头颈癌患者舌骨偏移的时间和运动学测量。

IF 2.9 Q1 REHABILITATION
Annals of Rehabilitation Medicine-ARM Pub Date : 2025-08-01 Epub Date: 2025-08-29 DOI:10.5535/arm.250005
Sheng-Hao Cheng, Kuo-Chang Wei, Tyng-Guey Wang, Ming-Yen Hsiao
{"title":"头颈癌患者舌骨偏移的时间和运动学测量。","authors":"Sheng-Hao Cheng, Kuo-Chang Wei, Tyng-Guey Wang, Ming-Yen Hsiao","doi":"10.5535/arm.250005","DOIUrl":null,"url":null,"abstract":"<p><strong>Objective: </strong>To investigate the temporal and kinematic parameters of hyoid bone excursion (HBE) in head and neck cancer (HNC) patients with and without aspiration.</p><p><strong>Methods: </strong>Videofluoroscopic swallowing study images from 28 HNC patients were divided into aspiration and non-aspiration groups. The kinematic parameters of HBE, including displacement, instantaneous velocity, and instantaneous acceleration, as well as the timing of reaching maximal values in these parameters, were analyzed.</p><p><strong>Results: </strong>The timings of reaching maximal horizontal (2.37±1.10 seconds vs. 1.09±1.58 seconds, p=0.010; 0.68±0.28 vs. 0.37±0.26, p=0.010 for percentage of time), vertical (1.83±2.06 seconds vs. 0.86±1.42 seconds, p=0.020) and hypotenuse instantaneous velocities (2.36±1.96 seconds vs. 0.79±1.20 seconds, p=0.006; 0.60±0.33 vs. 0.33±0.24, p=0.028 for percentage of time), as well as the timings of reaching maximal horizontal (2.22±1.50 seconds vs. 0.90±1.26 seconds, p=0.009; 0.60±0.32 vs. 0.37±0.29, p=0.041 for percentage of time), vertical (2.09±1.94 seconds vs. 0.83±1.19 seconds, p=0.003), and hypotenuse instantaneous accelerations (2.49±1.93 seconds vs. 0.81±1.24 seconds, p=0.004; 0.65±0.34 vs. 0.34±0.28, p=0.026 for percentage of time) were significantly prolonged in the aspiration group. After signal smoothing, the aspiration group exhibited delayed timing in reaching maximal horizontal instantaneous velocity (2.07±1.09 seconds vs. 0.74±1.10 seconds, p=0.004; 0.58±0.29 vs. 0.32±0.24, p=0.017 for percentage of time), as well as maximal horizontal (2.18±1.16 seconds vs. 1.12±1.46 seconds, p=0.008) and hypotenuse accelerations (2.21±2.50 seconds vs. 0.81±1.21 seconds, p=0.011). There were no significant between-group differences in other kinematic parameters, except for horizontal displacement (7.66±6.26 mm vs. 12.14±5.82 mm, p=0.042).</p><p><strong>Conclusion: </strong>The timings of reaching maximal instantaneous velocities and accelerations of HBE, rather than the maximum values of these kinematic parameters, may be critical parameters related to aspiration in HNC patients.</p>","PeriodicalId":47738,"journal":{"name":"Annals of Rehabilitation Medicine-ARM","volume":"49 4","pages":"234-245"},"PeriodicalIF":2.9000,"publicationDate":"2025-08-01","publicationTypes":"Journal Article","fieldsOfStudy":null,"isOpenAccess":false,"openAccessPdf":"https://www.ncbi.nlm.nih.gov/pmc/articles/PMC12411865/pdf/","citationCount":"0","resultStr":"{\"title\":\"Temporal and Kinematic Measurements of Hyoid Bone Excursion in Patients With Head and Neck Cancer.\",\"authors\":\"Sheng-Hao Cheng, Kuo-Chang Wei, Tyng-Guey Wang, Ming-Yen Hsiao\",\"doi\":\"10.5535/arm.250005\",\"DOIUrl\":null,\"url\":null,\"abstract\":\"<p><strong>Objective: </strong>To investigate the temporal and kinematic parameters of hyoid bone excursion (HBE) in head and neck cancer (HNC) patients with and without aspiration.</p><p><strong>Methods: </strong>Videofluoroscopic swallowing study images from 28 HNC patients were divided into aspiration and non-aspiration groups. The kinematic parameters of HBE, including displacement, instantaneous velocity, and instantaneous acceleration, as well as the timing of reaching maximal values in these parameters, were analyzed.</p><p><strong>Results: </strong>The timings of reaching maximal horizontal (2.37±1.10 seconds vs. 1.09±1.58 seconds, p=0.010; 0.68±0.28 vs. 0.37±0.26, p=0.010 for percentage of time), vertical (1.83±2.06 seconds vs. 0.86±1.42 seconds, p=0.020) and hypotenuse instantaneous velocities (2.36±1.96 seconds vs. 0.79±1.20 seconds, p=0.006; 0.60±0.33 vs. 0.33±0.24, p=0.028 for percentage of time), as well as the timings of reaching maximal horizontal (2.22±1.50 seconds vs. 0.90±1.26 seconds, p=0.009; 0.60±0.32 vs. 0.37±0.29, p=0.041 for percentage of time), vertical (2.09±1.94 seconds vs. 0.83±1.19 seconds, p=0.003), and hypotenuse instantaneous accelerations (2.49±1.93 seconds vs. 0.81±1.24 seconds, p=0.004; 0.65±0.34 vs. 0.34±0.28, p=0.026 for percentage of time) were significantly prolonged in the aspiration group. After signal smoothing, the aspiration group exhibited delayed timing in reaching maximal horizontal instantaneous velocity (2.07±1.09 seconds vs. 0.74±1.10 seconds, p=0.004; 0.58±0.29 vs. 0.32±0.24, p=0.017 for percentage of time), as well as maximal horizontal (2.18±1.16 seconds vs. 1.12±1.46 seconds, p=0.008) and hypotenuse accelerations (2.21±2.50 seconds vs. 0.81±1.21 seconds, p=0.011). There were no significant between-group differences in other kinematic parameters, except for horizontal displacement (7.66±6.26 mm vs. 12.14±5.82 mm, p=0.042).</p><p><strong>Conclusion: </strong>The timings of reaching maximal instantaneous velocities and accelerations of HBE, rather than the maximum values of these kinematic parameters, may be critical parameters related to aspiration in HNC patients.</p>\",\"PeriodicalId\":47738,\"journal\":{\"name\":\"Annals of Rehabilitation Medicine-ARM\",\"volume\":\"49 4\",\"pages\":\"234-245\"},\"PeriodicalIF\":2.9000,\"publicationDate\":\"2025-08-01\",\"publicationTypes\":\"Journal Article\",\"fieldsOfStudy\":null,\"isOpenAccess\":false,\"openAccessPdf\":\"https://www.ncbi.nlm.nih.gov/pmc/articles/PMC12411865/pdf/\",\"citationCount\":\"0\",\"resultStr\":null,\"platform\":\"Semanticscholar\",\"paperid\":null,\"PeriodicalName\":\"Annals of Rehabilitation Medicine-ARM\",\"FirstCategoryId\":\"1085\",\"ListUrlMain\":\"https://doi.org/10.5535/arm.250005\",\"RegionNum\":0,\"RegionCategory\":null,\"ArticlePicture\":[],\"TitleCN\":null,\"AbstractTextCN\":null,\"PMCID\":null,\"EPubDate\":\"2025/8/29 0:00:00\",\"PubModel\":\"Epub\",\"JCR\":\"Q1\",\"JCRName\":\"REHABILITATION\",\"Score\":null,\"Total\":0}","platform":"Semanticscholar","paperid":null,"PeriodicalName":"Annals of Rehabilitation Medicine-ARM","FirstCategoryId":"1085","ListUrlMain":"https://doi.org/10.5535/arm.250005","RegionNum":0,"RegionCategory":null,"ArticlePicture":[],"TitleCN":null,"AbstractTextCN":null,"PMCID":null,"EPubDate":"2025/8/29 0:00:00","PubModel":"Epub","JCR":"Q1","JCRName":"REHABILITATION","Score":null,"Total":0}
引用次数: 0

摘要

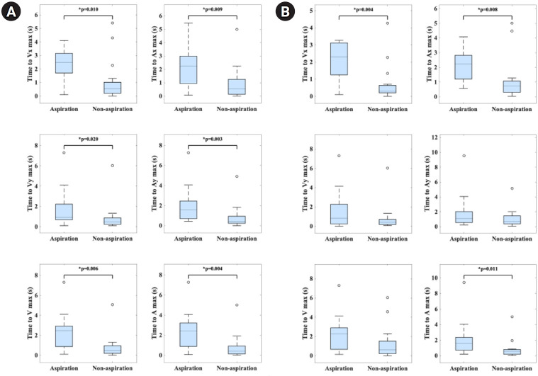
目的:探讨头颈癌(HNC)伴和不伴吸痰患者舌骨偏移(HBE)的时间和运动学参数。方法:对28例HNC患者进行透视吞咽研究,分为吸痰组和非吸痰组。分析了HBE的运动参数,包括位移、瞬时速度和瞬时加速度,以及这些参数达到最大值的时间。结果:达到最大水平用时(2.37±1.10秒比1.09±1.58秒,p=0.010; 0.68±0.28比0.37±0.26,p=0.010,时间百分比)、垂直用时(1.83±2.06秒比0.86±1.42秒,p=0.020)、斜边瞬时速度用时(2.36±1.96秒比0.79±1.20秒,p=0.006; 0.60±0.33比0.33±0.24,时间百分比p=0.028)、达到最大水平用时(2.22±1.50秒比0.90±1.26秒,p=0.009;抽吸组(0.60±0.32 vs 0.37±0.29,p=0.041,时间百分比)、垂直方向(2.09±1.94秒vs 0.83±1.19秒,p=0.003)、斜边瞬时加速度(2.49±1.93秒vs 0.81±1.24秒,p=0.004; 0.65±0.34 vs 0.34±0.28,p=0.026,时间百分比)均显著延长。信号平滑后,抽吸组在达到最大水平瞬时速度(2.07±1.09秒比0.74±1.10秒,p=0.004; 0.58±0.29比0.32±0.24,p=0.017时间百分比)、最大水平(2.18±1.16秒比1.12±1.46秒,p=0.008)和斜边加速度(2.21±2.50秒比0.81±1.21秒,p=0.011)方面表现出延迟的时间。除水平位移(7.66±6.26 mm vs. 12.14±5.82 mm, p=0.042)外,其他运动学参数组间无显著差异。结论:HBE达到最大瞬时速度和加速度的时间,而不是这些运动学参数的最大值,可能是与HNC患者误吸相关的关键参数。
本文章由计算机程序翻译,如有差异,请以英文原文为准。

Temporal and Kinematic Measurements of Hyoid Bone Excursion in Patients With Head and Neck Cancer.

Temporal and Kinematic Measurements of Hyoid Bone Excursion in Patients With Head and Neck Cancer.

Temporal and Kinematic Measurements of Hyoid Bone Excursion in Patients With Head and Neck Cancer.

Temporal and Kinematic Measurements of Hyoid Bone Excursion in Patients With Head and Neck Cancer.

Objective: To investigate the temporal and kinematic parameters of hyoid bone excursion (HBE) in head and neck cancer (HNC) patients with and without aspiration.

Methods: Videofluoroscopic swallowing study images from 28 HNC patients were divided into aspiration and non-aspiration groups. The kinematic parameters of HBE, including displacement, instantaneous velocity, and instantaneous acceleration, as well as the timing of reaching maximal values in these parameters, were analyzed.

Results: The timings of reaching maximal horizontal (2.37±1.10 seconds vs. 1.09±1.58 seconds, p=0.010; 0.68±0.28 vs. 0.37±0.26, p=0.010 for percentage of time), vertical (1.83±2.06 seconds vs. 0.86±1.42 seconds, p=0.020) and hypotenuse instantaneous velocities (2.36±1.96 seconds vs. 0.79±1.20 seconds, p=0.006; 0.60±0.33 vs. 0.33±0.24, p=0.028 for percentage of time), as well as the timings of reaching maximal horizontal (2.22±1.50 seconds vs. 0.90±1.26 seconds, p=0.009; 0.60±0.32 vs. 0.37±0.29, p=0.041 for percentage of time), vertical (2.09±1.94 seconds vs. 0.83±1.19 seconds, p=0.003), and hypotenuse instantaneous accelerations (2.49±1.93 seconds vs. 0.81±1.24 seconds, p=0.004; 0.65±0.34 vs. 0.34±0.28, p=0.026 for percentage of time) were significantly prolonged in the aspiration group. After signal smoothing, the aspiration group exhibited delayed timing in reaching maximal horizontal instantaneous velocity (2.07±1.09 seconds vs. 0.74±1.10 seconds, p=0.004; 0.58±0.29 vs. 0.32±0.24, p=0.017 for percentage of time), as well as maximal horizontal (2.18±1.16 seconds vs. 1.12±1.46 seconds, p=0.008) and hypotenuse accelerations (2.21±2.50 seconds vs. 0.81±1.21 seconds, p=0.011). There were no significant between-group differences in other kinematic parameters, except for horizontal displacement (7.66±6.26 mm vs. 12.14±5.82 mm, p=0.042).

Conclusion: The timings of reaching maximal instantaneous velocities and accelerations of HBE, rather than the maximum values of these kinematic parameters, may be critical parameters related to aspiration in HNC patients.

求助全文
通过发布文献求助,成功后即可免费获取论文全文。 去求助
来源期刊
CiteScore
2.50
自引率
7.70%
发文量
32
审稿时长
30 weeks
×
引用
GB/T 7714-2015
复制
MLA
复制
APA
复制
导出至
BibTeX EndNote RefMan NoteFirst NoteExpress
×
提示
您的信息不完整,为了账户安全,请先补充。
现在去补充
×
提示
您因"违规操作"
具体请查看互助需知
我知道了
×
提示
确定
请完成安全验证×
copy
已复制链接
快去分享给好友吧!
我知道了
右上角分享
点击右上角分享
0
联系我们:info@booksci.cn Book学术提供免费学术资源搜索服务,方便国内外学者检索中英文文献。致力于提供最便捷和优质的服务体验。 Copyright © 2023 布克学术 All rights reserved.
京ICP备2023020795号-1
ghs 京公网安备 11010802042870号
Book学术文献互助
Book学术文献互助群
群 号:604180095
Book学术官方微信