边缘型人格障碍症状严重程度评估工具的开发与心理测量学评估。

IF 2.7 2区 医学 Q1 PSYCHIATRY
Büsra Senyüz, Ruben Vonderlin, Carola Claus, Saskia Mahalingam, Stefan Koch, Ulrich Voderholzer, Tobias Teismann, Nikolaus Kleindienst, Jan R Böhnke, Stefanie Lis, Tali Boritz, Shelley McMain, Martin Bohus
{"title":"边缘型人格障碍症状严重程度评估工具的开发与心理测量学评估。","authors":"Büsra Senyüz, Ruben Vonderlin, Carola Claus, Saskia Mahalingam, Stefan Koch, Ulrich Voderholzer, Tobias Teismann, Nikolaus Kleindienst, Jan R Böhnke, Stefanie Lis, Tali Boritz, Shelley McMain, Martin Bohus","doi":"10.1186/s40479-025-00310-6","DOIUrl":null,"url":null,"abstract":"<p><strong>Background: </strong>Borderline Personality Disorder (BPD) is a complex mental health condition characterized by pervasive instability in mood, interpersonal relationships, self-concepts, and behavior. A reliable assessment of BPD symptom severity is essential for effective treatment planning and evaluation. This study introduces and evaluates the Borderline Symptom List Interview (BSL-I), a semi-structured interview designed to assess the severity of BPD symptoms comprehensively.</p><p><strong>Method: </strong>The BSL-I is a freely accessible 31-item interview designed to assess BPD symptom severity. It evaluates (a) the frequency and subjective distress associated with BPD-specific and typical psychopathological symptoms, (b) the behavioral consequences of these symptoms, (c) functional impairment, and (d) facets of positive mental health. The items were developed through an iterative process, incorporating feedback from international experts and individuals with lived experience of BPD. Psychometric properties of the BSL-I were examined cross-sectionally in different samples of clients meeting DSM-5 criteria for BPD (n = 171), clinical controls (n = 89), and healthy controls (n = 43).</p><p><strong>Results: </strong>The BSL-I demonstrates good internal consistency within the BPD sample (Cronbach's α = 0.82) and good interrater reliability (ICC = 0.768). It significantly discriminates between BPD clients and clinical controls (Cohen's d = 2.02) and healthy controls (Cohen's d = 3.88). High correlations were observed with other established BPD symptom measures, including the number of IPDE criteria (r = 0.70, p < 0.001) and the BSL-23 (r = 0.83, p < 0.001).</p><p><strong>Discussion: </strong>Our findings indicate that the BSL-I is a reliable and valid multidimensional instrument for assessing the severity of BPD. Both clinical experts and clients found the application of the BSL-I acceptable and feasible. Future research might explore its sensitivity to change resulting from psychosocial treatments and assess its utility for treatment planning and outcome measurement.</p><p><strong>Conclusion: </strong>The BSL-I is a practical and psychometrically sound instrument for assessing the severity of BPD symptoms in clinical and research contexts.</p>","PeriodicalId":48586,"journal":{"name":"Borderline Personality Disorder and Emotion Dysregulation","volume":"12 1","pages":"33"},"PeriodicalIF":2.7000,"publicationDate":"2025-08-28","publicationTypes":"Journal Article","fieldsOfStudy":null,"isOpenAccess":false,"openAccessPdf":"https://www.ncbi.nlm.nih.gov/pmc/articles/PMC12395751/pdf/","citationCount":"0","resultStr":"{\"title\":\"The Borderline Symptom List-Interview: development and psychometric evaluation of an observer-based instrument for assessing symptom severity in borderline personality disorder.\",\"authors\":\"Büsra Senyüz, Ruben Vonderlin, Carola Claus, Saskia Mahalingam, Stefan Koch, Ulrich Voderholzer, Tobias Teismann, Nikolaus Kleindienst, Jan R Böhnke, Stefanie Lis, Tali Boritz, Shelley McMain, Martin Bohus\",\"doi\":\"10.1186/s40479-025-00310-6\",\"DOIUrl\":null,\"url\":null,\"abstract\":\"<p><strong>Background: </strong>Borderline Personality Disorder (BPD) is a complex mental health condition characterized by pervasive instability in mood, interpersonal relationships, self-concepts, and behavior. A reliable assessment of BPD symptom severity is essential for effective treatment planning and evaluation. This study introduces and evaluates the Borderline Symptom List Interview (BSL-I), a semi-structured interview designed to assess the severity of BPD symptoms comprehensively.</p><p><strong>Method: </strong>The BSL-I is a freely accessible 31-item interview designed to assess BPD symptom severity. It evaluates (a) the frequency and subjective distress associated with BPD-specific and typical psychopathological symptoms, (b) the behavioral consequences of these symptoms, (c) functional impairment, and (d) facets of positive mental health. The items were developed through an iterative process, incorporating feedback from international experts and individuals with lived experience of BPD. Psychometric properties of the BSL-I were examined cross-sectionally in different samples of clients meeting DSM-5 criteria for BPD (n = 171), clinical controls (n = 89), and healthy controls (n = 43).</p><p><strong>Results: </strong>The BSL-I demonstrates good internal consistency within the BPD sample (Cronbach's α = 0.82) and good interrater reliability (ICC = 0.768). It significantly discriminates between BPD clients and clinical controls (Cohen's d = 2.02) and healthy controls (Cohen's d = 3.88). High correlations were observed with other established BPD symptom measures, including the number of IPDE criteria (r = 0.70, p < 0.001) and the BSL-23 (r = 0.83, p < 0.001).</p><p><strong>Discussion: </strong>Our findings indicate that the BSL-I is a reliable and valid multidimensional instrument for assessing the severity of BPD. Both clinical experts and clients found the application of the BSL-I acceptable and feasible. Future research might explore its sensitivity to change resulting from psychosocial treatments and assess its utility for treatment planning and outcome measurement.</p><p><strong>Conclusion: </strong>The BSL-I is a practical and psychometrically sound instrument for assessing the severity of BPD symptoms in clinical and research contexts.</p>\",\"PeriodicalId\":48586,\"journal\":{\"name\":\"Borderline Personality Disorder and Emotion Dysregulation\",\"volume\":\"12 1\",\"pages\":\"33\"},\"PeriodicalIF\":2.7000,\"publicationDate\":\"2025-08-28\",\"publicationTypes\":\"Journal Article\",\"fieldsOfStudy\":null,\"isOpenAccess\":false,\"openAccessPdf\":\"https://www.ncbi.nlm.nih.gov/pmc/articles/PMC12395751/pdf/\",\"citationCount\":\"0\",\"resultStr\":null,\"platform\":\"Semanticscholar\",\"paperid\":null,\"PeriodicalName\":\"Borderline Personality Disorder and Emotion Dysregulation\",\"FirstCategoryId\":\"3\",\"ListUrlMain\":\"https://doi.org/10.1186/s40479-025-00310-6\",\"RegionNum\":2,\"RegionCategory\":\"医学\",\"ArticlePicture\":[],\"TitleCN\":null,\"AbstractTextCN\":null,\"PMCID\":null,\"EPubDate\":\"\",\"PubModel\":\"\",\"JCR\":\"Q1\",\"JCRName\":\"PSYCHIATRY\",\"Score\":null,\"Total\":0}","platform":"Semanticscholar","paperid":null,"PeriodicalName":"Borderline Personality Disorder and Emotion Dysregulation","FirstCategoryId":"3","ListUrlMain":"https://doi.org/10.1186/s40479-025-00310-6","RegionNum":2,"RegionCategory":"医学","ArticlePicture":[],"TitleCN":null,"AbstractTextCN":null,"PMCID":null,"EPubDate":"","PubModel":"","JCR":"Q1","JCRName":"PSYCHIATRY","Score":null,"Total":0}
引用次数: 0

摘要

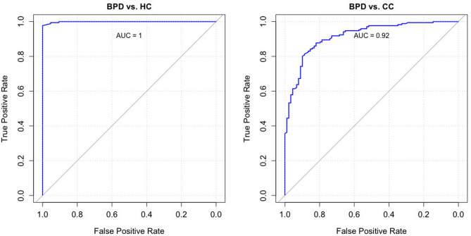
背景:边缘型人格障碍(BPD)是一种复杂的精神健康状况,其特征是情绪、人际关系、自我概念和行为的普遍不稳定。对BPD症状严重程度的可靠评估对于有效的治疗计划和评估至关重要。本研究引入并评估边缘性症状表访谈(BSL-I),一种旨在全面评估BPD症状严重程度的半结构化访谈。方法:bsl - 1是一种可自由获取的31项访谈,旨在评估BPD症状的严重程度。它评估(a)与bpd特异性和典型精神病理症状相关的频率和主观痛苦,(b)这些症状的行为后果,(c)功能损伤,以及(d)积极心理健康的各个方面。这些项目是通过一个反复的过程开发的,结合了来自国际专家和具有BPD生活经验的个人的反馈。在符合DSM-5 BPD标准的患者(n = 171)、临床对照(n = 89)和健康对照(n = 43)的不同样本中,横断面检查了bsl - 1的心理测量特性。结果:bsl - 1在BPD样本内具有良好的内部一致性(Cronbach’s α = 0.82)和良好的互信度(ICC = 0.768)。BPD患者与临床对照(Cohen’s d = 2.02)和健康对照(Cohen’s d = 3.88)之间存在显著差异。讨论:我们的研究结果表明,bsl - 1是评估BPD严重程度的可靠和有效的多维工具。临床专家和患者均认为bsl - 1的应用是可接受和可行的。未来的研究可能会探索其对心理社会治疗引起的变化的敏感性,并评估其在治疗计划和结果测量中的效用。结论:在临床和研究中,bsl - 1是一种实用的、心理测量学上可靠的BPD症状严重程度评估工具。
本文章由计算机程序翻译,如有差异,请以英文原文为准。

The Borderline Symptom List-Interview: development and psychometric evaluation of an observer-based instrument for assessing symptom severity in borderline personality disorder.

The Borderline Symptom List-Interview: development and psychometric evaluation of an observer-based instrument for assessing symptom severity in borderline personality disorder.

The Borderline Symptom List-Interview: development and psychometric evaluation of an observer-based instrument for assessing symptom severity in borderline personality disorder.

The Borderline Symptom List-Interview: development and psychometric evaluation of an observer-based instrument for assessing symptom severity in borderline personality disorder.

Background: Borderline Personality Disorder (BPD) is a complex mental health condition characterized by pervasive instability in mood, interpersonal relationships, self-concepts, and behavior. A reliable assessment of BPD symptom severity is essential for effective treatment planning and evaluation. This study introduces and evaluates the Borderline Symptom List Interview (BSL-I), a semi-structured interview designed to assess the severity of BPD symptoms comprehensively.

Method: The BSL-I is a freely accessible 31-item interview designed to assess BPD symptom severity. It evaluates (a) the frequency and subjective distress associated with BPD-specific and typical psychopathological symptoms, (b) the behavioral consequences of these symptoms, (c) functional impairment, and (d) facets of positive mental health. The items were developed through an iterative process, incorporating feedback from international experts and individuals with lived experience of BPD. Psychometric properties of the BSL-I were examined cross-sectionally in different samples of clients meeting DSM-5 criteria for BPD (n = 171), clinical controls (n = 89), and healthy controls (n = 43).

Results: The BSL-I demonstrates good internal consistency within the BPD sample (Cronbach's α = 0.82) and good interrater reliability (ICC = 0.768). It significantly discriminates between BPD clients and clinical controls (Cohen's d = 2.02) and healthy controls (Cohen's d = 3.88). High correlations were observed with other established BPD symptom measures, including the number of IPDE criteria (r = 0.70, p < 0.001) and the BSL-23 (r = 0.83, p < 0.001).

Discussion: Our findings indicate that the BSL-I is a reliable and valid multidimensional instrument for assessing the severity of BPD. Both clinical experts and clients found the application of the BSL-I acceptable and feasible. Future research might explore its sensitivity to change resulting from psychosocial treatments and assess its utility for treatment planning and outcome measurement.

Conclusion: The BSL-I is a practical and psychometrically sound instrument for assessing the severity of BPD symptoms in clinical and research contexts.

求助全文
通过发布文献求助,成功后即可免费获取论文全文。 去求助
来源期刊
CiteScore
6.00
自引率
9.80%
发文量
30
审稿时长
28 weeks
期刊介绍: Borderline Personality Disorder and Emotion Dysregulation provides a platform for researchers and clinicians interested in borderline personality disorder (BPD) as a currently highly challenging psychiatric disorder. Emotion dysregulation is at the core of BPD but also stands on its own as a major pathological component of the underlying neurobiology of various other psychiatric disorders. The journal focuses on the psychological, social and neurobiological aspects of emotion dysregulation as well as epidemiology, phenomenology, pathophysiology, treatment, neurobiology, genetics, and animal models of BPD.
×
引用
GB/T 7714-2015
复制
MLA
复制
APA
复制
导出至
BibTeX EndNote RefMan NoteFirst NoteExpress
×
提示
您的信息不完整,为了账户安全,请先补充。
现在去补充
×
提示
您因"违规操作"
具体请查看互助需知
我知道了
×
提示
确定
请完成安全验证×
copy
已复制链接
快去分享给好友吧!
我知道了
右上角分享
点击右上角分享
0
联系我们:info@booksci.cn Book学术提供免费学术资源搜索服务,方便国内外学者检索中英文文献。致力于提供最便捷和优质的服务体验。 Copyright © 2023 布克学术 All rights reserved.
京ICP备2023020795号-1
ghs 京公网安备 11010802042870号
Book学术文献互助
Book学术文献互助群
群 号:604180095
Book学术官方微信