exacerbating effects of food imports on dietary health. The higher marginal benefit of e-commerce development on dietary health in low-income countries effectively narrows the dietary health gap with developed nations, thereby advancing global health equity.</p>\",\"PeriodicalId\":48734,\"journal\":{\"name\":\"Journal of Global Health\",\"volume\":\"15 \",\"pages\":\"04287\"},\"PeriodicalIF\":4.3000,\"publicationDate\":\"2025-08-29\",\"publicationTypes\":\"Journal Article\",\"fieldsOfStudy\":null,\"isOpenAccess\":false,\"openAccessPdf\":\"https://www.ncbi.nlm.nih.gov/pmc/articles/PMC12396156/pdf/\",\"citationCount\":\"0\",\"resultStr\":null,\"platform\":\"Semanticscholar\",\"paperid\":null,\"PeriodicalName\":\"Journal of Global Health\",\"FirstCategoryId\":\"3\",\"ListUrlMain\":\"https://doi.org/10.7189/jogh.15.04287\",\"RegionNum\":3,\"RegionCategory\":\"医学\",\"ArticlePicture\":[],\"TitleCN\":null,\"AbstractTextCN\":null,\"PMCID\":null,\"EPubDate\":\"\",\"PubModel\":\"\",\"JCR\":\"Q1\",\"JCRName\":\"PUBLIC, ENVIRONMENTAL & OCCUPATIONAL HEALTH\",\"Score\":null,\"Total\":0}","platform":"Semanticscholar","paperid":null,"PeriodicalName":"Journal of Global Health","FirstCategoryId":"3","ListUrlMain":"https://doi.org/10.7189/jogh.15.04287","RegionNum":3,"RegionCategory":"医学","ArticlePicture":[],"TitleCN":null,"AbstractTextCN":null,"PMCID":null,"EPubDate":"","PubModel":"","JCR":"Q1","JCRName":"PUBLIC, ENVIRONMENTAL & OCCUPATIONAL HEALTH","Score":null,"Total":0}
引用次数: 0

摘要

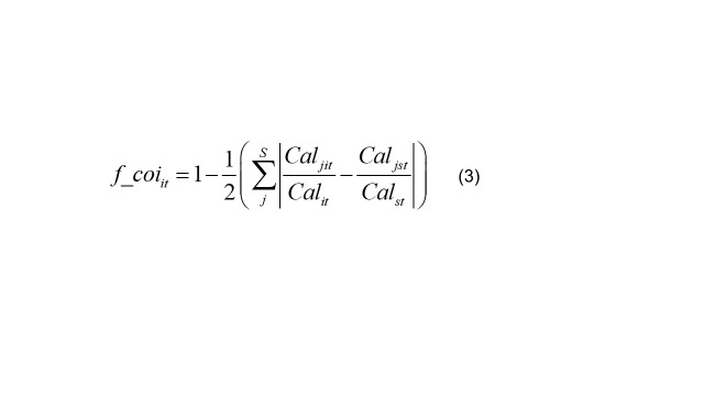
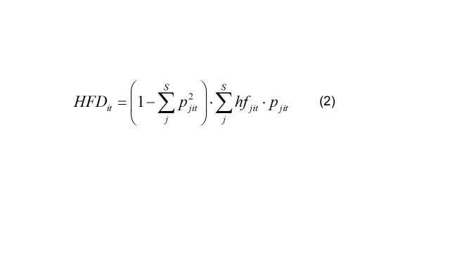
背景:改善饮食健康已成为全球公共卫生政策的一个关键目标。与此同时,快速的技术进步深刻地改变了食品获取方式,互联网的广泛采用将食品商业从线下转移到线上平台。本研究旨在实证检验电子商务对居民饮食健康的影响。方法:利用2008 - 2022年64个国家的非平衡面板数据,采用双向固定效应模型,实证分析电子商务对饮食健康的影响。进行中介分析,以检查潜在的机制,特别是粮食供应和粮食进口。通过异质性分析,考察这些效应在不同经济发展水平下的异质性。结果:电子商务对居民饮食健康有积极的促进作用。在饮食健康的具体维度上,电商对健康食品饮食指数(HFD)和食品消费结构均衡指数(f_coi)的促进作用强于对营养结构均衡指数(n_coi)的促进作用。机制检验表明,食品可获得性在电子商务与饮食健康的关系中起部分中介作用,而食品进口在电子商务与饮食健康两个维度(HFD和f_coi)的关系中起中介作用,间接效应分别为5.0%和7.3%。异质性分析表明,随着经济发展水平的提高,电子商务对HFD和f_coi的正向影响逐渐减弱。结论:建议加强冷链物流等配套基础设施建设,有效促进电子商务对饮食健康的积极影响,尤其是在低收入国家。同时,需要进行警惕监测,以减轻食品进口对饮食健康的恶化影响。电子商务发展对低收入国家饮食健康的较高边际效益,有效缩小了与发达国家的饮食健康差距,促进了全球健康公平。
本文章由计算机程序翻译,如有差异,请以英文原文为准。

E-Commerce and global dietary health: a longitudinal analysis of food availability and imports pathways across 64 countries (2008-2022).

E-Commerce and global dietary health: a longitudinal analysis of food availability and imports pathways across 64 countries (2008-2022).

E-Commerce and global dietary health: a longitudinal analysis of food availability and imports pathways across 64 countries (2008-2022).

E-Commerce and global dietary health: a longitudinal analysis of food availability and imports pathways across 64 countries (2008-2022).

Background: Improving dietary health has become a key objective in public health policies worldwide. Concurrently, rapid technological advancements have profoundly altered food acquisition methods, with the widespread adoption of the internet shifting food commerce from offline to online platforms. This study aims to empirically examine the impact of e-commerce on residents' dietary health.

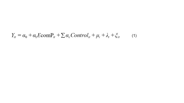
Methods: Utilising unbalanced panel data from 64 countries between 2008 and 2022, this study employs a two-way fixed-effects model to empirically analyse the effects of e-commerce on dietary health. Mediation analysis is conducted to examine the underlying mechanisms, specifically food availability and food imports. Heterogeneity analysis is conducted to investigate the heterogeneity of these effects with different economic development levels.

Results: E-commerce positively promotes dietary health among residents. Regarding specific dimensions of dietary health, the promotion effects of e-commerce on the Healthy Food Diet Index (HFD) and the Balanced Index of Food Consumption Structure (f_coi) are stronger than on the Balanced Index of Nutritional Structure (n_coi). Mechanism tests indicate that food availability acts as a partial mediating factor in the relationship between e-commerce and dietary health, while food imports mediate the relationship between e-commerce and two dietary health dimensions (HFD and f_coi) with indirect effect of 5.0% and 7.3% respectively. Heterogeneity analysis reveals that the positive impact of e-commerce on HFD and f_coi weakens progressively with rising levels of economic development.

Conclusions: It is recommended that efforts should be made to strengthen supporting infrastructure such as cold chain logistics to effectively promote the positive impact of e-commerce on dietary health, especially in low-income countries. Concurrently, vigilant monitoring is required to mitigate the exacerbating effects of food imports on dietary health. The higher marginal benefit of e-commerce development on dietary health in low-income countries effectively narrows the dietary health gap with developed nations, thereby advancing global health equity.

求助全文
通过发布文献求助,成功后即可免费获取论文全文。 去求助
来源期刊
Journal of Global Health
Journal of Global Health PUBLIC, ENVIRONMENTAL & OCCUPATIONAL HEALTH -
CiteScore
6.10
自引率
2.80%
发文量
240
审稿时长
6 weeks
期刊介绍: Journal of Global Health is a peer-reviewed journal published by the Edinburgh University Global Health Society, a not-for-profit organization registered in the UK. We publish editorials, news, viewpoints, original research and review articles in two issues per year.
×
引用
GB/T 7714-2015
复制
MLA
复制
APA
复制
导出至
BibTeX EndNote RefMan NoteFirst NoteExpress
×
提示
您的信息不完整,为了账户安全,请先补充。
现在去补充
×
提示
您因"违规操作"
具体请查看互助需知
我知道了
×
提示
确定
请完成安全验证×
copy
已复制链接
快去分享给好友吧!
我知道了
右上角分享
点击右上角分享
0
联系我们:info@booksci.cn Book学术提供免费学术资源搜索服务,方便国内外学者检索中英文文献。致力于提供最便捷和优质的服务体验。 Copyright © 2023 布克学术 All rights reserved.
京ICP备2023020795号-1
ghs 京公网安备 11010802042870号
Book学术文献互助
Book学术文献互助群
群 号:604180095
Book学术官方微信