老年人多重用药的医疗负担和临床结果:韩国一项基于人群的队列研究

IF 3.2 3区 医学 Q2 PUBLIC, ENVIRONMENTAL & OCCUPATIONAL HEALTH
Zhaoyan Piao, Kyung Sun Oh, Euna Han
{"title":"老年人多重用药的医疗负担和临床结果:韩国一项基于人群的队列研究","authors":"Zhaoyan Piao, Kyung Sun Oh, Euna Han","doi":"10.1186/s13690-025-01703-3","DOIUrl":null,"url":null,"abstract":"<p><strong>Background: </strong>Polypharmacy is a prevalent issue in aging societies, with potential health and cost implications. This study evaluated the impact of polypharmacy on hospitalization rates and healthcare expenditure among individuals aged 65 years and older in South Korea.</p><p><strong>Methods: </strong>We analyzed integrated data from the 2012-2016 Korean National Health and Nutrition Examination Survey alongside administrative claims data from the National Health Insurance Service and Health Insurance Review and Assessment Service. Medical costs were calculated as total annual per capita expenses, encompassing outpatient visit, hospitalization, and drug costs. Key clinical outcomes included hospitalization and mortality. To evaluate the effects of polypharmacy on outpatient visits, medication costs, and total expenditures, we performed a multivariable linear regression analysis. A two-part model was used to estimate hospitalization costs.</p><p><strong>Results: </strong>The analysis included 3,297 participants. Polypharmacy was significantly associated with higher hospitalization risk (OR, 1.52; 95% CI, 1.28-1.81) and mortality (OR, 3.17; 95% CI, 1.19-8.44). Polypharmacy also corresponded with increased healthcare expenditures, particularly in total, outpatient visit, and medication costs, with the highest associations observed in individuals aged 65-79 and those living alone. Multivariable linear regression revealed a higher annual average total healthcare cost by 872,018 KRW, with outpatient and medication costs by 324,879 KRW and 536,721 KRW, respectively (p < 0.05) for polypharmacy group than the counterparts.</p><p><strong>Conclusion: </strong>This study demonstrates that polypharmacy among older adults is significantly associated with higher healthcare costs and risks of hospitalization and mortality. Findings suggest that integrated care models, incorporating medication reviews and tailored care plans, alongside community resources to support isolated seniors, may mitigate healthcare costs and improve health outcomes.</p>","PeriodicalId":48578,"journal":{"name":"Archives of Public Health","volume":"83 1","pages":"217"},"PeriodicalIF":3.2000,"publicationDate":"2025-08-25","publicationTypes":"Journal Article","fieldsOfStudy":null,"isOpenAccess":false,"openAccessPdf":"https://www.ncbi.nlm.nih.gov/pmc/articles/PMC12376462/pdf/","citationCount":"0","resultStr":"{\"title\":\"Healthcare burden and clinical outcomes of polypharmacy in older adults: a population-based cohort study in South Korea.\",\"authors\":\"Zhaoyan Piao, Kyung Sun Oh, Euna Han\",\"doi\":\"10.1186/s13690-025-01703-3\",\"DOIUrl\":null,\"url\":null,\"abstract\":\"<p><strong>Background: </strong>Polypharmacy is a prevalent issue in aging societies, with potential health and cost implications. This study evaluated the impact of polypharmacy on hospitalization rates and healthcare expenditure among individuals aged 65 years and older in South Korea.</p><p><strong>Methods: </strong>We analyzed integrated data from the 2012-2016 Korean National Health and Nutrition Examination Survey alongside administrative claims data from the National Health Insurance Service and Health Insurance Review and Assessment Service. Medical costs were calculated as total annual per capita expenses, encompassing outpatient visit, hospitalization, and drug costs. Key clinical outcomes included hospitalization and mortality. To evaluate the effects of polypharmacy on outpatient visits, medication costs, and total expenditures, we performed a multivariable linear regression analysis. A two-part model was used to estimate hospitalization costs.</p><p><strong>Results: </strong>The analysis included 3,297 participants. Polypharmacy was significantly associated with higher hospitalization risk (OR, 1.52; 95% CI, 1.28-1.81) and mortality (OR, 3.17; 95% CI, 1.19-8.44). Polypharmacy also corresponded with increased healthcare expenditures, particularly in total, outpatient visit, and medication costs, with the highest associations observed in individuals aged 65-79 and those living alone. Multivariable linear regression revealed a higher annual average total healthcare cost by 872,018 KRW, with outpatient and medication costs by 324,879 KRW and 536,721 KRW, respectively (p < 0.05) for polypharmacy group than the counterparts.</p><p><strong>Conclusion: </strong>This study demonstrates that polypharmacy among older adults is significantly associated with higher healthcare costs and risks of hospitalization and mortality. Findings suggest that integrated care models, incorporating medication reviews and tailored care plans, alongside community resources to support isolated seniors, may mitigate healthcare costs and improve health outcomes.</p>\",\"PeriodicalId\":48578,\"journal\":{\"name\":\"Archives of Public Health\",\"volume\":\"83 1\",\"pages\":\"217\"},\"PeriodicalIF\":3.2000,\"publicationDate\":\"2025-08-25\",\"publicationTypes\":\"Journal Article\",\"fieldsOfStudy\":null,\"isOpenAccess\":false,\"openAccessPdf\":\"https://www.ncbi.nlm.nih.gov/pmc/articles/PMC12376462/pdf/\",\"citationCount\":\"0\",\"resultStr\":null,\"platform\":\"Semanticscholar\",\"paperid\":null,\"PeriodicalName\":\"Archives of Public Health\",\"FirstCategoryId\":\"3\",\"ListUrlMain\":\"https://doi.org/10.1186/s13690-025-01703-3\",\"RegionNum\":3,\"RegionCategory\":\"医学\",\"ArticlePicture\":[],\"TitleCN\":null,\"AbstractTextCN\":null,\"PMCID\":null,\"EPubDate\":\"\",\"PubModel\":\"\",\"JCR\":\"Q2\",\"JCRName\":\"PUBLIC, ENVIRONMENTAL & OCCUPATIONAL HEALTH\",\"Score\":null,\"Total\":0}","platform":"Semanticscholar","paperid":null,"PeriodicalName":"Archives of Public Health","FirstCategoryId":"3","ListUrlMain":"https://doi.org/10.1186/s13690-025-01703-3","RegionNum":3,"RegionCategory":"医学","ArticlePicture":[],"TitleCN":null,"AbstractTextCN":null,"PMCID":null,"EPubDate":"","PubModel":"","JCR":"Q2","JCRName":"PUBLIC, ENVIRONMENTAL & OCCUPATIONAL HEALTH","Score":null,"Total":0}
引用次数: 0

摘要

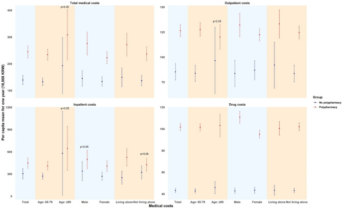
背景:多种用药是老龄化社会普遍存在的问题,具有潜在的健康和成本影响。本研究评估了韩国65岁及以上老年人使用多种药物对住院率和医疗保健支出的影响。方法:我们分析了2012-2016年韩国国民健康和营养检查调查的综合数据,以及来自国民健康保险服务和健康保险审查和评估服务的行政索赔数据。医疗费用按年人均总费用计算,包括门诊、住院和药费。主要临床结果包括住院和死亡率。为了评估综合用药对门诊就诊、用药费用和总支出的影响,我们进行了多变量线性回归分析。采用两部分模型估算住院费用。结果:分析包括3297名参与者。多药治疗与较高的住院风险(OR, 1.52; 95% CI, 1.28-1.81)和死亡率(OR, 3.17; 95% CI, 1.19-8.44)显著相关。多种用药也与增加的医疗保健支出相对应,特别是在总数、门诊就诊和药物费用方面,在65-79岁的个体和独居者中观察到的相关性最高。多变量线性回归显示,老年人的年平均总医疗费用增加了872018韩元,其中门诊费用和药物费用分别增加了324879韩元和536721韩元(p)。结论:本研究表明,老年人的多重用药与较高的医疗费用、住院和死亡风险显著相关。研究结果表明,综合护理模式,包括药物评估和量身定制的护理计划,以及社区资源来支持孤立的老年人,可能会降低医疗成本并改善健康结果。
本文章由计算机程序翻译,如有差异,请以英文原文为准。

Healthcare burden and clinical outcomes of polypharmacy in older adults: a population-based cohort study in South Korea.

Healthcare burden and clinical outcomes of polypharmacy in older adults: a population-based cohort study in South Korea.

Healthcare burden and clinical outcomes of polypharmacy in older adults: a population-based cohort study in South Korea.

Background: Polypharmacy is a prevalent issue in aging societies, with potential health and cost implications. This study evaluated the impact of polypharmacy on hospitalization rates and healthcare expenditure among individuals aged 65 years and older in South Korea.

Methods: We analyzed integrated data from the 2012-2016 Korean National Health and Nutrition Examination Survey alongside administrative claims data from the National Health Insurance Service and Health Insurance Review and Assessment Service. Medical costs were calculated as total annual per capita expenses, encompassing outpatient visit, hospitalization, and drug costs. Key clinical outcomes included hospitalization and mortality. To evaluate the effects of polypharmacy on outpatient visits, medication costs, and total expenditures, we performed a multivariable linear regression analysis. A two-part model was used to estimate hospitalization costs.

Results: The analysis included 3,297 participants. Polypharmacy was significantly associated with higher hospitalization risk (OR, 1.52; 95% CI, 1.28-1.81) and mortality (OR, 3.17; 95% CI, 1.19-8.44). Polypharmacy also corresponded with increased healthcare expenditures, particularly in total, outpatient visit, and medication costs, with the highest associations observed in individuals aged 65-79 and those living alone. Multivariable linear regression revealed a higher annual average total healthcare cost by 872,018 KRW, with outpatient and medication costs by 324,879 KRW and 536,721 KRW, respectively (p < 0.05) for polypharmacy group than the counterparts.

Conclusion: This study demonstrates that polypharmacy among older adults is significantly associated with higher healthcare costs and risks of hospitalization and mortality. Findings suggest that integrated care models, incorporating medication reviews and tailored care plans, alongside community resources to support isolated seniors, may mitigate healthcare costs and improve health outcomes.

求助全文
通过发布文献求助,成功后即可免费获取论文全文。 去求助
来源期刊
Archives of Public Health
Archives of Public Health Medicine-Public Health, Environmental and Occupational Health
CiteScore
4.80
自引率
3.00%
发文量
244
审稿时长
16 weeks
期刊介绍: rchives of Public Health is a broad scope public health journal, dedicated to publishing all sound science in the field of public health. The journal aims to better the understanding of the health of populations. The journal contributes to public health knowledge, enhances the interaction between research, policy and practice and stimulates public health monitoring and indicator development. The journal considers submissions on health outcomes and their determinants, with clear statements about the public health and policy implications. Archives of Public Health welcomes methodological papers (e.g., on study design and bias), papers on health services research, health economics, community interventions, and epidemiological studies dealing with international comparisons, the determinants of inequality in health, and the environmental, behavioural, social, demographic and occupational correlates of health and diseases.
×
引用
GB/T 7714-2015
复制
MLA
复制
APA
复制
导出至
BibTeX EndNote RefMan NoteFirst NoteExpress
×
提示
您的信息不完整,为了账户安全,请先补充。
现在去补充
×
提示
您因"违规操作"
具体请查看互助需知
我知道了
×
提示
确定
请完成安全验证×
copy
已复制链接
快去分享给好友吧!
我知道了
右上角分享
点击右上角分享
0
联系我们:info@booksci.cn Book学术提供免费学术资源搜索服务,方便国内外学者检索中英文文献。致力于提供最便捷和优质的服务体验。 Copyright © 2023 布克学术 All rights reserved.
京ICP备2023020795号-1
ghs 京公网安备 11010802042870号
Book学术文献互助
Book学术文献互助群
群 号:604180095
Book学术官方微信