单侧振动刺激抑制对侧脊髓前角细胞在相同的肌肉前75秒。

IF 2.9 Q1 REHABILITATION
Annals of Rehabilitation Medicine-ARM Pub Date : 2025-08-01 Epub Date: 2025-08-22 DOI:10.5535/arm.240107
Kenta Kunoh, Takahiro Takenaka, Daisuke Kimura, Toshiaki Suzuki
{"title":"单侧振动刺激抑制对侧脊髓前角细胞在相同的肌肉前75秒。","authors":"Kenta Kunoh, Takahiro Takenaka, Daisuke Kimura, Toshiaki Suzuki","doi":"10.5535/arm.240107","DOIUrl":null,"url":null,"abstract":"<p><strong>Objective: </strong>To investigate muscle tone changes over time in contralateral homonymous muscles when unilateral muscles are stimulated, using F-wave measurements, we examined whether vibratory stimulation on the contralateral homonymous muscle of the affected side may reduce spasticity, whose optimal duration remains unclear.</p><p><strong>Methods: </strong>Vibratory stimulation was applied to the right hand of healthy adults, using parameters of 80 Hz frequency, 0.4 mm amplitude, 400 g load, and 195 seconds of duration on the abductor digiti minimi muscle. F-wave was measured in the left hand before stimulation, at seven intervals during stimulation, and immediately after.</p><p><strong>Results: </strong>The F/M amplitude ratio decreased immediately at stimulation onset, at 30 seconds, and at 60 seconds compared to baseline. A least-squares analysis revealed a negative slope from baseline to 60 seconds (f(x)=-0.11x+1.12), while the slope became positive after 90 seconds, continuing after stimulation ended (f(x)=0.04x+0.82).</p><p><strong>Conclusion: </strong>Unilateral vibratory stimulation may decrease excitability in the spinal anterior horn cells of the contralateral homonymous muscle for up to 75 seconds post-stimulation, suggesting a potential mechanism for spasticity management.</p>","PeriodicalId":47738,"journal":{"name":"Annals of Rehabilitation Medicine-ARM","volume":"49 4","pages":"226-233"},"PeriodicalIF":2.9000,"publicationDate":"2025-08-01","publicationTypes":"Journal Article","fieldsOfStudy":null,"isOpenAccess":false,"openAccessPdf":"https://www.ncbi.nlm.nih.gov/pmc/articles/PMC12411864/pdf/","citationCount":"0","resultStr":"{\"title\":\"Unilateral Vibratory Stimulation Inhibits Contralateral Spinal Anterior Horn Cells in Homonymous Muscles for the First 75 Seconds.\",\"authors\":\"Kenta Kunoh, Takahiro Takenaka, Daisuke Kimura, Toshiaki Suzuki\",\"doi\":\"10.5535/arm.240107\",\"DOIUrl\":null,\"url\":null,\"abstract\":\"<p><strong>Objective: </strong>To investigate muscle tone changes over time in contralateral homonymous muscles when unilateral muscles are stimulated, using F-wave measurements, we examined whether vibratory stimulation on the contralateral homonymous muscle of the affected side may reduce spasticity, whose optimal duration remains unclear.</p><p><strong>Methods: </strong>Vibratory stimulation was applied to the right hand of healthy adults, using parameters of 80 Hz frequency, 0.4 mm amplitude, 400 g load, and 195 seconds of duration on the abductor digiti minimi muscle. F-wave was measured in the left hand before stimulation, at seven intervals during stimulation, and immediately after.</p><p><strong>Results: </strong>The F/M amplitude ratio decreased immediately at stimulation onset, at 30 seconds, and at 60 seconds compared to baseline. A least-squares analysis revealed a negative slope from baseline to 60 seconds (f(x)=-0.11x+1.12), while the slope became positive after 90 seconds, continuing after stimulation ended (f(x)=0.04x+0.82).</p><p><strong>Conclusion: </strong>Unilateral vibratory stimulation may decrease excitability in the spinal anterior horn cells of the contralateral homonymous muscle for up to 75 seconds post-stimulation, suggesting a potential mechanism for spasticity management.</p>\",\"PeriodicalId\":47738,\"journal\":{\"name\":\"Annals of Rehabilitation Medicine-ARM\",\"volume\":\"49 4\",\"pages\":\"226-233\"},\"PeriodicalIF\":2.9000,\"publicationDate\":\"2025-08-01\",\"publicationTypes\":\"Journal Article\",\"fieldsOfStudy\":null,\"isOpenAccess\":false,\"openAccessPdf\":\"https://www.ncbi.nlm.nih.gov/pmc/articles/PMC12411864/pdf/\",\"citationCount\":\"0\",\"resultStr\":null,\"platform\":\"Semanticscholar\",\"paperid\":null,\"PeriodicalName\":\"Annals of Rehabilitation Medicine-ARM\",\"FirstCategoryId\":\"1085\",\"ListUrlMain\":\"https://doi.org/10.5535/arm.240107\",\"RegionNum\":0,\"RegionCategory\":null,\"ArticlePicture\":[],\"TitleCN\":null,\"AbstractTextCN\":null,\"PMCID\":null,\"EPubDate\":\"2025/8/22 0:00:00\",\"PubModel\":\"Epub\",\"JCR\":\"Q1\",\"JCRName\":\"REHABILITATION\",\"Score\":null,\"Total\":0}","platform":"Semanticscholar","paperid":null,"PeriodicalName":"Annals of Rehabilitation Medicine-ARM","FirstCategoryId":"1085","ListUrlMain":"https://doi.org/10.5535/arm.240107","RegionNum":0,"RegionCategory":null,"ArticlePicture":[],"TitleCN":null,"AbstractTextCN":null,"PMCID":null,"EPubDate":"2025/8/22 0:00:00","PubModel":"Epub","JCR":"Q1","JCRName":"REHABILITATION","Score":null,"Total":0}
引用次数: 0

摘要

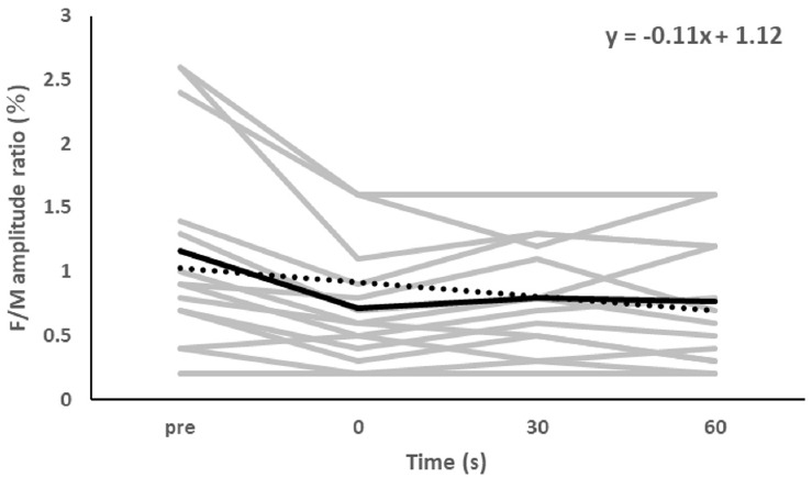
目的:为了研究单侧肌肉受到刺激时对侧同侧肌的肌张力随时间的变化,我们使用f波测量,研究了对侧受影响侧同侧肌的振动刺激是否可以减少痉挛,其最佳持续时间尚不清楚。方法:采用频率80 Hz、振幅0.4 mm、负荷400 g、持续时间195 s的方法,对健康成人右手小指外展肌进行振动刺激。在刺激前、刺激中和刺激后分别以7个间隔测量左手的f波。结果:与基线相比,F/M振幅比在刺激开始、30秒和60秒时立即下降。最小二乘分析显示,从基线到60秒,斜率为负(f(x)=-0.11x+1.12),而在90秒后斜率变为正,并在增产结束后继续(f(x)=0.04x+0.82)。结论:单侧振动刺激可降低对侧同侧肌脊髓前角细胞的兴奋性,刺激后可达75秒,提示痉挛管理的潜在机制。
本文章由计算机程序翻译,如有差异,请以英文原文为准。

Unilateral Vibratory Stimulation Inhibits Contralateral Spinal Anterior Horn Cells in Homonymous Muscles for the First 75 Seconds.

Unilateral Vibratory Stimulation Inhibits Contralateral Spinal Anterior Horn Cells in Homonymous Muscles for the First 75 Seconds.

Unilateral Vibratory Stimulation Inhibits Contralateral Spinal Anterior Horn Cells in Homonymous Muscles for the First 75 Seconds.

Unilateral Vibratory Stimulation Inhibits Contralateral Spinal Anterior Horn Cells in Homonymous Muscles for the First 75 Seconds.

Objective: To investigate muscle tone changes over time in contralateral homonymous muscles when unilateral muscles are stimulated, using F-wave measurements, we examined whether vibratory stimulation on the contralateral homonymous muscle of the affected side may reduce spasticity, whose optimal duration remains unclear.

Methods: Vibratory stimulation was applied to the right hand of healthy adults, using parameters of 80 Hz frequency, 0.4 mm amplitude, 400 g load, and 195 seconds of duration on the abductor digiti minimi muscle. F-wave was measured in the left hand before stimulation, at seven intervals during stimulation, and immediately after.

Results: The F/M amplitude ratio decreased immediately at stimulation onset, at 30 seconds, and at 60 seconds compared to baseline. A least-squares analysis revealed a negative slope from baseline to 60 seconds (f(x)=-0.11x+1.12), while the slope became positive after 90 seconds, continuing after stimulation ended (f(x)=0.04x+0.82).

Conclusion: Unilateral vibratory stimulation may decrease excitability in the spinal anterior horn cells of the contralateral homonymous muscle for up to 75 seconds post-stimulation, suggesting a potential mechanism for spasticity management.

求助全文
通过发布文献求助,成功后即可免费获取论文全文。 去求助
来源期刊
CiteScore
2.50
自引率
7.70%
发文量
32
审稿时长
30 weeks
×
引用
GB/T 7714-2015
复制
MLA
复制
APA
复制
导出至
BibTeX EndNote RefMan NoteFirst NoteExpress
×
提示
您的信息不完整,为了账户安全,请先补充。
现在去补充
×
提示
您因"违规操作"
具体请查看互助需知
我知道了
×
提示
确定
请完成安全验证×
copy
已复制链接
快去分享给好友吧!
我知道了
右上角分享
点击右上角分享
0
联系我们:info@booksci.cn Book学术提供免费学术资源搜索服务,方便国内外学者检索中英文文献。致力于提供最便捷和优质的服务体验。 Copyright © 2023 布克学术 All rights reserved.
京ICP备2023020795号-1
ghs 京公网安备 11010802042870号
Book学术文献互助
Book学术文献互助群
群 号:604180095
Book学术官方微信