网络授课与临床实习间隔时间对医学生骨科综合课程成绩的影响。

IF 1.7 Q2 EDUCATION, SCIENTIFIC DISCIPLINES
Advances in Medical Education and Practice Pub Date : 2025-08-19 eCollection Date: 2025-01-01 DOI:10.2147/AMEP.S537509
Jongdee Bvonpanttarananon, Chirathit Anusitviwat, Araya Yuenyongviwat, Varah Yuenyongviwat
{"title":"网络授课与临床实习间隔时间对医学生骨科综合课程成绩的影响。","authors":"Jongdee Bvonpanttarananon, Chirathit Anusitviwat, Araya Yuenyongviwat, Varah Yuenyongviwat","doi":"10.2147/AMEP.S537509","DOIUrl":null,"url":null,"abstract":"<p><strong>Introduction: </strong>The integration of technology in medical education has led to the adoption of hybrid teaching methods, combining online lectures with traditional face-to-face clinical practice. While this approach offers flexibility and safety, it raises questions about the impact of potential time lapses between theoretical learning and hands-on experience. This study aimed to investigate the effect of the time interval between online lectures and on-site clinical practice on medical students' performance in orthopedic rotation.</p><p><strong>Methods: </strong>A retrospective study was conducted on 116 fifth-year medical students who completed their orthopedic rotation during the 2021/2022 academic year. Students underwent a one-week online course followed by three weeks of on-site clinical practice, with varying time lapses (0-38 weeks) between these periods. Performance was assessed through examinations including key features test (KF), multiple-choice questions (MCQ), multiple-essay questions (MEQ), objective structured clinical examination (OSCE), and long case examination. Spearman's rank correlation was used to analyze the relationship between time lapse and examination scores.</p><p><strong>Results: </strong>The analysis revealed a significant negative correlation between the time lapse duration and KF scores (p < 0.05). However, no significant associations were found between time lapse and scores in MCQ, MEQ, OSCE, or long case examinations (p > 0.05).</p><p><strong>Conclusion: </strong>This study demonstrates that the time lapse between online lectures and clinical rotation in orthopedic education significantly impacts students' performance in key features tests. However, other examination scores remained unaffected. These findings highlight the need for careful scheduling and potential interventions to mitigate the effects of extended time lapses on specific aspects of medical knowledge retention and application in orthopedic education.</p>","PeriodicalId":47404,"journal":{"name":"Advances in Medical Education and Practice","volume":"16 ","pages":"1455-1460"},"PeriodicalIF":1.7000,"publicationDate":"2025-08-19","publicationTypes":"Journal Article","fieldsOfStudy":null,"isOpenAccess":false,"openAccessPdf":"https://www.ncbi.nlm.nih.gov/pmc/articles/PMC12374713/pdf/","citationCount":"0","resultStr":"{\"title\":\"The Effect of Time Lapse Between Online Lectures and Clinical Practice on Medical Students' Performance in an Orthopedics Hybrid Course.\",\"authors\":\"Jongdee Bvonpanttarananon, Chirathit Anusitviwat, Araya Yuenyongviwat, Varah Yuenyongviwat\",\"doi\":\"10.2147/AMEP.S537509\",\"DOIUrl\":null,\"url\":null,\"abstract\":\"<p><strong>Introduction: </strong>The integration of technology in medical education has led to the adoption of hybrid teaching methods, combining online lectures with traditional face-to-face clinical practice. While this approach offers flexibility and safety, it raises questions about the impact of potential time lapses between theoretical learning and hands-on experience. This study aimed to investigate the effect of the time interval between online lectures and on-site clinical practice on medical students' performance in orthopedic rotation.</p><p><strong>Methods: </strong>A retrospective study was conducted on 116 fifth-year medical students who completed their orthopedic rotation during the 2021/2022 academic year. Students underwent a one-week online course followed by three weeks of on-site clinical practice, with varying time lapses (0-38 weeks) between these periods. Performance was assessed through examinations including key features test (KF), multiple-choice questions (MCQ), multiple-essay questions (MEQ), objective structured clinical examination (OSCE), and long case examination. Spearman's rank correlation was used to analyze the relationship between time lapse and examination scores.</p><p><strong>Results: </strong>The analysis revealed a significant negative correlation between the time lapse duration and KF scores (p < 0.05). However, no significant associations were found between time lapse and scores in MCQ, MEQ, OSCE, or long case examinations (p > 0.05).</p><p><strong>Conclusion: </strong>This study demonstrates that the time lapse between online lectures and clinical rotation in orthopedic education significantly impacts students' performance in key features tests. However, other examination scores remained unaffected. These findings highlight the need for careful scheduling and potential interventions to mitigate the effects of extended time lapses on specific aspects of medical knowledge retention and application in orthopedic education.</p>\",\"PeriodicalId\":47404,\"journal\":{\"name\":\"Advances in Medical Education and Practice\",\"volume\":\"16 \",\"pages\":\"1455-1460\"},\"PeriodicalIF\":1.7000,\"publicationDate\":\"2025-08-19\",\"publicationTypes\":\"Journal Article\",\"fieldsOfStudy\":null,\"isOpenAccess\":false,\"openAccessPdf\":\"https://www.ncbi.nlm.nih.gov/pmc/articles/PMC12374713/pdf/\",\"citationCount\":\"0\",\"resultStr\":null,\"platform\":\"Semanticscholar\",\"paperid\":null,\"PeriodicalName\":\"Advances in Medical Education and Practice\",\"FirstCategoryId\":\"1085\",\"ListUrlMain\":\"https://doi.org/10.2147/AMEP.S537509\",\"RegionNum\":0,\"RegionCategory\":null,\"ArticlePicture\":[],\"TitleCN\":null,\"AbstractTextCN\":null,\"PMCID\":null,\"EPubDate\":\"2025/1/1 0:00:00\",\"PubModel\":\"eCollection\",\"JCR\":\"Q2\",\"JCRName\":\"EDUCATION, SCIENTIFIC DISCIPLINES\",\"Score\":null,\"Total\":0}","platform":"Semanticscholar","paperid":null,"PeriodicalName":"Advances in Medical Education and Practice","FirstCategoryId":"1085","ListUrlMain":"https://doi.org/10.2147/AMEP.S537509","RegionNum":0,"RegionCategory":null,"ArticlePicture":[],"TitleCN":null,"AbstractTextCN":null,"PMCID":null,"EPubDate":"2025/1/1 0:00:00","PubModel":"eCollection","JCR":"Q2","JCRName":"EDUCATION, SCIENTIFIC DISCIPLINES","Score":null,"Total":0}
引用次数: 0

摘要

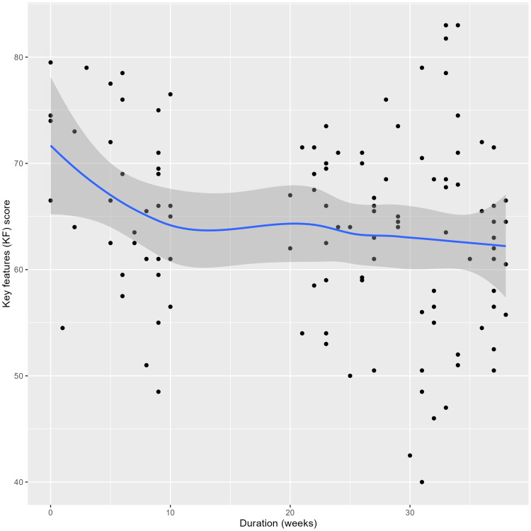
导读:技术在医学教育中的整合导致了混合教学方法的采用,将在线讲座与传统的面对面临床实践相结合。虽然这种方法提供了灵活性和安全性,但它提出了理论学习和实践经验之间潜在的时间间隔的影响问题。本研究旨在探讨网络授课与现场实习时间间隔对医学生骨科轮转表现的影响。方法:对116名在2021/2022学年完成骨科轮转的五年级医学生进行回顾性研究。学生们先进行为期一周的在线课程,然后进行为期三周的现场临床实践,这些阶段之间有不同的时间间隔(0-38周)。通过主要特征测试(KF)、多项选择题(MCQ)、多项作文题(MEQ)、客观结构化临床检查(OSCE)和长病例检查等考试来评估绩效。采用Spearman秩相关分析时间流逝与考试成绩之间的关系。结果:经分析,时间推移时间与KF评分呈显著负相关(p < 0.05)。然而,在MCQ、MEQ、OSCE或长期病例检查中,时间流逝与评分之间没有显著关联(p < 0.05)。结论:本研究表明骨科教育中在线授课与临床轮转之间的时间间隔对学生在关键特征测试中的表现有显著影响。然而,其他考试成绩没有受到影响。这些发现强调,需要仔细安排和潜在的干预措施,以减轻延长的时间失误对医学知识的保留和应用在骨科教育的具体方面的影响。
本文章由计算机程序翻译,如有差异,请以英文原文为准。

The Effect of Time Lapse Between Online Lectures and Clinical Practice on Medical Students' Performance in an Orthopedics Hybrid Course.

The Effect of Time Lapse Between Online Lectures and Clinical Practice on Medical Students' Performance in an Orthopedics Hybrid Course.

The Effect of Time Lapse Between Online Lectures and Clinical Practice on Medical Students' Performance in an Orthopedics Hybrid Course.

Introduction: The integration of technology in medical education has led to the adoption of hybrid teaching methods, combining online lectures with traditional face-to-face clinical practice. While this approach offers flexibility and safety, it raises questions about the impact of potential time lapses between theoretical learning and hands-on experience. This study aimed to investigate the effect of the time interval between online lectures and on-site clinical practice on medical students' performance in orthopedic rotation.

Methods: A retrospective study was conducted on 116 fifth-year medical students who completed their orthopedic rotation during the 2021/2022 academic year. Students underwent a one-week online course followed by three weeks of on-site clinical practice, with varying time lapses (0-38 weeks) between these periods. Performance was assessed through examinations including key features test (KF), multiple-choice questions (MCQ), multiple-essay questions (MEQ), objective structured clinical examination (OSCE), and long case examination. Spearman's rank correlation was used to analyze the relationship between time lapse and examination scores.

Results: The analysis revealed a significant negative correlation between the time lapse duration and KF scores (p < 0.05). However, no significant associations were found between time lapse and scores in MCQ, MEQ, OSCE, or long case examinations (p > 0.05).

Conclusion: This study demonstrates that the time lapse between online lectures and clinical rotation in orthopedic education significantly impacts students' performance in key features tests. However, other examination scores remained unaffected. These findings highlight the need for careful scheduling and potential interventions to mitigate the effects of extended time lapses on specific aspects of medical knowledge retention and application in orthopedic education.

求助全文
通过发布文献求助,成功后即可免费获取论文全文。 去求助
来源期刊
Advances in Medical Education and Practice
Advances in Medical Education and Practice EDUCATION, SCIENTIFIC DISCIPLINES-
CiteScore
3.10
自引率
10.00%
发文量
189
审稿时长
16 weeks
×
引用
GB/T 7714-2015
复制
MLA
复制
APA
复制
导出至
BibTeX EndNote RefMan NoteFirst NoteExpress
×
提示
您的信息不完整,为了账户安全,请先补充。
现在去补充
×
提示
您因"违规操作"
具体请查看互助需知
我知道了
×
提示
确定
请完成安全验证×
copy
已复制链接
快去分享给好友吧!
我知道了
右上角分享
点击右上角分享
0
联系我们:info@booksci.cn Book学术提供免费学术资源搜索服务,方便国内外学者检索中英文文献。致力于提供最便捷和优质的服务体验。 Copyright © 2023 布克学术 All rights reserved.
京ICP备2023020795号-1
ghs 京公网安备 11010802042870号
Book学术文献互助
Book学术文献互助群
群 号:604180095
Book学术官方微信