基于头皮和耳脑电的脑电语音接收阈值估计的年龄差异。

IF 3 2区 医学 Q1 AUDIOLOGY & SPEECH-LANGUAGE PATHOLOGY
Trends in Hearing Pub Date : 2025-01-01 Epub Date: 2025-08-25 DOI:10.1177/23312165251372462
Heidi B Borges, Emina Alickovic, Christian B Christensen, Preben Kidmose, Johannes Zaar
{"title":"基于头皮和耳脑电的脑电语音接收阈值估计的年龄差异。","authors":"Heidi B Borges, Emina Alickovic, Christian B Christensen, Preben Kidmose, Johannes Zaar","doi":"10.1177/23312165251372462","DOIUrl":null,"url":null,"abstract":"<p><p>Previous studies have demonstrated the feasibility of estimating the speech reception threshold (SRT) based on electroencephalography (EEG), termed SRT<sub>neuro</sub>, in younger normal-hearing (YNH) participants. This method may support speech perception in hearing-aid users through continuous adaptation of noise-reduction algorithms. The prevalence of hearing impairment and thereby hearing-aid use increases with age. The SRT<sub>neuro</sub> estimation is based on envelope reconstruction accuracy, which has also been shown to increase with age, possibly due to excitatory/inhibitory imbalance or recruitment of additional cortical regions. This could affect the estimated SRT<sub>neuro</sub>. This study investigated the age-related changes in the temporal response function (TRF) and the feasibility of SRT<sub>neuro</sub> estimation across age. Twenty YNH and 22 older normal-hearing (ONH) participants listened to audiobook excerpts at various signal-to-noise ratios (SNRs) while EEG was recorded using 66 scalp electrodes and 12 in-ear-EEG electrodes. A linear decoder reconstructed the speech envelope, and the Pearson's correlation was calculated between the reconstructed and speech-stimulus envelopes. A sigmoid function was fitted to the reconstruction-accuracy-versus-SNR data points, and the midpoint was used as the estimated SRT<sub>neuro</sub>. The results show that the SRT<sub>neuro</sub> can be estimated with similar precision in both age groups, whether using all scalp electrodes or only those in and around the ear. This consistency across age groups was observed despite physiological differences, with the ONH participants showing higher reconstruction accuracies and greater TRF amplitudes. Overall, these findings demonstrate the robustness of the SRT<sub>neuro</sub> method in older individuals and highlight its potential for applications in age-related hearing loss and hearing-aid technology.</p>","PeriodicalId":48678,"journal":{"name":"Trends in Hearing","volume":"29 ","pages":"23312165251372462"},"PeriodicalIF":3.0000,"publicationDate":"2025-01-01","publicationTypes":"Journal Article","fieldsOfStudy":null,"isOpenAccess":false,"openAccessPdf":"https://www.ncbi.nlm.nih.gov/pmc/articles/PMC12378310/pdf/","citationCount":"0","resultStr":"{\"title\":\"Age-Related Differences in EEG-Based Speech Reception Threshold Estimation Using Scalp and Ear-EEG.\",\"authors\":\"Heidi B Borges, Emina Alickovic, Christian B Christensen, Preben Kidmose, Johannes Zaar\",\"doi\":\"10.1177/23312165251372462\",\"DOIUrl\":null,\"url\":null,\"abstract\":\"<p><p>Previous studies have demonstrated the feasibility of estimating the speech reception threshold (SRT) based on electroencephalography (EEG), termed SRT<sub>neuro</sub>, in younger normal-hearing (YNH) participants. This method may support speech perception in hearing-aid users through continuous adaptation of noise-reduction algorithms. The prevalence of hearing impairment and thereby hearing-aid use increases with age. The SRT<sub>neuro</sub> estimation is based on envelope reconstruction accuracy, which has also been shown to increase with age, possibly due to excitatory/inhibitory imbalance or recruitment of additional cortical regions. This could affect the estimated SRT<sub>neuro</sub>. This study investigated the age-related changes in the temporal response function (TRF) and the feasibility of SRT<sub>neuro</sub> estimation across age. Twenty YNH and 22 older normal-hearing (ONH) participants listened to audiobook excerpts at various signal-to-noise ratios (SNRs) while EEG was recorded using 66 scalp electrodes and 12 in-ear-EEG electrodes. A linear decoder reconstructed the speech envelope, and the Pearson's correlation was calculated between the reconstructed and speech-stimulus envelopes. A sigmoid function was fitted to the reconstruction-accuracy-versus-SNR data points, and the midpoint was used as the estimated SRT<sub>neuro</sub>. The results show that the SRT<sub>neuro</sub> can be estimated with similar precision in both age groups, whether using all scalp electrodes or only those in and around the ear. This consistency across age groups was observed despite physiological differences, with the ONH participants showing higher reconstruction accuracies and greater TRF amplitudes. Overall, these findings demonstrate the robustness of the SRT<sub>neuro</sub> method in older individuals and highlight its potential for applications in age-related hearing loss and hearing-aid technology.</p>\",\"PeriodicalId\":48678,\"journal\":{\"name\":\"Trends in Hearing\",\"volume\":\"29 \",\"pages\":\"23312165251372462\"},\"PeriodicalIF\":3.0000,\"publicationDate\":\"2025-01-01\",\"publicationTypes\":\"Journal Article\",\"fieldsOfStudy\":null,\"isOpenAccess\":false,\"openAccessPdf\":\"https://www.ncbi.nlm.nih.gov/pmc/articles/PMC12378310/pdf/\",\"citationCount\":\"0\",\"resultStr\":null,\"platform\":\"Semanticscholar\",\"paperid\":null,\"PeriodicalName\":\"Trends in Hearing\",\"FirstCategoryId\":\"3\",\"ListUrlMain\":\"https://doi.org/10.1177/23312165251372462\",\"RegionNum\":2,\"RegionCategory\":\"医学\",\"ArticlePicture\":[],\"TitleCN\":null,\"AbstractTextCN\":null,\"PMCID\":null,\"EPubDate\":\"2025/8/25 0:00:00\",\"PubModel\":\"Epub\",\"JCR\":\"Q1\",\"JCRName\":\"AUDIOLOGY & SPEECH-LANGUAGE PATHOLOGY\",\"Score\":null,\"Total\":0}","platform":"Semanticscholar","paperid":null,"PeriodicalName":"Trends in Hearing","FirstCategoryId":"3","ListUrlMain":"https://doi.org/10.1177/23312165251372462","RegionNum":2,"RegionCategory":"医学","ArticlePicture":[],"TitleCN":null,"AbstractTextCN":null,"PMCID":null,"EPubDate":"2025/8/25 0:00:00","PubModel":"Epub","JCR":"Q1","JCRName":"AUDIOLOGY & SPEECH-LANGUAGE PATHOLOGY","Score":null,"Total":0}
引用次数: 0

摘要

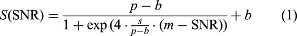
先前的研究已经证明了在年轻的正常听力(YNH)参与者中,基于脑电图(EEG)估计语音接收阈值(SRT)的可行性,称为SRTneuro。该方法可以通过不断适应降噪算法来支持助听器用户的语音感知。随着年龄的增长,听力障碍的患病率和助听器的使用也随之增加。srtrneuro的估计是基于包膜重建的准确性,这也被证明随着年龄的增长而增加,可能是由于兴奋性/抑制性失衡或额外皮层区域的募集。这可能会影响估计的srneuro。本研究探讨了时间反应函数(TRF)的年龄相关变化,以及srtrneuro估计跨年龄的可行性。20名YNH和22名年长的正常听力(ONH)参与者在不同的信噪比(SNRs)下听了有声读物摘录,同时使用66个头皮电极和12个耳内电极记录了EEG。利用线性解码器重构语音包络,计算重构后的语音包络与语音刺激包络之间的Pearson相关。对重建精度与信噪比数据点拟合一个s型函数,并使用中点作为估计的srtrneuro。结果表明,无论是使用所有头皮电极还是仅使用耳内和耳周电极,srtrneuro在两个年龄组中都可以以相似的精度进行估计。尽管存在生理差异,但在不同年龄组中观察到这种一致性,ONH参与者表现出更高的重建准确性和更大的TRF振幅。总的来说,这些发现证明了srtrneuro方法在老年人中的稳健性,并突出了其在与年龄相关的听力损失和助听器技术中的应用潜力。
本文章由计算机程序翻译,如有差异,请以英文原文为准。

Age-Related Differences in EEG-Based Speech Reception Threshold Estimation Using Scalp and Ear-EEG.

Age-Related Differences in EEG-Based Speech Reception Threshold Estimation Using Scalp and Ear-EEG.

Age-Related Differences in EEG-Based Speech Reception Threshold Estimation Using Scalp and Ear-EEG.

Age-Related Differences in EEG-Based Speech Reception Threshold Estimation Using Scalp and Ear-EEG.

Previous studies have demonstrated the feasibility of estimating the speech reception threshold (SRT) based on electroencephalography (EEG), termed SRTneuro, in younger normal-hearing (YNH) participants. This method may support speech perception in hearing-aid users through continuous adaptation of noise-reduction algorithms. The prevalence of hearing impairment and thereby hearing-aid use increases with age. The SRTneuro estimation is based on envelope reconstruction accuracy, which has also been shown to increase with age, possibly due to excitatory/inhibitory imbalance or recruitment of additional cortical regions. This could affect the estimated SRTneuro. This study investigated the age-related changes in the temporal response function (TRF) and the feasibility of SRTneuro estimation across age. Twenty YNH and 22 older normal-hearing (ONH) participants listened to audiobook excerpts at various signal-to-noise ratios (SNRs) while EEG was recorded using 66 scalp electrodes and 12 in-ear-EEG electrodes. A linear decoder reconstructed the speech envelope, and the Pearson's correlation was calculated between the reconstructed and speech-stimulus envelopes. A sigmoid function was fitted to the reconstruction-accuracy-versus-SNR data points, and the midpoint was used as the estimated SRTneuro. The results show that the SRTneuro can be estimated with similar precision in both age groups, whether using all scalp electrodes or only those in and around the ear. This consistency across age groups was observed despite physiological differences, with the ONH participants showing higher reconstruction accuracies and greater TRF amplitudes. Overall, these findings demonstrate the robustness of the SRTneuro method in older individuals and highlight its potential for applications in age-related hearing loss and hearing-aid technology.

求助全文
通过发布文献求助,成功后即可免费获取论文全文。 去求助
来源期刊
Trends in Hearing
Trends in Hearing AUDIOLOGY & SPEECH-LANGUAGE PATHOLOGYOTORH-OTORHINOLARYNGOLOGY
CiteScore
4.50
自引率
11.10%
发文量
44
审稿时长
12 weeks
期刊介绍: Trends in Hearing is an open access journal completely dedicated to publishing original research and reviews focusing on human hearing, hearing loss, hearing aids, auditory implants, and aural rehabilitation. Under its former name, Trends in Amplification, the journal established itself as a forum for concise explorations of all areas of translational hearing research by leaders in the field. Trends in Hearing has now expanded its focus to include original research articles, with the goal of becoming the premier venue for research related to human hearing and hearing loss.
×
引用
GB/T 7714-2015
复制
MLA
复制
APA
复制
导出至
BibTeX EndNote RefMan NoteFirst NoteExpress
×
提示
您的信息不完整,为了账户安全,请先补充。
现在去补充
×
提示
您因"违规操作"
具体请查看互助需知
我知道了
×
提示
确定
请完成安全验证×
copy
已复制链接
快去分享给好友吧!
我知道了
右上角分享
点击右上角分享
0
联系我们:info@booksci.cn Book学术提供免费学术资源搜索服务,方便国内外学者检索中英文文献。致力于提供最便捷和优质的服务体验。 Copyright © 2023 布克学术 All rights reserved.
京ICP备2023020795号-1
ghs 京公网安备 11010802042870号
Book学术文献互助
Book学术文献互助群
群 号:604180095
Book学术官方微信