循环生长激素、皮质醇和睾酮与维生素D状态的关系:优秀艺术体操运动员下半身和上半身wingate无氧试验的影响。

IF 2.8 3区 医学 Q1 REHABILITATION
Jan Mieszkowski, Paulina Brzezińska, Magdalena Kochanowicz, Bartłomiej Niespodziński, Rafał Grad, Piotr Sawicki, Jędrzej Antosiewicz, Andrzej Kochanowicz
{"title":"循环生长激素、皮质醇和睾酮与维生素D状态的关系:优秀艺术体操运动员下半身和上半身wingate无氧试验的影响。","authors":"Jan Mieszkowski, Paulina Brzezińska, Magdalena Kochanowicz, Bartłomiej Niespodziński, Rafał Grad, Piotr Sawicki, Jędrzej Antosiewicz, Andrzej Kochanowicz","doi":"10.1186/s13102-025-01291-3","DOIUrl":null,"url":null,"abstract":"<p><strong>Background and study aim: </strong>It is well known that professional physical training may be one of the factors modifying s circulating serum level of growth hormone, testosterone and cortisol. However, the effect of high-intensity upper and lower body Wingate Anaerobic Test (WAnT) on the serum hormone levels in association to vitamin D status still remains unspecified. The aim of the current study was to verify hypotheses that a longstanding background in elite gymnastics training induces adaptive changes in hormonal homeostasis during upper- and lower-body WAnT, and that these changes are modulated by muscle group engagement and vitamin D status.</p><p><strong>Materials and methods: </strong>Fifteen elite male artistic gymnasts (21.3 ± 3.4 years-old) and 14 physically active men (the control group, 20.2 ± 1.1) voluntarily participated in this study. Blood was collected using venipuncture procedures (antecubital vein) in tree timepoints: before, immediately and 60 min after WAnT. Hormone measurements consisted of levels of free human growth hormone (hGH), testosterone and cortisol in blood serum. Measurement was made using chemiluminescence method. Vitamin D active metabolites, 25-hydroxyvitamin D<sub>2</sub> [25(OH)D<sub>2</sub>] and 25-hydroxyvitamin D<sub>3</sub> [25(OH)D<sub>3</sub>], as a proportion of the total serum concentration of 25-hydroxyvitamin D [25(OH)D], were analysed using the commercially available Total 25OH Vitamin D ELISA kits.</p><p><strong>Results: </strong>Significantly higher performance during upper-body WAnT were observed in professional gymnasts' groups, for mean power normalized to body mass. Furthermore, gymnasts showed higher serum concentration for hGH, and testosterone immediately after upper-body WAnT. An inverse relationship was observed in cortisol, whose concentration changes were greater in the control group. Additionally, in control group, baseline vitamin D positively correlated with cortisol changes post lower-body WAnT but negatively with testosterone changes immediately after lower-body WAnT.</p><p><strong>Conclusions: </strong>Gymnastic training affects anaerobic performance and hormonal status by altering the serum concentrations of hGH, cortisol, and testosterone in response to anaerobic exercise. Moreover, hormonal status is associated with vitamin D concentration, and shows its significant regulating properties in post exercises response.</p>","PeriodicalId":48585,"journal":{"name":"BMC Sports Science Medicine and Rehabilitation","volume":"17 1","pages":"252"},"PeriodicalIF":2.8000,"publicationDate":"2025-08-27","publicationTypes":"Journal Article","fieldsOfStudy":null,"isOpenAccess":false,"openAccessPdf":"https://www.ncbi.nlm.nih.gov/pmc/articles/PMC12382115/pdf/","citationCount":"0","resultStr":"{\"title\":\"Circulating growth hormone, cortisol and testosterone in relation to vitamin D status: influence of lower and upper body wingate anaerobic test in elite artistic gymnasts.\",\"authors\":\"Jan Mieszkowski, Paulina Brzezińska, Magdalena Kochanowicz, Bartłomiej Niespodziński, Rafał Grad, Piotr Sawicki, Jędrzej Antosiewicz, Andrzej Kochanowicz\",\"doi\":\"10.1186/s13102-025-01291-3\",\"DOIUrl\":null,\"url\":null,\"abstract\":\"<p><strong>Background and study aim: </strong>It is well known that professional physical training may be one of the factors modifying s circulating serum level of growth hormone, testosterone and cortisol. However, the effect of high-intensity upper and lower body Wingate Anaerobic Test (WAnT) on the serum hormone levels in association to vitamin D status still remains unspecified. The aim of the current study was to verify hypotheses that a longstanding background in elite gymnastics training induces adaptive changes in hormonal homeostasis during upper- and lower-body WAnT, and that these changes are modulated by muscle group engagement and vitamin D status.</p><p><strong>Materials and methods: </strong>Fifteen elite male artistic gymnasts (21.3 ± 3.4 years-old) and 14 physically active men (the control group, 20.2 ± 1.1) voluntarily participated in this study. Blood was collected using venipuncture procedures (antecubital vein) in tree timepoints: before, immediately and 60 min after WAnT. Hormone measurements consisted of levels of free human growth hormone (hGH), testosterone and cortisol in blood serum. Measurement was made using chemiluminescence method. Vitamin D active metabolites, 25-hydroxyvitamin D<sub>2</sub> [25(OH)D<sub>2</sub>] and 25-hydroxyvitamin D<sub>3</sub> [25(OH)D<sub>3</sub>], as a proportion of the total serum concentration of 25-hydroxyvitamin D [25(OH)D], were analysed using the commercially available Total 25OH Vitamin D ELISA kits.</p><p><strong>Results: </strong>Significantly higher performance during upper-body WAnT were observed in professional gymnasts' groups, for mean power normalized to body mass. Furthermore, gymnasts showed higher serum concentration for hGH, and testosterone immediately after upper-body WAnT. An inverse relationship was observed in cortisol, whose concentration changes were greater in the control group. Additionally, in control group, baseline vitamin D positively correlated with cortisol changes post lower-body WAnT but negatively with testosterone changes immediately after lower-body WAnT.</p><p><strong>Conclusions: </strong>Gymnastic training affects anaerobic performance and hormonal status by altering the serum concentrations of hGH, cortisol, and testosterone in response to anaerobic exercise. Moreover, hormonal status is associated with vitamin D concentration, and shows its significant regulating properties in post exercises response.</p>\",\"PeriodicalId\":48585,\"journal\":{\"name\":\"BMC Sports Science Medicine and Rehabilitation\",\"volume\":\"17 1\",\"pages\":\"252\"},\"PeriodicalIF\":2.8000,\"publicationDate\":\"2025-08-27\",\"publicationTypes\":\"Journal Article\",\"fieldsOfStudy\":null,\"isOpenAccess\":false,\"openAccessPdf\":\"https://www.ncbi.nlm.nih.gov/pmc/articles/PMC12382115/pdf/\",\"citationCount\":\"0\",\"resultStr\":null,\"platform\":\"Semanticscholar\",\"paperid\":null,\"PeriodicalName\":\"BMC Sports Science Medicine and Rehabilitation\",\"FirstCategoryId\":\"3\",\"ListUrlMain\":\"https://doi.org/10.1186/s13102-025-01291-3\",\"RegionNum\":3,\"RegionCategory\":\"医学\",\"ArticlePicture\":[],\"TitleCN\":null,\"AbstractTextCN\":null,\"PMCID\":null,\"EPubDate\":\"\",\"PubModel\":\"\",\"JCR\":\"Q1\",\"JCRName\":\"REHABILITATION\",\"Score\":null,\"Total\":0}","platform":"Semanticscholar","paperid":null,"PeriodicalName":"BMC Sports Science Medicine and Rehabilitation","FirstCategoryId":"3","ListUrlMain":"https://doi.org/10.1186/s13102-025-01291-3","RegionNum":3,"RegionCategory":"医学","ArticlePicture":[],"TitleCN":null,"AbstractTextCN":null,"PMCID":null,"EPubDate":"","PubModel":"","JCR":"Q1","JCRName":"REHABILITATION","Score":null,"Total":0}
引用次数: 0

摘要

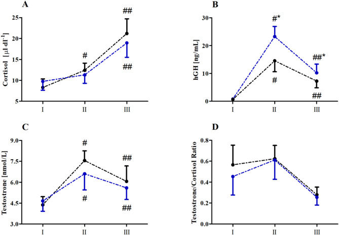
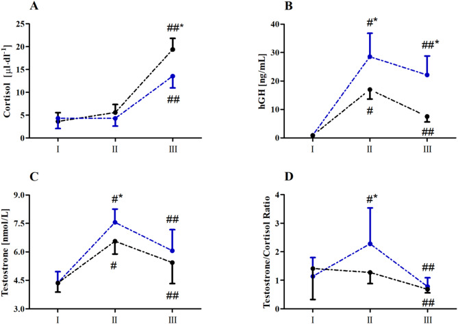
背景与研究目的:专业体育训练可能是影响循环血清中生长激素、睾酮和皮质醇水平的因素之一。然而,高强度上半身和下半身Wingate厌氧试验(WAnT)对血清激素水平与维生素D状态的影响仍未明确。本研究的目的是验证这样的假设,即长期的精英体操训练背景在上半身和下半身WAnT期间诱导激素稳态的适应性变化,这些变化是由肌肉群参与和维生素D状态调节的。材料与方法:15名优秀男性艺术体操运动员(21.3±3.4岁)和14名体力活动男性(对照组,20.2±1.1岁)自愿参加本研究。采用静脉穿刺方法(肘前静脉)在三个时间点采血:静脉穿刺前、即刻和静脉穿刺后60分钟。激素测量包括血清中游离人类生长激素(hGH)、睾酮和皮质醇的水平。采用化学发光法测定。使用市售的total 25OH Vitamin D ELISA试剂盒分析维生素D活性代谢物25-羟维生素D2 [25(OH)D2]和25-羟维生素D3 [25(OH)D3]占25-羟维生素D [25(OH)D]血清总浓度的比例。结果:专业体操运动员组在上肢WAnT中表现显著提高,平均力量与体重归一化。此外,体操运动员在上肢WAnT后立即显示出更高的血清hGH和睾酮浓度。皮质醇呈反比关系,对照组的皮质醇浓度变化更大。此外,在对照组中,基线维生素D与下体WAnT后皮质醇变化呈正相关,而与下体WAnT后立即睾酮变化呈负相关。结论:体操训练通过改变无氧运动后hGH、皮质醇和睾酮的血清浓度来影响无氧表现和激素状态。此外,激素状态与维生素D浓度有关,并在运动后反应中显示出显著的调节特性。
本文章由计算机程序翻译,如有差异,请以英文原文为准。

Circulating growth hormone, cortisol and testosterone in relation to vitamin D status: influence of lower and upper body wingate anaerobic test in elite artistic gymnasts.

Circulating growth hormone, cortisol and testosterone in relation to vitamin D status: influence of lower and upper body wingate anaerobic test in elite artistic gymnasts.

Circulating growth hormone, cortisol and testosterone in relation to vitamin D status: influence of lower and upper body wingate anaerobic test in elite artistic gymnasts.

Background and study aim: It is well known that professional physical training may be one of the factors modifying s circulating serum level of growth hormone, testosterone and cortisol. However, the effect of high-intensity upper and lower body Wingate Anaerobic Test (WAnT) on the serum hormone levels in association to vitamin D status still remains unspecified. The aim of the current study was to verify hypotheses that a longstanding background in elite gymnastics training induces adaptive changes in hormonal homeostasis during upper- and lower-body WAnT, and that these changes are modulated by muscle group engagement and vitamin D status.

Materials and methods: Fifteen elite male artistic gymnasts (21.3 ± 3.4 years-old) and 14 physically active men (the control group, 20.2 ± 1.1) voluntarily participated in this study. Blood was collected using venipuncture procedures (antecubital vein) in tree timepoints: before, immediately and 60 min after WAnT. Hormone measurements consisted of levels of free human growth hormone (hGH), testosterone and cortisol in blood serum. Measurement was made using chemiluminescence method. Vitamin D active metabolites, 25-hydroxyvitamin D2 [25(OH)D2] and 25-hydroxyvitamin D3 [25(OH)D3], as a proportion of the total serum concentration of 25-hydroxyvitamin D [25(OH)D], were analysed using the commercially available Total 25OH Vitamin D ELISA kits.

Results: Significantly higher performance during upper-body WAnT were observed in professional gymnasts' groups, for mean power normalized to body mass. Furthermore, gymnasts showed higher serum concentration for hGH, and testosterone immediately after upper-body WAnT. An inverse relationship was observed in cortisol, whose concentration changes were greater in the control group. Additionally, in control group, baseline vitamin D positively correlated with cortisol changes post lower-body WAnT but negatively with testosterone changes immediately after lower-body WAnT.

Conclusions: Gymnastic training affects anaerobic performance and hormonal status by altering the serum concentrations of hGH, cortisol, and testosterone in response to anaerobic exercise. Moreover, hormonal status is associated with vitamin D concentration, and shows its significant regulating properties in post exercises response.

求助全文
通过发布文献求助,成功后即可免费获取论文全文。 去求助
来源期刊
BMC Sports Science Medicine and Rehabilitation
BMC Sports Science Medicine and Rehabilitation Medicine-Orthopedics and Sports Medicine
CiteScore
3.00
自引率
5.30%
发文量
196
审稿时长
26 weeks
期刊介绍: BMC Sports Science, Medicine and Rehabilitation is an open access, peer reviewed journal that considers articles on all aspects of sports medicine and the exercise sciences, including rehabilitation, traumatology, cardiology, physiology, and nutrition.
×
引用
GB/T 7714-2015
复制
MLA
复制
APA
复制
导出至
BibTeX EndNote RefMan NoteFirst NoteExpress
×
提示
您的信息不完整,为了账户安全,请先补充。
现在去补充
×
提示
您因"违规操作"
具体请查看互助需知
我知道了
×
提示
确定
请完成安全验证×
copy
已复制链接
快去分享给好友吧!
我知道了
右上角分享
点击右上角分享
0
联系我们:info@booksci.cn Book学术提供免费学术资源搜索服务,方便国内外学者检索中英文文献。致力于提供最便捷和优质的服务体验。 Copyright © 2023 布克学术 All rights reserved.
京ICP备2023020795号-1
ghs 京公网安备 11010802042870号
Book学术文献互助
Book学术文献互助群
群 号:604180095
Book学术官方微信