2019冠状病毒病对儿科专科住院患者进食障碍入院频率和严重程度的影响

IF 4.5 3区 医学 Q2 NUTRITION & DIETETICS
Shamilka Seneviratne, Michelle Polich, Maya M Kumar, Tamara Maginot, Kyung E Rhee
{"title":"2019冠状病毒病对儿科专科住院患者进食障碍入院频率和严重程度的影响","authors":"Shamilka Seneviratne, Michelle Polich, Maya M Kumar, Tamara Maginot, Kyung E Rhee","doi":"10.1186/s40337-025-01385-w","DOIUrl":null,"url":null,"abstract":"<p><strong>Background: </strong>During the COVID-19 pandemic, youth experienced disruptions in their social development due to social distancing mandates. Research evaluating effects of isolation on adolescent mental health and eating disorders demonstrated increased ED visits during COVID. The goal of this study was to examine the effect of the COVID-19 pandemic on the number of eating disorder admissions at a large pediatric inpatient eating disorder unit and on illness severity.</p><p><strong>Methods: </strong>We conducted a retrospective chart review of patients admitted to a pediatric inpatient eating disorder unit from January 2019 through December 2021. Differences in number of admissions and patient characteristics were compared before and after the start of the COVID-19 stay-at-home mandate (i.e., \"outbreak\"). Interrupted time series analysis compared monthly admission trends pre- and post-outbreak. Logistic and linear regression models were created to evaluate differences in severity.</p><p><strong>Results: </strong>There were 143 patients admitted pre-outbreak and 314 patients admitted post-outbreak (84% female, 26.3% publicly insured, median age 15 years). There was a significant increase in the mean number of admissions per month post-outbreak (10.21, [SD 3.36] vs. 14.27 [SD 3.31], p < 0.01). Trends in admissions per month were stable prior to the COVID-19 outbreak (β<sub>1</sub> = -0.38, p = 0.07) and increased after the start of the outbreak (β<sub>3</sub> = 0.63, p < 0.01). Patients pre-outbreak had lower mean systolic blood pressures than post-outbreak (β = -1.90 [SE 0.82], p = 0.02). The odds of hypophosphatemia were lower post-outbreak (OR 0.42 [95% CI 0.21-0.81]).</p><p><strong>Conclusions: </strong>Clinical characteristics on admission were less severe post-outbreak. Closures of outpatient treatment programs may have led to lower acuity patients being hospitalized. Preserving access to robust outpatient eating disorder treatment may prevent this phenomenon during future public health crises.</p>","PeriodicalId":48605,"journal":{"name":"Journal of Eating Disorders","volume":"13 1","pages":"194"},"PeriodicalIF":4.5000,"publicationDate":"2025-08-29","publicationTypes":"Journal Article","fieldsOfStudy":null,"isOpenAccess":false,"openAccessPdf":"https://www.ncbi.nlm.nih.gov/pmc/articles/PMC12395816/pdf/","citationCount":"0","resultStr":"{\"title\":\"Effect of COVID-19 on frequency and severity of eating disorder admissions in a specialized pediatric inpatient unit.\",\"authors\":\"Shamilka Seneviratne, Michelle Polich, Maya M Kumar, Tamara Maginot, Kyung E Rhee\",\"doi\":\"10.1186/s40337-025-01385-w\",\"DOIUrl\":null,\"url\":null,\"abstract\":\"<p><strong>Background: </strong>During the COVID-19 pandemic, youth experienced disruptions in their social development due to social distancing mandates. Research evaluating effects of isolation on adolescent mental health and eating disorders demonstrated increased ED visits during COVID. The goal of this study was to examine the effect of the COVID-19 pandemic on the number of eating disorder admissions at a large pediatric inpatient eating disorder unit and on illness severity.</p><p><strong>Methods: </strong>We conducted a retrospective chart review of patients admitted to a pediatric inpatient eating disorder unit from January 2019 through December 2021. Differences in number of admissions and patient characteristics were compared before and after the start of the COVID-19 stay-at-home mandate (i.e., \\\"outbreak\\\"). Interrupted time series analysis compared monthly admission trends pre- and post-outbreak. Logistic and linear regression models were created to evaluate differences in severity.</p><p><strong>Results: </strong>There were 143 patients admitted pre-outbreak and 314 patients admitted post-outbreak (84% female, 26.3% publicly insured, median age 15 years). There was a significant increase in the mean number of admissions per month post-outbreak (10.21, [SD 3.36] vs. 14.27 [SD 3.31], p < 0.01). Trends in admissions per month were stable prior to the COVID-19 outbreak (β<sub>1</sub> = -0.38, p = 0.07) and increased after the start of the outbreak (β<sub>3</sub> = 0.63, p < 0.01). Patients pre-outbreak had lower mean systolic blood pressures than post-outbreak (β = -1.90 [SE 0.82], p = 0.02). The odds of hypophosphatemia were lower post-outbreak (OR 0.42 [95% CI 0.21-0.81]).</p><p><strong>Conclusions: </strong>Clinical characteristics on admission were less severe post-outbreak. Closures of outpatient treatment programs may have led to lower acuity patients being hospitalized. Preserving access to robust outpatient eating disorder treatment may prevent this phenomenon during future public health crises.</p>\",\"PeriodicalId\":48605,\"journal\":{\"name\":\"Journal of Eating Disorders\",\"volume\":\"13 1\",\"pages\":\"194\"},\"PeriodicalIF\":4.5000,\"publicationDate\":\"2025-08-29\",\"publicationTypes\":\"Journal Article\",\"fieldsOfStudy\":null,\"isOpenAccess\":false,\"openAccessPdf\":\"https://www.ncbi.nlm.nih.gov/pmc/articles/PMC12395816/pdf/\",\"citationCount\":\"0\",\"resultStr\":null,\"platform\":\"Semanticscholar\",\"paperid\":null,\"PeriodicalName\":\"Journal of Eating Disorders\",\"FirstCategoryId\":\"3\",\"ListUrlMain\":\"https://doi.org/10.1186/s40337-025-01385-w\",\"RegionNum\":3,\"RegionCategory\":\"医学\",\"ArticlePicture\":[],\"TitleCN\":null,\"AbstractTextCN\":null,\"PMCID\":null,\"EPubDate\":\"\",\"PubModel\":\"\",\"JCR\":\"Q2\",\"JCRName\":\"NUTRITION & DIETETICS\",\"Score\":null,\"Total\":0}","platform":"Semanticscholar","paperid":null,"PeriodicalName":"Journal of Eating Disorders","FirstCategoryId":"3","ListUrlMain":"https://doi.org/10.1186/s40337-025-01385-w","RegionNum":3,"RegionCategory":"医学","ArticlePicture":[],"TitleCN":null,"AbstractTextCN":null,"PMCID":null,"EPubDate":"","PubModel":"","JCR":"Q2","JCRName":"NUTRITION & DIETETICS","Score":null,"Total":0}
引用次数: 0

摘要

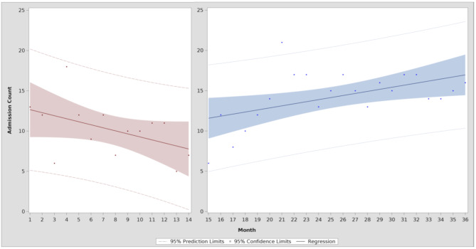
背景:在2019冠状病毒病大流行期间,由于要求保持社交距离,青年的社会发展受到干扰。评估隔离对青少年心理健康和饮食失调影响的研究表明,在COVID期间,急诊科就诊人数增加。本研究的目的是研究COVID-19大流行对一家大型儿科住院饮食失调病房饮食失调入院人数和疾病严重程度的影响。方法:我们对2019年1月至2021年12月儿科住院饮食失调病房收治的患者进行了回顾性图表回顾。比较了COVID-19居家命令(即“爆发”)开始前后入院人数和患者特征的差异。中断时间序列分析比较了疫情前后的每月入院趋势。建立了Logistic和线性回归模型来评估严重程度的差异。结果:疫情前入院143例,疫情后入院314例,其中女性占84%,参保26.3%,中位年龄15岁。爆发后每月平均入院人数显著增加(10.21例,[SD 3.36] vs. 14.27例[SD 3.31], p 1 = -0.38, p = 0.07),爆发后入院人数增加(β3 = 0.63, p)结论:爆发后入院时临床特征较轻。门诊治疗项目的关闭可能导致低视力患者住院。在未来的公共卫生危机中,保持获得强有力的门诊饮食失调治疗可能会防止这种现象。
本文章由计算机程序翻译,如有差异,请以英文原文为准。

Effect of COVID-19 on frequency and severity of eating disorder admissions in a specialized pediatric inpatient unit.

Effect of COVID-19 on frequency and severity of eating disorder admissions in a specialized pediatric inpatient unit.

Background: During the COVID-19 pandemic, youth experienced disruptions in their social development due to social distancing mandates. Research evaluating effects of isolation on adolescent mental health and eating disorders demonstrated increased ED visits during COVID. The goal of this study was to examine the effect of the COVID-19 pandemic on the number of eating disorder admissions at a large pediatric inpatient eating disorder unit and on illness severity.

Methods: We conducted a retrospective chart review of patients admitted to a pediatric inpatient eating disorder unit from January 2019 through December 2021. Differences in number of admissions and patient characteristics were compared before and after the start of the COVID-19 stay-at-home mandate (i.e., "outbreak"). Interrupted time series analysis compared monthly admission trends pre- and post-outbreak. Logistic and linear regression models were created to evaluate differences in severity.

Results: There were 143 patients admitted pre-outbreak and 314 patients admitted post-outbreak (84% female, 26.3% publicly insured, median age 15 years). There was a significant increase in the mean number of admissions per month post-outbreak (10.21, [SD 3.36] vs. 14.27 [SD 3.31], p < 0.01). Trends in admissions per month were stable prior to the COVID-19 outbreak (β1 = -0.38, p = 0.07) and increased after the start of the outbreak (β3 = 0.63, p < 0.01). Patients pre-outbreak had lower mean systolic blood pressures than post-outbreak (β = -1.90 [SE 0.82], p = 0.02). The odds of hypophosphatemia were lower post-outbreak (OR 0.42 [95% CI 0.21-0.81]).

Conclusions: Clinical characteristics on admission were less severe post-outbreak. Closures of outpatient treatment programs may have led to lower acuity patients being hospitalized. Preserving access to robust outpatient eating disorder treatment may prevent this phenomenon during future public health crises.

求助全文
通过发布文献求助,成功后即可免费获取论文全文。 去求助
来源期刊
Journal of Eating Disorders
Journal of Eating Disorders Neuroscience-Behavioral Neuroscience
CiteScore
5.30
自引率
17.10%
发文量
161
审稿时长
16 weeks
期刊介绍: Journal of Eating Disorders is the first open access, peer-reviewed journal publishing leading research in the science and clinical practice of eating disorders. It disseminates research that provides answers to the important issues and key challenges in the field of eating disorders and to facilitate translation of evidence into practice. The journal publishes research on all aspects of eating disorders namely their epidemiology, nature, determinants, neurobiology, prevention, treatment and outcomes. The scope includes, but is not limited to anorexia nervosa, bulimia nervosa, binge eating disorder and other eating disorders. Related areas such as important co-morbidities, obesity, body image, appetite, food and eating are also included. Articles about research methodology and assessment are welcomed where they advance the field of eating disorders.
×
引用
GB/T 7714-2015
复制
MLA
复制
APA
复制
导出至
BibTeX EndNote RefMan NoteFirst NoteExpress
×
提示
您的信息不完整,为了账户安全,请先补充。
现在去补充
×
提示
您因"违规操作"
具体请查看互助需知
我知道了
×
提示
确定
请完成安全验证×
copy
已复制链接
快去分享给好友吧!
我知道了
右上角分享
点击右上角分享
0
联系我们:info@booksci.cn Book学术提供免费学术资源搜索服务,方便国内外学者检索中英文文献。致力于提供最便捷和优质的服务体验。 Copyright © 2023 布克学术 All rights reserved.
京ICP备2023020795号-1
ghs 京公网安备 11010802042870号
Book学术文献互助
Book学术文献互助群
群 号:604180095
Book学术官方微信