新型适配体-抗体夹心化学发光生物传感器的研制及其在黄曲霉毒素B1检测中的应用。

IF 5.6 3区 工程技术 Q1 CHEMISTRY, ANALYTICAL
Zhike Zhao, Jianghao Feng, Caizhang Wu
{"title":"新型适配体-抗体夹心化学发光生物传感器的研制及其在黄曲霉毒素B1检测中的应用。","authors":"Zhike Zhao, Jianghao Feng, Caizhang Wu","doi":"10.3390/bios15080538","DOIUrl":null,"url":null,"abstract":"<p><p>In addressing the challenges posed by high costs, low accuracy, and cumbersome operations in mycotoxin detection, a novel aptamer-antibody sandwich chemiluminescent biosensor for detecting aflatoxin B<sub>1</sub> (AFB<sub>1</sub>) was developed. The indirect competition between AFB<sub>1</sub>, aflatoxin B<sub>1</sub>-ovomucoid complete antigen (AFB<sub>1</sub>-OVA), and rabbit anti-ovomucoid (OVA) antibody results in the formation of a sandwich complex. This sandwich assay is linked to a horseradish peroxidase-labeled antibody, which catalyzes luminol chemiluminescence for the indirect detection of AFB<sub>1</sub>. The biosensor was designed to operate with high precision, low cost, and a low detection limit for AFB<sub>1</sub>, which is contingent upon experimental conditions such as pH, reagent concentration, temperature, and incubation time. The optimization of pH, aptamer concentration, competitive incubation time, competitive incubation temperature, and HRP-labeled antibody concentration was instrumental in achieving these objectives. Experimental findings demonstrated that the sensor's detection limit was 0.067 ng/mL, exhibiting excellent linearity (R<sup>2</sup> = 0.99679) within the concentration range of 0.25-10 ng/mL. The recovery rate of spiked samples ranged from 94.4% to 108.05%. This sensor boasts a low detection limit, straightforward operation, and minimal cost, thus offering a novel solution for developing cost-effective, high-precision mycotoxin detection methods.</p>","PeriodicalId":48608,"journal":{"name":"Biosensors-Basel","volume":"15 8","pages":""},"PeriodicalIF":5.6000,"publicationDate":"2025-08-15","publicationTypes":"Journal Article","fieldsOfStudy":null,"isOpenAccess":false,"openAccessPdf":"https://www.ncbi.nlm.nih.gov/pmc/articles/PMC12384056/pdf/","citationCount":"0","resultStr":"{\"title\":\"Development of a Novel Aptamer-Antibody Sandwich Chemiluminescent Biosensor and Its Application in the Detection of Aflatoxin B<sub>1</sub>.\",\"authors\":\"Zhike Zhao, Jianghao Feng, Caizhang Wu\",\"doi\":\"10.3390/bios15080538\",\"DOIUrl\":null,\"url\":null,\"abstract\":\"<p><p>In addressing the challenges posed by high costs, low accuracy, and cumbersome operations in mycotoxin detection, a novel aptamer-antibody sandwich chemiluminescent biosensor for detecting aflatoxin B<sub>1</sub> (AFB<sub>1</sub>) was developed. The indirect competition between AFB<sub>1</sub>, aflatoxin B<sub>1</sub>-ovomucoid complete antigen (AFB<sub>1</sub>-OVA), and rabbit anti-ovomucoid (OVA) antibody results in the formation of a sandwich complex. This sandwich assay is linked to a horseradish peroxidase-labeled antibody, which catalyzes luminol chemiluminescence for the indirect detection of AFB<sub>1</sub>. The biosensor was designed to operate with high precision, low cost, and a low detection limit for AFB<sub>1</sub>, which is contingent upon experimental conditions such as pH, reagent concentration, temperature, and incubation time. The optimization of pH, aptamer concentration, competitive incubation time, competitive incubation temperature, and HRP-labeled antibody concentration was instrumental in achieving these objectives. Experimental findings demonstrated that the sensor's detection limit was 0.067 ng/mL, exhibiting excellent linearity (R<sup>2</sup> = 0.99679) within the concentration range of 0.25-10 ng/mL. The recovery rate of spiked samples ranged from 94.4% to 108.05%. This sensor boasts a low detection limit, straightforward operation, and minimal cost, thus offering a novel solution for developing cost-effective, high-precision mycotoxin detection methods.</p>\",\"PeriodicalId\":48608,\"journal\":{\"name\":\"Biosensors-Basel\",\"volume\":\"15 8\",\"pages\":\"\"},\"PeriodicalIF\":5.6000,\"publicationDate\":\"2025-08-15\",\"publicationTypes\":\"Journal Article\",\"fieldsOfStudy\":null,\"isOpenAccess\":false,\"openAccessPdf\":\"https://www.ncbi.nlm.nih.gov/pmc/articles/PMC12384056/pdf/\",\"citationCount\":\"0\",\"resultStr\":null,\"platform\":\"Semanticscholar\",\"paperid\":null,\"PeriodicalName\":\"Biosensors-Basel\",\"FirstCategoryId\":\"5\",\"ListUrlMain\":\"https://doi.org/10.3390/bios15080538\",\"RegionNum\":3,\"RegionCategory\":\"工程技术\",\"ArticlePicture\":[],\"TitleCN\":null,\"AbstractTextCN\":null,\"PMCID\":null,\"EPubDate\":\"\",\"PubModel\":\"\",\"JCR\":\"Q1\",\"JCRName\":\"CHEMISTRY, ANALYTICAL\",\"Score\":null,\"Total\":0}","platform":"Semanticscholar","paperid":null,"PeriodicalName":"Biosensors-Basel","FirstCategoryId":"5","ListUrlMain":"https://doi.org/10.3390/bios15080538","RegionNum":3,"RegionCategory":"工程技术","ArticlePicture":[],"TitleCN":null,"AbstractTextCN":null,"PMCID":null,"EPubDate":"","PubModel":"","JCR":"Q1","JCRName":"CHEMISTRY, ANALYTICAL","Score":null,"Total":0}
引用次数: 0

摘要

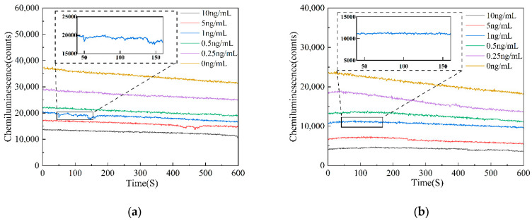
为解决霉菌毒素检测成本高、准确性低、操作繁琐等问题,研制了一种新型的适体-抗体夹心化学发光生物传感器,用于检测黄曲霉毒素B1 (AFB1)。AFB1、黄曲霉毒素b1 -卵细胞样完全抗原(AFB1-OVA)和兔抗卵细胞样抗体(OVA)之间的间接竞争导致三明治复合物的形成。这种夹心法与辣根过氧化物酶标记的抗体相关联,该抗体催化发光胺化学发光间接检测AFB1。该生物传感器设计具有高精度、低成本和AFB1低检出限,这取决于pH、试剂浓度、温度和孵育时间等实验条件。pH、适体浓度、竞争孵育时间、竞争孵育温度和酶标抗体浓度的优化有助于实现这些目标。实验结果表明,该传感器的检出限为0.067 ng/mL,在0.25 ~ 10 ng/mL的浓度范围内线性良好(R2 = 0.99679)。加样回收率为94.4% ~ 108.05%。该传感器具有检测限低、操作简单、成本低的特点,为开发具有成本效益的高精度霉菌毒素检测方法提供了一种新的解决方案。
本文章由计算机程序翻译,如有差异,请以英文原文为准。

Development of a Novel Aptamer-Antibody Sandwich Chemiluminescent Biosensor and Its Application in the Detection of Aflatoxin B<sub>1</sub>.

Development of a Novel Aptamer-Antibody Sandwich Chemiluminescent Biosensor and Its Application in the Detection of Aflatoxin B<sub>1</sub>.

Development of a Novel Aptamer-Antibody Sandwich Chemiluminescent Biosensor and Its Application in the Detection of Aflatoxin B<sub>1</sub>.

Development of a Novel Aptamer-Antibody Sandwich Chemiluminescent Biosensor and Its Application in the Detection of Aflatoxin B1.

In addressing the challenges posed by high costs, low accuracy, and cumbersome operations in mycotoxin detection, a novel aptamer-antibody sandwich chemiluminescent biosensor for detecting aflatoxin B1 (AFB1) was developed. The indirect competition between AFB1, aflatoxin B1-ovomucoid complete antigen (AFB1-OVA), and rabbit anti-ovomucoid (OVA) antibody results in the formation of a sandwich complex. This sandwich assay is linked to a horseradish peroxidase-labeled antibody, which catalyzes luminol chemiluminescence for the indirect detection of AFB1. The biosensor was designed to operate with high precision, low cost, and a low detection limit for AFB1, which is contingent upon experimental conditions such as pH, reagent concentration, temperature, and incubation time. The optimization of pH, aptamer concentration, competitive incubation time, competitive incubation temperature, and HRP-labeled antibody concentration was instrumental in achieving these objectives. Experimental findings demonstrated that the sensor's detection limit was 0.067 ng/mL, exhibiting excellent linearity (R2 = 0.99679) within the concentration range of 0.25-10 ng/mL. The recovery rate of spiked samples ranged from 94.4% to 108.05%. This sensor boasts a low detection limit, straightforward operation, and minimal cost, thus offering a novel solution for developing cost-effective, high-precision mycotoxin detection methods.

求助全文
通过发布文献求助,成功后即可免费获取论文全文。 去求助
来源期刊
Biosensors-Basel
Biosensors-Basel Biochemistry, Genetics and Molecular Biology-Clinical Biochemistry
CiteScore
6.60
自引率
14.80%
发文量
983
审稿时长
11 weeks
期刊介绍: Biosensors (ISSN 2079-6374) provides an advanced forum for studies related to the science and technology of biosensors and biosensing. It publishes original research papers, comprehensive reviews and communications. Our aim is to encourage scientists to publish their experimental and theoretical results in as much detail as possible. There is no restriction on the length of the papers. The full experimental details must be provided so that the results can be reproduced. Electronic files and software regarding the full details of the calculation or experimental procedure, if unable to be published in a normal way, can be deposited as supplementary electronic material.
×
引用
GB/T 7714-2015
复制
MLA
复制
APA
复制
导出至
BibTeX EndNote RefMan NoteFirst NoteExpress
×
提示
您的信息不完整,为了账户安全,请先补充。
现在去补充
×
提示
您因"违规操作"
具体请查看互助需知
我知道了
×
提示
确定
请完成安全验证×
copy
已复制链接
快去分享给好友吧!
我知道了
右上角分享
点击右上角分享
0
联系我们:info@booksci.cn Book学术提供免费学术资源搜索服务,方便国内外学者检索中英文文献。致力于提供最便捷和优质的服务体验。 Copyright © 2023 布克学术 All rights reserved.
京ICP备2023020795号-1
ghs 京公网安备 11010802042870号
Book学术文献互助
Book学术文献互助群
群 号:604180095
Book学术官方微信