治疗结果在一个专门的单位成人严重和极端神经性厌食症一年随访。

IF 4.5 3区 医学 Q2 NUTRITION & DIETETICS
Adrian Meule, Eva P Wuttke, Thorsten Koerner, Ulrich Cuntz, Ulrich Voderholzer
{"title":"治疗结果在一个专门的单位成人严重和极端神经性厌食症一年随访。","authors":"Adrian Meule, Eva P Wuttke, Thorsten Koerner, Ulrich Cuntz, Ulrich Voderholzer","doi":"10.1186/s40337-025-01374-z","DOIUrl":null,"url":null,"abstract":"<p><strong>Background: </strong>Inpatient treatment successfully increases body weight and decreases eating disorder and associated symptoms in patients with anorexia nervosa (AN). However, relapse rates are high, particularly within the first year after discharge.</p><p><strong>Methods: </strong>We examined treatment outcome one year after discharge in adults with AN (N = 80, 2 males; BMI at admission: M = 13.2 kg/m<sup>2</sup>, SD = 1.79) who received treatment in a specialized inpatient unit for AN patients with severe underweight (body mass index < 15 kg/m<sup>2</sup>) and/or excessive purging or exercising.</p><p><strong>Results: </strong>From admission to discharge, body weight and self-reported life satisfaction significantly increased and self-reported eating disorder symptoms, depressive symptoms, and compulsive exercise significantly decreased. From discharge to follow up, life satisfaction and body weight decreased, and eating disorder symptoms, depressive symptoms, and compulsive exercise increased, although 87% of patients indicated to have received some kind of eating disorder treatment in the past six months. At follow up, the majority of patients indicated that they regularly ate three meals per day in the past week, including consumption of high-calorie, formerly forbidden foods. However, only a minority of patients indicated that they adhered to the hospital's guidelines on portion sizes. Patients' self-reported desired body weight at follow up was significantly higher than their current body weight.</p><p><strong>Conclusions: </strong>While inpatient treatment results in substantial improvements that are partially maintained after discharge, severe and extreme cases of AN require more long-lasting, alternating treatment approaches (e.g., interval treatment) to ensure long-term recovery.</p>","PeriodicalId":48605,"journal":{"name":"Journal of Eating Disorders","volume":"13 1","pages":"187"},"PeriodicalIF":4.5000,"publicationDate":"2025-08-25","publicationTypes":"Journal Article","fieldsOfStudy":null,"isOpenAccess":false,"openAccessPdf":"https://www.ncbi.nlm.nih.gov/pmc/articles/PMC12376739/pdf/","citationCount":"0","resultStr":"{\"title\":\"Treatment outcome in a specialized unit for adults with severe and extreme anorexia nervosa at one-year follow up.\",\"authors\":\"Adrian Meule, Eva P Wuttke, Thorsten Koerner, Ulrich Cuntz, Ulrich Voderholzer\",\"doi\":\"10.1186/s40337-025-01374-z\",\"DOIUrl\":null,\"url\":null,\"abstract\":\"<p><strong>Background: </strong>Inpatient treatment successfully increases body weight and decreases eating disorder and associated symptoms in patients with anorexia nervosa (AN). However, relapse rates are high, particularly within the first year after discharge.</p><p><strong>Methods: </strong>We examined treatment outcome one year after discharge in adults with AN (N = 80, 2 males; BMI at admission: M = 13.2 kg/m<sup>2</sup>, SD = 1.79) who received treatment in a specialized inpatient unit for AN patients with severe underweight (body mass index < 15 kg/m<sup>2</sup>) and/or excessive purging or exercising.</p><p><strong>Results: </strong>From admission to discharge, body weight and self-reported life satisfaction significantly increased and self-reported eating disorder symptoms, depressive symptoms, and compulsive exercise significantly decreased. From discharge to follow up, life satisfaction and body weight decreased, and eating disorder symptoms, depressive symptoms, and compulsive exercise increased, although 87% of patients indicated to have received some kind of eating disorder treatment in the past six months. At follow up, the majority of patients indicated that they regularly ate three meals per day in the past week, including consumption of high-calorie, formerly forbidden foods. However, only a minority of patients indicated that they adhered to the hospital's guidelines on portion sizes. Patients' self-reported desired body weight at follow up was significantly higher than their current body weight.</p><p><strong>Conclusions: </strong>While inpatient treatment results in substantial improvements that are partially maintained after discharge, severe and extreme cases of AN require more long-lasting, alternating treatment approaches (e.g., interval treatment) to ensure long-term recovery.</p>\",\"PeriodicalId\":48605,\"journal\":{\"name\":\"Journal of Eating Disorders\",\"volume\":\"13 1\",\"pages\":\"187\"},\"PeriodicalIF\":4.5000,\"publicationDate\":\"2025-08-25\",\"publicationTypes\":\"Journal Article\",\"fieldsOfStudy\":null,\"isOpenAccess\":false,\"openAccessPdf\":\"https://www.ncbi.nlm.nih.gov/pmc/articles/PMC12376739/pdf/\",\"citationCount\":\"0\",\"resultStr\":null,\"platform\":\"Semanticscholar\",\"paperid\":null,\"PeriodicalName\":\"Journal of Eating Disorders\",\"FirstCategoryId\":\"3\",\"ListUrlMain\":\"https://doi.org/10.1186/s40337-025-01374-z\",\"RegionNum\":3,\"RegionCategory\":\"医学\",\"ArticlePicture\":[],\"TitleCN\":null,\"AbstractTextCN\":null,\"PMCID\":null,\"EPubDate\":\"\",\"PubModel\":\"\",\"JCR\":\"Q2\",\"JCRName\":\"NUTRITION & DIETETICS\",\"Score\":null,\"Total\":0}","platform":"Semanticscholar","paperid":null,"PeriodicalName":"Journal of Eating Disorders","FirstCategoryId":"3","ListUrlMain":"https://doi.org/10.1186/s40337-025-01374-z","RegionNum":3,"RegionCategory":"医学","ArticlePicture":[],"TitleCN":null,"AbstractTextCN":null,"PMCID":null,"EPubDate":"","PubModel":"","JCR":"Q2","JCRName":"NUTRITION & DIETETICS","Score":null,"Total":0}
引用次数: 0

摘要

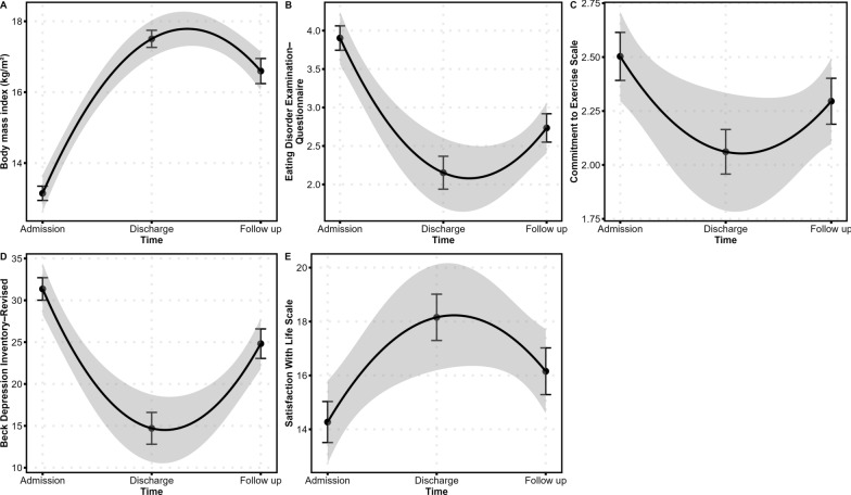
背景:神经性厌食症(AN)患者的住院治疗成功地增加了体重,减少了饮食失调和相关症状。然而,复发率很高,特别是在出院后的第一年。方法:我们检查出院一年后成人AN患者(N = 80, 2名男性;入院时BMI: M = 13.2 kg/m2, SD = 1.79)的治疗结果,这些患者在专门的住院病房接受严重体重不足(体重指数2)和/或过度排空或运动的AN患者的治疗。结果:从入院到出院,体重和自我报告的生活满意度显著增加,自我报告的饮食失调症状、抑郁症状和强迫性运动明显减少。从出院到随访,生活满意度和体重下降,饮食失调症状、抑郁症状和强迫性运动增加,尽管87%的患者表示在过去六个月中接受过某种饮食失调治疗。在随访中,大多数患者表示他们在过去一周内每天有规律地吃三顿饭,包括食用高热量,以前禁止的食物。然而,只有少数患者表示他们遵守了医院关于食物份量的指导方针。患者在随访时自我报告的期望体重明显高于其当前体重。结论:虽然住院治疗可获得显著改善,出院后可部分维持,但严重和极端AN病例需要更持久的交替治疗方法(如间隔治疗)以确保长期恢复。
本文章由计算机程序翻译,如有差异,请以英文原文为准。

Treatment outcome in a specialized unit for adults with severe and extreme anorexia nervosa at one-year follow up.

Treatment outcome in a specialized unit for adults with severe and extreme anorexia nervosa at one-year follow up.

Treatment outcome in a specialized unit for adults with severe and extreme anorexia nervosa at one-year follow up.

Treatment outcome in a specialized unit for adults with severe and extreme anorexia nervosa at one-year follow up.

Background: Inpatient treatment successfully increases body weight and decreases eating disorder and associated symptoms in patients with anorexia nervosa (AN). However, relapse rates are high, particularly within the first year after discharge.

Methods: We examined treatment outcome one year after discharge in adults with AN (N = 80, 2 males; BMI at admission: M = 13.2 kg/m2, SD = 1.79) who received treatment in a specialized inpatient unit for AN patients with severe underweight (body mass index < 15 kg/m2) and/or excessive purging or exercising.

Results: From admission to discharge, body weight and self-reported life satisfaction significantly increased and self-reported eating disorder symptoms, depressive symptoms, and compulsive exercise significantly decreased. From discharge to follow up, life satisfaction and body weight decreased, and eating disorder symptoms, depressive symptoms, and compulsive exercise increased, although 87% of patients indicated to have received some kind of eating disorder treatment in the past six months. At follow up, the majority of patients indicated that they regularly ate three meals per day in the past week, including consumption of high-calorie, formerly forbidden foods. However, only a minority of patients indicated that they adhered to the hospital's guidelines on portion sizes. Patients' self-reported desired body weight at follow up was significantly higher than their current body weight.

Conclusions: While inpatient treatment results in substantial improvements that are partially maintained after discharge, severe and extreme cases of AN require more long-lasting, alternating treatment approaches (e.g., interval treatment) to ensure long-term recovery.

求助全文
通过发布文献求助,成功后即可免费获取论文全文。 去求助
来源期刊
Journal of Eating Disorders
Journal of Eating Disorders Neuroscience-Behavioral Neuroscience
CiteScore
5.30
自引率
17.10%
发文量
161
审稿时长
16 weeks
期刊介绍: Journal of Eating Disorders is the first open access, peer-reviewed journal publishing leading research in the science and clinical practice of eating disorders. It disseminates research that provides answers to the important issues and key challenges in the field of eating disorders and to facilitate translation of evidence into practice. The journal publishes research on all aspects of eating disorders namely their epidemiology, nature, determinants, neurobiology, prevention, treatment and outcomes. The scope includes, but is not limited to anorexia nervosa, bulimia nervosa, binge eating disorder and other eating disorders. Related areas such as important co-morbidities, obesity, body image, appetite, food and eating are also included. Articles about research methodology and assessment are welcomed where they advance the field of eating disorders.
×
引用
GB/T 7714-2015
复制
MLA
复制
APA
复制
导出至
BibTeX EndNote RefMan NoteFirst NoteExpress
×
提示
您的信息不完整,为了账户安全,请先补充。
现在去补充
×
提示
您因"违规操作"
具体请查看互助需知
我知道了
×
提示
确定
请完成安全验证×
copy
已复制链接
快去分享给好友吧!
我知道了
右上角分享
点击右上角分享
0
联系我们:info@booksci.cn Book学术提供免费学术资源搜索服务,方便国内外学者检索中英文文献。致力于提供最便捷和优质的服务体验。 Copyright © 2023 布克学术 All rights reserved.
京ICP备2023020795号-1
ghs 京公网安备 11010802042870号
Book学术文献互助
Book学术文献互助群
群 号:604180095
Book学术官方微信