基于mip的药物样品中扑热息痛电化学传感器的设计。

IF 5.6 3区 工程技术 Q1 CHEMISTRY, ANALYTICAL
José Alberto Cabas Rodríguez, Fernando Javier Arévalo, Adrian Marcelo Granero
{"title":"基于mip的药物样品中扑热息痛电化学传感器的设计。","authors":"José Alberto Cabas Rodríguez, Fernando Javier Arévalo, Adrian Marcelo Granero","doi":"10.3390/bios15080544","DOIUrl":null,"url":null,"abstract":"<p><p>Paracetamol (PAR) is a common antipyretic and analgesic extensively used to treat cold and flu symptoms. It has been proven to be effective in headaches and relieving fever and pain. It is usually found as an over-the-counter drug, which has been associated with an increase in cases of poisoning due to overdose. Therefore, the development of new analytical tools for the detection of PAR at low concentrations in different samples is necessary. In this work, a Molecularly Imprinted Polymer (MIP)-based electrochemical sensor was designed for the selective and sensitive determination of PAR using a glassy carbon electrode (GCE) modified with a polymeric film obtained through the electropolymerization of o-aminophenol. A complete characterization based on electrochemical techniques, such as electrochemical impedance spectroscopy (EIS) and cyclic voltammetry (CV), and scanning electron microscopy (SEM) was used to examine all steps involved in the construction of the MIP-based electrochemical sensor. In addition, all parameters affecting the MIP were optimized. As a result, the MIP-based electrochemical sensor showed a very low limit of detection (LOD) of 10 nM, with an analytical sensitivity of (3.4 ± 0.1) A M⁻¹. In addition, construction of the MIP-based electrochemical sensor showed highly reproducibility, expressed in terms of a variation coefficient lower than 4%. The MIP-based electrochemical sensor was successfully used in an assay for the determination of PAR in pharmaceutical products. The performance of the MIP-based electrochemical sensor was compared to High Performance Liquid Chromatography (HPLC) for the determination of PAR in pharmaceutical samples, showing excellent agreement between the two methodologies. A very important aspect of the developed sensor was its reusability for at least twenty times. The MIP-based electrochemical sensor is a reliable analytical tool for the determination of PAR.</p>","PeriodicalId":48608,"journal":{"name":"Biosensors-Basel","volume":"15 8","pages":""},"PeriodicalIF":5.6000,"publicationDate":"2025-08-19","publicationTypes":"Journal Article","fieldsOfStudy":null,"isOpenAccess":false,"openAccessPdf":"https://www.ncbi.nlm.nih.gov/pmc/articles/PMC12385103/pdf/","citationCount":"0","resultStr":"{\"title\":\"Design of an MIP-Based Electrochemical Sensor for the Determination of Paracetamol in Pharmaceutical Samples.\",\"authors\":\"José Alberto Cabas Rodríguez, Fernando Javier Arévalo, Adrian Marcelo Granero\",\"doi\":\"10.3390/bios15080544\",\"DOIUrl\":null,\"url\":null,\"abstract\":\"<p><p>Paracetamol (PAR) is a common antipyretic and analgesic extensively used to treat cold and flu symptoms. It has been proven to be effective in headaches and relieving fever and pain. It is usually found as an over-the-counter drug, which has been associated with an increase in cases of poisoning due to overdose. Therefore, the development of new analytical tools for the detection of PAR at low concentrations in different samples is necessary. In this work, a Molecularly Imprinted Polymer (MIP)-based electrochemical sensor was designed for the selective and sensitive determination of PAR using a glassy carbon electrode (GCE) modified with a polymeric film obtained through the electropolymerization of o-aminophenol. A complete characterization based on electrochemical techniques, such as electrochemical impedance spectroscopy (EIS) and cyclic voltammetry (CV), and scanning electron microscopy (SEM) was used to examine all steps involved in the construction of the MIP-based electrochemical sensor. In addition, all parameters affecting the MIP were optimized. As a result, the MIP-based electrochemical sensor showed a very low limit of detection (LOD) of 10 nM, with an analytical sensitivity of (3.4 ± 0.1) A M⁻¹. In addition, construction of the MIP-based electrochemical sensor showed highly reproducibility, expressed in terms of a variation coefficient lower than 4%. The MIP-based electrochemical sensor was successfully used in an assay for the determination of PAR in pharmaceutical products. The performance of the MIP-based electrochemical sensor was compared to High Performance Liquid Chromatography (HPLC) for the determination of PAR in pharmaceutical samples, showing excellent agreement between the two methodologies. A very important aspect of the developed sensor was its reusability for at least twenty times. The MIP-based electrochemical sensor is a reliable analytical tool for the determination of PAR.</p>\",\"PeriodicalId\":48608,\"journal\":{\"name\":\"Biosensors-Basel\",\"volume\":\"15 8\",\"pages\":\"\"},\"PeriodicalIF\":5.6000,\"publicationDate\":\"2025-08-19\",\"publicationTypes\":\"Journal Article\",\"fieldsOfStudy\":null,\"isOpenAccess\":false,\"openAccessPdf\":\"https://www.ncbi.nlm.nih.gov/pmc/articles/PMC12385103/pdf/\",\"citationCount\":\"0\",\"resultStr\":null,\"platform\":\"Semanticscholar\",\"paperid\":null,\"PeriodicalName\":\"Biosensors-Basel\",\"FirstCategoryId\":\"5\",\"ListUrlMain\":\"https://doi.org/10.3390/bios15080544\",\"RegionNum\":3,\"RegionCategory\":\"工程技术\",\"ArticlePicture\":[],\"TitleCN\":null,\"AbstractTextCN\":null,\"PMCID\":null,\"EPubDate\":\"\",\"PubModel\":\"\",\"JCR\":\"Q1\",\"JCRName\":\"CHEMISTRY, ANALYTICAL\",\"Score\":null,\"Total\":0}","platform":"Semanticscholar","paperid":null,"PeriodicalName":"Biosensors-Basel","FirstCategoryId":"5","ListUrlMain":"https://doi.org/10.3390/bios15080544","RegionNum":3,"RegionCategory":"工程技术","ArticlePicture":[],"TitleCN":null,"AbstractTextCN":null,"PMCID":null,"EPubDate":"","PubModel":"","JCR":"Q1","JCRName":"CHEMISTRY, ANALYTICAL","Score":null,"Total":0}
引用次数: 0

摘要

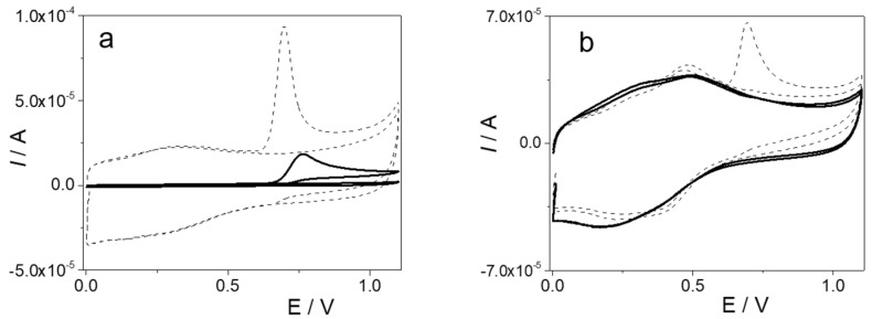
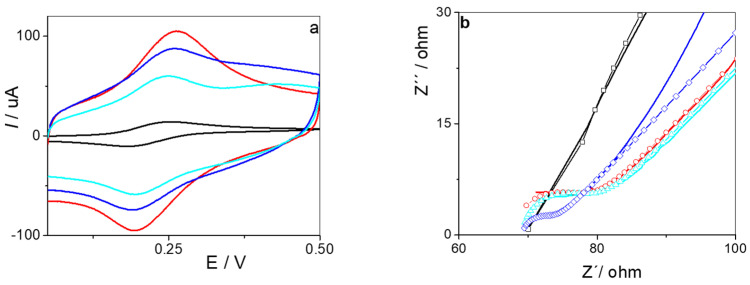
扑热息痛(PAR)是一种常见的解热镇痛药,广泛用于治疗感冒和流感症状。它已被证明对头痛和缓解发烧和疼痛有效。它通常是一种非处方药,与过量服用引起的中毒病例增加有关。因此,有必要开发新的分析工具来检测不同样品中低浓度的PAR。在这项工作中,设计了一种基于分子印迹聚合物(MIP)的电化学传感器,用于选择性和敏感地测定PAR,该传感器使用玻璃碳电极(GCE),该电极由通过电聚合获得的邻氨基酚修饰的聚合物膜修饰。基于电化学技术的完整表征,如电化学阻抗谱(EIS)和循环伏安法(CV),以及扫描电子显微镜(SEM),用于检查构建基于mip的电化学传感器所涉及的所有步骤。此外,对影响MIP的各参数进行了优化。结果,MIP-based电化学传感器显示非常低的检测极限(LOD) 10 nM的分析灵敏度(3.4±0.1)M⁻¹。此外,基于mip的电化学传感器的构建具有很高的再现性,变异系数低于4%。基于mip的电化学传感器成功地用于药品中PAR的测定。将基于mip的电化学传感器与高效液相色谱(HPLC)测定药物样品中PAR的性能进行了比较,结果表明两种方法具有良好的一致性。开发的传感器的一个非常重要的方面是它的可重复使用至少20次。基于mip的电化学传感器是测定PAR的可靠分析工具。
本文章由计算机程序翻译,如有差异,请以英文原文为准。

Design of an MIP-Based Electrochemical Sensor for the Determination of Paracetamol in Pharmaceutical Samples.

Design of an MIP-Based Electrochemical Sensor for the Determination of Paracetamol in Pharmaceutical Samples.

Design of an MIP-Based Electrochemical Sensor for the Determination of Paracetamol in Pharmaceutical Samples.

Design of an MIP-Based Electrochemical Sensor for the Determination of Paracetamol in Pharmaceutical Samples.

Paracetamol (PAR) is a common antipyretic and analgesic extensively used to treat cold and flu symptoms. It has been proven to be effective in headaches and relieving fever and pain. It is usually found as an over-the-counter drug, which has been associated with an increase in cases of poisoning due to overdose. Therefore, the development of new analytical tools for the detection of PAR at low concentrations in different samples is necessary. In this work, a Molecularly Imprinted Polymer (MIP)-based electrochemical sensor was designed for the selective and sensitive determination of PAR using a glassy carbon electrode (GCE) modified with a polymeric film obtained through the electropolymerization of o-aminophenol. A complete characterization based on electrochemical techniques, such as electrochemical impedance spectroscopy (EIS) and cyclic voltammetry (CV), and scanning electron microscopy (SEM) was used to examine all steps involved in the construction of the MIP-based electrochemical sensor. In addition, all parameters affecting the MIP were optimized. As a result, the MIP-based electrochemical sensor showed a very low limit of detection (LOD) of 10 nM, with an analytical sensitivity of (3.4 ± 0.1) A M⁻¹. In addition, construction of the MIP-based electrochemical sensor showed highly reproducibility, expressed in terms of a variation coefficient lower than 4%. The MIP-based electrochemical sensor was successfully used in an assay for the determination of PAR in pharmaceutical products. The performance of the MIP-based electrochemical sensor was compared to High Performance Liquid Chromatography (HPLC) for the determination of PAR in pharmaceutical samples, showing excellent agreement between the two methodologies. A very important aspect of the developed sensor was its reusability for at least twenty times. The MIP-based electrochemical sensor is a reliable analytical tool for the determination of PAR.

求助全文
通过发布文献求助,成功后即可免费获取论文全文。 去求助
来源期刊
Biosensors-Basel
Biosensors-Basel Biochemistry, Genetics and Molecular Biology-Clinical Biochemistry
CiteScore
6.60
自引率
14.80%
发文量
983
审稿时长
11 weeks
期刊介绍: Biosensors (ISSN 2079-6374) provides an advanced forum for studies related to the science and technology of biosensors and biosensing. It publishes original research papers, comprehensive reviews and communications. Our aim is to encourage scientists to publish their experimental and theoretical results in as much detail as possible. There is no restriction on the length of the papers. The full experimental details must be provided so that the results can be reproduced. Electronic files and software regarding the full details of the calculation or experimental procedure, if unable to be published in a normal way, can be deposited as supplementary electronic material.
×
引用
GB/T 7714-2015
复制
MLA
复制
APA
复制
导出至
BibTeX EndNote RefMan NoteFirst NoteExpress
×
提示
您的信息不完整,为了账户安全,请先补充。
现在去补充
×
提示
您因"违规操作"
具体请查看互助需知
我知道了
×
提示
确定
请完成安全验证×
copy
已复制链接
快去分享给好友吧!
我知道了
右上角分享
点击右上角分享
0
联系我们:info@booksci.cn Book学术提供免费学术资源搜索服务,方便国内外学者检索中英文文献。致力于提供最便捷和优质的服务体验。 Copyright © 2023 布克学术 All rights reserved.
京ICP备2023020795号-1
ghs 京公网安备 11010802042870号
Book学术文献互助
Book学术文献互助群
群 号:604180095
Book学术官方微信