目标肌肉激活在保加利亚分深蹲变化:躯干位置和悬空为基础的执行的影响。

IF 2.8 3区 医学 Q1 REHABILITATION
Elif Aygun-Polat, Nevin A Guzel, Sonay Guruhan, Yusuf Polat, Nihan Karatas
{"title":"目标肌肉激活在保加利亚分深蹲变化:躯干位置和悬空为基础的执行的影响。","authors":"Elif Aygun-Polat, Nevin A Guzel, Sonay Guruhan, Yusuf Polat, Nihan Karatas","doi":"10.1186/s13102-025-01306-z","DOIUrl":null,"url":null,"abstract":"<p><strong>Purpose: </strong>Optimizing muscle activation through exercise variation is critical for enhancing performance and reducing injury risk. This cross-sectional study examined how trunk position (neutral vs. flexion) and surface stability (ground-based vs. suspension-based) influence lower extremity and trunk muscle activation during the Bulgarian Split Squat (BSS).</p><p><strong>Methods: </strong>Twenty-one trained female athletes (mean ± SD: age 20.3 ± 2.5 years; height 165.9 ± 5.8 cm; body weight 58.5 ± 5.7 kg) participated in the study. Surface electromyography was used to assess activation of eight lower extremity and trunk muscles: gluteus medius (GMed), gluteus maximus (GMax), vastus lateralis (VL), rectus femoris (RF), vastus medialis (VM), semitendinosus (ST), biceps femoris (BF), and erector spinae (ES) during four BSS variations.</p><p><strong>Results: </strong>Suspension-based BSS resulted in significantly greater activation of the ES (p = 0.046), while trunk flexion increased activation in the GMax, BF, and RF muscles (p < 0.05).</p><p><strong>Conclusion: </strong>Suspension-based BSS is particularly effective for targeting trunk stabilizers like the ES, while trunk flexion enhances posterior chain muscle activation, especially GMax and BF. These variations can be strategically applied in strength training and rehabilitation to meet specific neuromuscular goals. In practice, the findings may guide individualized programming for enhancing performance or preventing injuries in female athletes.</p><p><strong>Trial registration: </strong>ClinicalTrials.gov identifier NCT06112015, registered on 01/11/2023.</p>","PeriodicalId":48585,"journal":{"name":"BMC Sports Science Medicine and Rehabilitation","volume":"17 1","pages":"251"},"PeriodicalIF":2.8000,"publicationDate":"2025-08-27","publicationTypes":"Journal Article","fieldsOfStudy":null,"isOpenAccess":false,"openAccessPdf":"https://www.ncbi.nlm.nih.gov/pmc/articles/PMC12382192/pdf/","citationCount":"0","resultStr":"{\"title\":\"Targeted muscle activation in Bulgarian split squat variations: effects of trunk position and suspension-based execution.\",\"authors\":\"Elif Aygun-Polat, Nevin A Guzel, Sonay Guruhan, Yusuf Polat, Nihan Karatas\",\"doi\":\"10.1186/s13102-025-01306-z\",\"DOIUrl\":null,\"url\":null,\"abstract\":\"<p><strong>Purpose: </strong>Optimizing muscle activation through exercise variation is critical for enhancing performance and reducing injury risk. This cross-sectional study examined how trunk position (neutral vs. flexion) and surface stability (ground-based vs. suspension-based) influence lower extremity and trunk muscle activation during the Bulgarian Split Squat (BSS).</p><p><strong>Methods: </strong>Twenty-one trained female athletes (mean ± SD: age 20.3 ± 2.5 years; height 165.9 ± 5.8 cm; body weight 58.5 ± 5.7 kg) participated in the study. Surface electromyography was used to assess activation of eight lower extremity and trunk muscles: gluteus medius (GMed), gluteus maximus (GMax), vastus lateralis (VL), rectus femoris (RF), vastus medialis (VM), semitendinosus (ST), biceps femoris (BF), and erector spinae (ES) during four BSS variations.</p><p><strong>Results: </strong>Suspension-based BSS resulted in significantly greater activation of the ES (p = 0.046), while trunk flexion increased activation in the GMax, BF, and RF muscles (p < 0.05).</p><p><strong>Conclusion: </strong>Suspension-based BSS is particularly effective for targeting trunk stabilizers like the ES, while trunk flexion enhances posterior chain muscle activation, especially GMax and BF. These variations can be strategically applied in strength training and rehabilitation to meet specific neuromuscular goals. In practice, the findings may guide individualized programming for enhancing performance or preventing injuries in female athletes.</p><p><strong>Trial registration: </strong>ClinicalTrials.gov identifier NCT06112015, registered on 01/11/2023.</p>\",\"PeriodicalId\":48585,\"journal\":{\"name\":\"BMC Sports Science Medicine and Rehabilitation\",\"volume\":\"17 1\",\"pages\":\"251\"},\"PeriodicalIF\":2.8000,\"publicationDate\":\"2025-08-27\",\"publicationTypes\":\"Journal Article\",\"fieldsOfStudy\":null,\"isOpenAccess\":false,\"openAccessPdf\":\"https://www.ncbi.nlm.nih.gov/pmc/articles/PMC12382192/pdf/\",\"citationCount\":\"0\",\"resultStr\":null,\"platform\":\"Semanticscholar\",\"paperid\":null,\"PeriodicalName\":\"BMC Sports Science Medicine and Rehabilitation\",\"FirstCategoryId\":\"3\",\"ListUrlMain\":\"https://doi.org/10.1186/s13102-025-01306-z\",\"RegionNum\":3,\"RegionCategory\":\"医学\",\"ArticlePicture\":[],\"TitleCN\":null,\"AbstractTextCN\":null,\"PMCID\":null,\"EPubDate\":\"\",\"PubModel\":\"\",\"JCR\":\"Q1\",\"JCRName\":\"REHABILITATION\",\"Score\":null,\"Total\":0}","platform":"Semanticscholar","paperid":null,"PeriodicalName":"BMC Sports Science Medicine and Rehabilitation","FirstCategoryId":"3","ListUrlMain":"https://doi.org/10.1186/s13102-025-01306-z","RegionNum":3,"RegionCategory":"医学","ArticlePicture":[],"TitleCN":null,"AbstractTextCN":null,"PMCID":null,"EPubDate":"","PubModel":"","JCR":"Q1","JCRName":"REHABILITATION","Score":null,"Total":0}
引用次数: 0

摘要

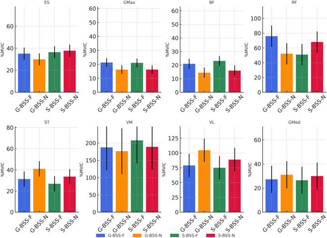
目的:通过运动变化来优化肌肉活动对提高运动表现和降低受伤风险至关重要。本横断面研究考察了在保加利亚式深蹲(BSS)中躯干位置(中性与弯曲)和表面稳定性(地面与悬空)对下肢和躯干肌肉激活的影响。方法:21名训练有素的女运动员(平均±SD:年龄20.3±2.5岁,身高165.9±5.8 cm,体重58.5±5.7 kg)参与研究。表面肌电图用于评估在4种BSS变化过程中8个下肢和躯干肌肉的激活情况:臀中肌(GMed)、臀大肌(GMax)、股外侧肌(VL)、股直肌(RF)、股内侧肌(VM)、半腱肌(ST)、股二头肌(BF)和竖脊肌(ES)。结果:基于悬吊的BSS显著增加了ES的激活(p = 0.046),而躯干屈曲增加了GMax、BF和RF肌肉的激活(p结论:基于悬吊的BSS对躯干稳定器如ES特别有效,而躯干屈曲增强了后链肌的激活,尤其是GMax和BF。这些变化可以策略性地应用于力量训练和康复,以满足特定的神经肌肉目标。在实践中,这些发现可以指导个性化的计划,以提高女性运动员的表现或防止受伤。试验注册:ClinicalTrials.gov识别码NCT06112015,注册日期为2023年11月1日。
本文章由计算机程序翻译,如有差异,请以英文原文为准。

Targeted muscle activation in Bulgarian split squat variations: effects of trunk position and suspension-based execution.

Targeted muscle activation in Bulgarian split squat variations: effects of trunk position and suspension-based execution.

Targeted muscle activation in Bulgarian split squat variations: effects of trunk position and suspension-based execution.

Targeted muscle activation in Bulgarian split squat variations: effects of trunk position and suspension-based execution.

Purpose: Optimizing muscle activation through exercise variation is critical for enhancing performance and reducing injury risk. This cross-sectional study examined how trunk position (neutral vs. flexion) and surface stability (ground-based vs. suspension-based) influence lower extremity and trunk muscle activation during the Bulgarian Split Squat (BSS).

Methods: Twenty-one trained female athletes (mean ± SD: age 20.3 ± 2.5 years; height 165.9 ± 5.8 cm; body weight 58.5 ± 5.7 kg) participated in the study. Surface electromyography was used to assess activation of eight lower extremity and trunk muscles: gluteus medius (GMed), gluteus maximus (GMax), vastus lateralis (VL), rectus femoris (RF), vastus medialis (VM), semitendinosus (ST), biceps femoris (BF), and erector spinae (ES) during four BSS variations.

Results: Suspension-based BSS resulted in significantly greater activation of the ES (p = 0.046), while trunk flexion increased activation in the GMax, BF, and RF muscles (p < 0.05).

Conclusion: Suspension-based BSS is particularly effective for targeting trunk stabilizers like the ES, while trunk flexion enhances posterior chain muscle activation, especially GMax and BF. These variations can be strategically applied in strength training and rehabilitation to meet specific neuromuscular goals. In practice, the findings may guide individualized programming for enhancing performance or preventing injuries in female athletes.

Trial registration: ClinicalTrials.gov identifier NCT06112015, registered on 01/11/2023.

求助全文
通过发布文献求助,成功后即可免费获取论文全文。 去求助
来源期刊
BMC Sports Science Medicine and Rehabilitation
BMC Sports Science Medicine and Rehabilitation Medicine-Orthopedics and Sports Medicine
CiteScore
3.00
自引率
5.30%
发文量
196
审稿时长
26 weeks
期刊介绍: BMC Sports Science, Medicine and Rehabilitation is an open access, peer reviewed journal that considers articles on all aspects of sports medicine and the exercise sciences, including rehabilitation, traumatology, cardiology, physiology, and nutrition.
×
引用
GB/T 7714-2015
复制
MLA
复制
APA
复制
导出至
BibTeX EndNote RefMan NoteFirst NoteExpress
×
提示
您的信息不完整,为了账户安全,请先补充。
现在去补充
×
提示
您因"违规操作"
具体请查看互助需知
我知道了
×
提示
确定
请完成安全验证×
copy
已复制链接
快去分享给好友吧!
我知道了
右上角分享
点击右上角分享
0
联系我们:info@booksci.cn Book学术提供免费学术资源搜索服务,方便国内外学者检索中英文文献。致力于提供最便捷和优质的服务体验。 Copyright © 2023 布克学术 All rights reserved.
京ICP备2023020795号-1
ghs 京公网安备 11010802042870号
Book学术文献互助
Book学术文献互助群
群 号:604180095
Book学术官方微信