下肢等距力量的肢间不对称预测男性业余马拉松运动员足底筋膜炎:一项前瞻性队列研究。

IF 2.8 3区 医学 Q1 REHABILITATION
Daxin Li, Yangli Liu, Yangya Feng, Cheng Peng, Donghui Tang
{"title":"下肢等距力量的肢间不对称预测男性业余马拉松运动员足底筋膜炎:一项前瞻性队列研究。","authors":"Daxin Li, Yangli Liu, Yangya Feng, Cheng Peng, Donghui Tang","doi":"10.1186/s13102-025-01295-z","DOIUrl":null,"url":null,"abstract":"<p><strong>Background: </strong>Plantar fasciitis (PF) is the third most common type of running-related injuries. However, there are few studies on the association between interlimb asymmetry of lower limb isometric strength and PF among marathon runners. The present study aims to investigate whether the interlimb asymmetry of lower limb isometric strength could predict PF in male amateur marathon runners.</p><p><strong>Methods: </strong>172 male amateur marathon runners were tested for lower limb isometric strength using the MicroFet 3 muscle testing dynamometer and inclinometer. The interlimb asymmetry of the lower limb isometric strength were calculated. Subsequently, the subjects were followed up for 3-month to record the incidence of PF. Statistical analysis was performed using independent-sample t test, logistic regression analysis and receiver operating characteristic (ROC) curve analysis.</p><p><strong>Results: </strong>During the 3-month follow-up, a total of 12 runners experienced PF. The results of logistic regression analysis showed that the interlimb asymmetry of hip abduction isometric strength was significantly correlated with PF development (OR = 3.646; 95%CI:1.193-11.148; P = 0.023). The ROC curve analysis revealed that the area under the ROC curve was 0.717 (95% CI: 0.544-0.889, P = 0.012), and the sensitivity and specificity of the interlimb asymmetry of the hip abduction isometric strength for diagnosing PF were 0.667 and 0.238, indicating good discrimination. In addition, the Hosmer-Lemeshow fitting test showed that the model has statistical significance (X<sup>2</sup> = 14.365, P = 0.001).</p><p><strong>Conclusions: </strong>The interlimb asymmetry of hip abduction isometric strength was associated with a greater likelihood of developing PF, and interlimb asymmetry of hip abduction isometric strength greater than 32.5% was a significant risk factor for the development of PF in male amateur marathon runners. The risk of PF occurence increased by 3.646 times if the interlimb asymmetry of hip abduction isometric strength greater than 32.5%. For clinicians, it is suggested to pay attention to the balanced development of bilateral muscle strength in the process of PF rehabilitation treatment, and regard the improvement of the interlimb asymmetry of hip abduction isometric strength as one of the rehabilitation therapies. Moreover, for runners and coaches, it is suggested that they should appropriately add unilateral or bilateral strength training (such as side-lying hip abduction training, clamshell exercise, supine bridge, etc.) in the daily training to ensure the balanced development of hip abduction strength, so as to prevent the occurrence of PF.</p>","PeriodicalId":48585,"journal":{"name":"BMC Sports Science Medicine and Rehabilitation","volume":"17 1","pages":"255"},"PeriodicalIF":2.8000,"publicationDate":"2025-08-28","publicationTypes":"Journal Article","fieldsOfStudy":null,"isOpenAccess":false,"openAccessPdf":"https://www.ncbi.nlm.nih.gov/pmc/articles/PMC12395752/pdf/","citationCount":"0","resultStr":"{\"title\":\"Interlimb asymmetries of lower limb isometric strength for predicting plantar fasciitis in male amateur marathon runners: a prospective cohort study.\",\"authors\":\"Daxin Li, Yangli Liu, Yangya Feng, Cheng Peng, Donghui Tang\",\"doi\":\"10.1186/s13102-025-01295-z\",\"DOIUrl\":null,\"url\":null,\"abstract\":\"<p><strong>Background: </strong>Plantar fasciitis (PF) is the third most common type of running-related injuries. However, there are few studies on the association between interlimb asymmetry of lower limb isometric strength and PF among marathon runners. The present study aims to investigate whether the interlimb asymmetry of lower limb isometric strength could predict PF in male amateur marathon runners.</p><p><strong>Methods: </strong>172 male amateur marathon runners were tested for lower limb isometric strength using the MicroFet 3 muscle testing dynamometer and inclinometer. The interlimb asymmetry of the lower limb isometric strength were calculated. Subsequently, the subjects were followed up for 3-month to record the incidence of PF. Statistical analysis was performed using independent-sample t test, logistic regression analysis and receiver operating characteristic (ROC) curve analysis.</p><p><strong>Results: </strong>During the 3-month follow-up, a total of 12 runners experienced PF. The results of logistic regression analysis showed that the interlimb asymmetry of hip abduction isometric strength was significantly correlated with PF development (OR = 3.646; 95%CI:1.193-11.148; P = 0.023). The ROC curve analysis revealed that the area under the ROC curve was 0.717 (95% CI: 0.544-0.889, P = 0.012), and the sensitivity and specificity of the interlimb asymmetry of the hip abduction isometric strength for diagnosing PF were 0.667 and 0.238, indicating good discrimination. In addition, the Hosmer-Lemeshow fitting test showed that the model has statistical significance (X<sup>2</sup> = 14.365, P = 0.001).</p><p><strong>Conclusions: </strong>The interlimb asymmetry of hip abduction isometric strength was associated with a greater likelihood of developing PF, and interlimb asymmetry of hip abduction isometric strength greater than 32.5% was a significant risk factor for the development of PF in male amateur marathon runners. The risk of PF occurence increased by 3.646 times if the interlimb asymmetry of hip abduction isometric strength greater than 32.5%. For clinicians, it is suggested to pay attention to the balanced development of bilateral muscle strength in the process of PF rehabilitation treatment, and regard the improvement of the interlimb asymmetry of hip abduction isometric strength as one of the rehabilitation therapies. Moreover, for runners and coaches, it is suggested that they should appropriately add unilateral or bilateral strength training (such as side-lying hip abduction training, clamshell exercise, supine bridge, etc.) in the daily training to ensure the balanced development of hip abduction strength, so as to prevent the occurrence of PF.</p>\",\"PeriodicalId\":48585,\"journal\":{\"name\":\"BMC Sports Science Medicine and Rehabilitation\",\"volume\":\"17 1\",\"pages\":\"255\"},\"PeriodicalIF\":2.8000,\"publicationDate\":\"2025-08-28\",\"publicationTypes\":\"Journal Article\",\"fieldsOfStudy\":null,\"isOpenAccess\":false,\"openAccessPdf\":\"https://www.ncbi.nlm.nih.gov/pmc/articles/PMC12395752/pdf/\",\"citationCount\":\"0\",\"resultStr\":null,\"platform\":\"Semanticscholar\",\"paperid\":null,\"PeriodicalName\":\"BMC Sports Science Medicine and Rehabilitation\",\"FirstCategoryId\":\"3\",\"ListUrlMain\":\"https://doi.org/10.1186/s13102-025-01295-z\",\"RegionNum\":3,\"RegionCategory\":\"医学\",\"ArticlePicture\":[],\"TitleCN\":null,\"AbstractTextCN\":null,\"PMCID\":null,\"EPubDate\":\"\",\"PubModel\":\"\",\"JCR\":\"Q1\",\"JCRName\":\"REHABILITATION\",\"Score\":null,\"Total\":0}","platform":"Semanticscholar","paperid":null,"PeriodicalName":"BMC Sports Science Medicine and Rehabilitation","FirstCategoryId":"3","ListUrlMain":"https://doi.org/10.1186/s13102-025-01295-z","RegionNum":3,"RegionCategory":"医学","ArticlePicture":[],"TitleCN":null,"AbstractTextCN":null,"PMCID":null,"EPubDate":"","PubModel":"","JCR":"Q1","JCRName":"REHABILITATION","Score":null,"Total":0}
引用次数: 0

摘要

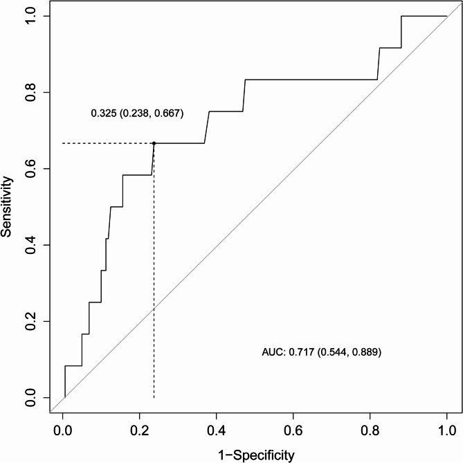
背景:足底筋膜炎(PF)是第三种最常见的跑步相关损伤。然而,关于马拉松运动员下肢等距力量的肢间不对称性与PF之间关系的研究很少。本研究旨在探讨下肢等距力量的肢间不对称是否能预测男性业余马拉松运动员的PF。方法:对172名男性业余马拉松运动员进行下肢等距力量测试,采用MicroFet 3肌肉测试测力仪和倾斜仪。计算了下肢等距强度的肢间不对称性。随访3个月,记录PF发生率,采用独立样本t检验、logistic回归分析和受试者工作特征(ROC)曲线分析进行统计学分析。结果:在3个月的随访中,共有12名跑步者发生了PF, logistic回归分析结果显示,髋关节外展等距力量的肢间不对称与PF的发生有显著相关(OR = 3.646; 95%CI:1.193 ~ 11.148; P = 0.023)。ROC曲线分析显示,ROC曲线下面积为0.717 (95% CI: 0.544-0.889, P = 0.012),髋外展等距强度的肢间不对称诊断PF的敏感性和特异性分别为0.667和0.238,具有较好的鉴别能力。此外,Hosmer-Lemeshow拟合检验显示模型具有统计学意义(X2 = 14.365, P = 0.001)。结论:髋关节外展等距力量的肢间不对称与发生PF的可能性增加有关,髋关节外展等距力量的肢间不对称大于32.5%是男性业余马拉松运动员发生PF的显著危险因素。当髋外展等距强度的肢间不对称性大于32.5%时,发生PF的风险增加3.646倍。对于临床医生而言,建议在PF康复治疗过程中注意双侧肌力的平衡发展,并将改善髋关节外展等距力量的肢间不对称作为康复治疗方法之一。而且,对于跑者和教练员来说,建议在日常训练中适当增加单侧或双侧力量训练(如侧卧髋外展训练、翻盖运动、仰卧桥等),保证髋外展力量的均衡发展,从而防止PF的发生。
本文章由计算机程序翻译,如有差异,请以英文原文为准。

Interlimb asymmetries of lower limb isometric strength for predicting plantar fasciitis in male amateur marathon runners: a prospective cohort study.

Interlimb asymmetries of lower limb isometric strength for predicting plantar fasciitis in male amateur marathon runners: a prospective cohort study.

Background: Plantar fasciitis (PF) is the third most common type of running-related injuries. However, there are few studies on the association between interlimb asymmetry of lower limb isometric strength and PF among marathon runners. The present study aims to investigate whether the interlimb asymmetry of lower limb isometric strength could predict PF in male amateur marathon runners.

Methods: 172 male amateur marathon runners were tested for lower limb isometric strength using the MicroFet 3 muscle testing dynamometer and inclinometer. The interlimb asymmetry of the lower limb isometric strength were calculated. Subsequently, the subjects were followed up for 3-month to record the incidence of PF. Statistical analysis was performed using independent-sample t test, logistic regression analysis and receiver operating characteristic (ROC) curve analysis.

Results: During the 3-month follow-up, a total of 12 runners experienced PF. The results of logistic regression analysis showed that the interlimb asymmetry of hip abduction isometric strength was significantly correlated with PF development (OR = 3.646; 95%CI:1.193-11.148; P = 0.023). The ROC curve analysis revealed that the area under the ROC curve was 0.717 (95% CI: 0.544-0.889, P = 0.012), and the sensitivity and specificity of the interlimb asymmetry of the hip abduction isometric strength for diagnosing PF were 0.667 and 0.238, indicating good discrimination. In addition, the Hosmer-Lemeshow fitting test showed that the model has statistical significance (X2 = 14.365, P = 0.001).

Conclusions: The interlimb asymmetry of hip abduction isometric strength was associated with a greater likelihood of developing PF, and interlimb asymmetry of hip abduction isometric strength greater than 32.5% was a significant risk factor for the development of PF in male amateur marathon runners. The risk of PF occurence increased by 3.646 times if the interlimb asymmetry of hip abduction isometric strength greater than 32.5%. For clinicians, it is suggested to pay attention to the balanced development of bilateral muscle strength in the process of PF rehabilitation treatment, and regard the improvement of the interlimb asymmetry of hip abduction isometric strength as one of the rehabilitation therapies. Moreover, for runners and coaches, it is suggested that they should appropriately add unilateral or bilateral strength training (such as side-lying hip abduction training, clamshell exercise, supine bridge, etc.) in the daily training to ensure the balanced development of hip abduction strength, so as to prevent the occurrence of PF.

求助全文
通过发布文献求助,成功后即可免费获取论文全文。 去求助
来源期刊
BMC Sports Science Medicine and Rehabilitation
BMC Sports Science Medicine and Rehabilitation Medicine-Orthopedics and Sports Medicine
CiteScore
3.00
自引率
5.30%
发文量
196
审稿时长
26 weeks
期刊介绍: BMC Sports Science, Medicine and Rehabilitation is an open access, peer reviewed journal that considers articles on all aspects of sports medicine and the exercise sciences, including rehabilitation, traumatology, cardiology, physiology, and nutrition.
×
引用
GB/T 7714-2015
复制
MLA
复制
APA
复制
导出至
BibTeX EndNote RefMan NoteFirst NoteExpress
×
提示
您的信息不完整,为了账户安全,请先补充。
现在去补充
×
提示
您因"违规操作"
具体请查看互助需知
我知道了
×
提示
确定
请完成安全验证×
copy
已复制链接
快去分享给好友吧!
我知道了
右上角分享
点击右上角分享
0
联系我们:info@booksci.cn Book学术提供免费学术资源搜索服务,方便国内外学者检索中英文文献。致力于提供最便捷和优质的服务体验。 Copyright © 2023 布克学术 All rights reserved.
京ICP备2023020795号-1
ghs 京公网安备 11010802042870号
Book学术文献互助
Book学术文献互助群
群 号:604180095
Book学术官方微信