t细胞淋巴瘤患者长期预后的真实世界数据:韩国的一项全国性研究。

IF 2.8 Q2 HEMATOLOGY
Dong Won Baek, Jung Min Lee, Youngeun Jang, Yunji Lee, Hee Jeong Cho, Joon Ho Moon, Hasung Kim, Hoseob Kim, Sang Kyun Sohn
{"title":"t细胞淋巴瘤患者长期预后的真实世界数据:韩国的一项全国性研究。","authors":"Dong Won Baek, Jung Min Lee, Youngeun Jang, Yunji Lee, Hee Jeong Cho, Joon Ho Moon, Hasung Kim, Hoseob Kim, Sang Kyun Sohn","doi":"10.1007/s44313-025-00095-1","DOIUrl":null,"url":null,"abstract":"<p><strong>Background: </strong>Peripheral T-cell lymphomas (PTCLs) are a rare and heterogeneous group of aggressive malignancies. This study aimed to comprehensively analyze patients diagnosed with PTCLs in Korea, evaluating treatment outcomes, including transplantation and long-term survival.</p><p><strong>Patients and methods: </strong>In this retrospective study, clinical data from the National Health Insurance Service on patients with PTCL were investigated. Most patients diagnosed with mature T-cell lymphomas and natural killer (NK)/T-cell lymphomas between January 2005 and December 2022 in Korea were included. Incidence rates of each subtype and survival outcomes of both treated and untreated patients were analyzed.</p><p><strong>Results: </strong>A total of 12,573 patients were analyzed. PTCL not otherwise specified (PTCL-NOS) and extranodal NK/T-cell lymphoma were the most frequently diagnosed, followed by angioimmunoblastic T-cell lymphoma (AITL). Compared to the general population, the relative survival rate was highest in anaplastic lymphoma kinase (ALK)-positive anaplastic large cell lymphoma. With a median follow-up of 6.7 years, the 3-year and 5-year progression-free survival (PFS) rates among treated patients were 44.0% and 39.5%, while the overall survival (OS) rates were 48.6% and 43.5%, respectively. Kaplan-Meier survival curves indicated that patients who added etoposide to the CHOP (cyclophosphamide, doxorubicin, vincristine, and prednisone) regimen showed improved PFS and OS. In addition, autologous stem cell transplantation significantly improved PFS and OS, particularly in the PTCL-NOS and AITL subtypes.</p><p><strong>Conclusion: </strong>Patients who received etoposide-containing CHOP-based regimens had improved treatment outcomes. The survival benefits of consolidative autologous stem cell transplantation (auto-SCT) were evident in PTCL-NOS and AITL.</p>","PeriodicalId":46224,"journal":{"name":"Blood Research","volume":"60 1","pages":"47"},"PeriodicalIF":2.8000,"publicationDate":"2025-08-21","publicationTypes":"Journal Article","fieldsOfStudy":null,"isOpenAccess":false,"openAccessPdf":"https://www.ncbi.nlm.nih.gov/pmc/articles/PMC12370571/pdf/","citationCount":"0","resultStr":"{\"title\":\"Real-world data on long-term outcomes in patients with T-cell lymphomas: a nationwide study of Korea.\",\"authors\":\"Dong Won Baek, Jung Min Lee, Youngeun Jang, Yunji Lee, Hee Jeong Cho, Joon Ho Moon, Hasung Kim, Hoseob Kim, Sang Kyun Sohn\",\"doi\":\"10.1007/s44313-025-00095-1\",\"DOIUrl\":null,\"url\":null,\"abstract\":\"<p><strong>Background: </strong>Peripheral T-cell lymphomas (PTCLs) are a rare and heterogeneous group of aggressive malignancies. This study aimed to comprehensively analyze patients diagnosed with PTCLs in Korea, evaluating treatment outcomes, including transplantation and long-term survival.</p><p><strong>Patients and methods: </strong>In this retrospective study, clinical data from the National Health Insurance Service on patients with PTCL were investigated. Most patients diagnosed with mature T-cell lymphomas and natural killer (NK)/T-cell lymphomas between January 2005 and December 2022 in Korea were included. Incidence rates of each subtype and survival outcomes of both treated and untreated patients were analyzed.</p><p><strong>Results: </strong>A total of 12,573 patients were analyzed. PTCL not otherwise specified (PTCL-NOS) and extranodal NK/T-cell lymphoma were the most frequently diagnosed, followed by angioimmunoblastic T-cell lymphoma (AITL). Compared to the general population, the relative survival rate was highest in anaplastic lymphoma kinase (ALK)-positive anaplastic large cell lymphoma. With a median follow-up of 6.7 years, the 3-year and 5-year progression-free survival (PFS) rates among treated patients were 44.0% and 39.5%, while the overall survival (OS) rates were 48.6% and 43.5%, respectively. Kaplan-Meier survival curves indicated that patients who added etoposide to the CHOP (cyclophosphamide, doxorubicin, vincristine, and prednisone) regimen showed improved PFS and OS. In addition, autologous stem cell transplantation significantly improved PFS and OS, particularly in the PTCL-NOS and AITL subtypes.</p><p><strong>Conclusion: </strong>Patients who received etoposide-containing CHOP-based regimens had improved treatment outcomes. The survival benefits of consolidative autologous stem cell transplantation (auto-SCT) were evident in PTCL-NOS and AITL.</p>\",\"PeriodicalId\":46224,\"journal\":{\"name\":\"Blood Research\",\"volume\":\"60 1\",\"pages\":\"47\"},\"PeriodicalIF\":2.8000,\"publicationDate\":\"2025-08-21\",\"publicationTypes\":\"Journal Article\",\"fieldsOfStudy\":null,\"isOpenAccess\":false,\"openAccessPdf\":\"https://www.ncbi.nlm.nih.gov/pmc/articles/PMC12370571/pdf/\",\"citationCount\":\"0\",\"resultStr\":null,\"platform\":\"Semanticscholar\",\"paperid\":null,\"PeriodicalName\":\"Blood Research\",\"FirstCategoryId\":\"1085\",\"ListUrlMain\":\"https://doi.org/10.1007/s44313-025-00095-1\",\"RegionNum\":0,\"RegionCategory\":null,\"ArticlePicture\":[],\"TitleCN\":null,\"AbstractTextCN\":null,\"PMCID\":null,\"EPubDate\":\"\",\"PubModel\":\"\",\"JCR\":\"Q2\",\"JCRName\":\"HEMATOLOGY\",\"Score\":null,\"Total\":0}","platform":"Semanticscholar","paperid":null,"PeriodicalName":"Blood Research","FirstCategoryId":"1085","ListUrlMain":"https://doi.org/10.1007/s44313-025-00095-1","RegionNum":0,"RegionCategory":null,"ArticlePicture":[],"TitleCN":null,"AbstractTextCN":null,"PMCID":null,"EPubDate":"","PubModel":"","JCR":"Q2","JCRName":"HEMATOLOGY","Score":null,"Total":0}
引用次数: 0

摘要

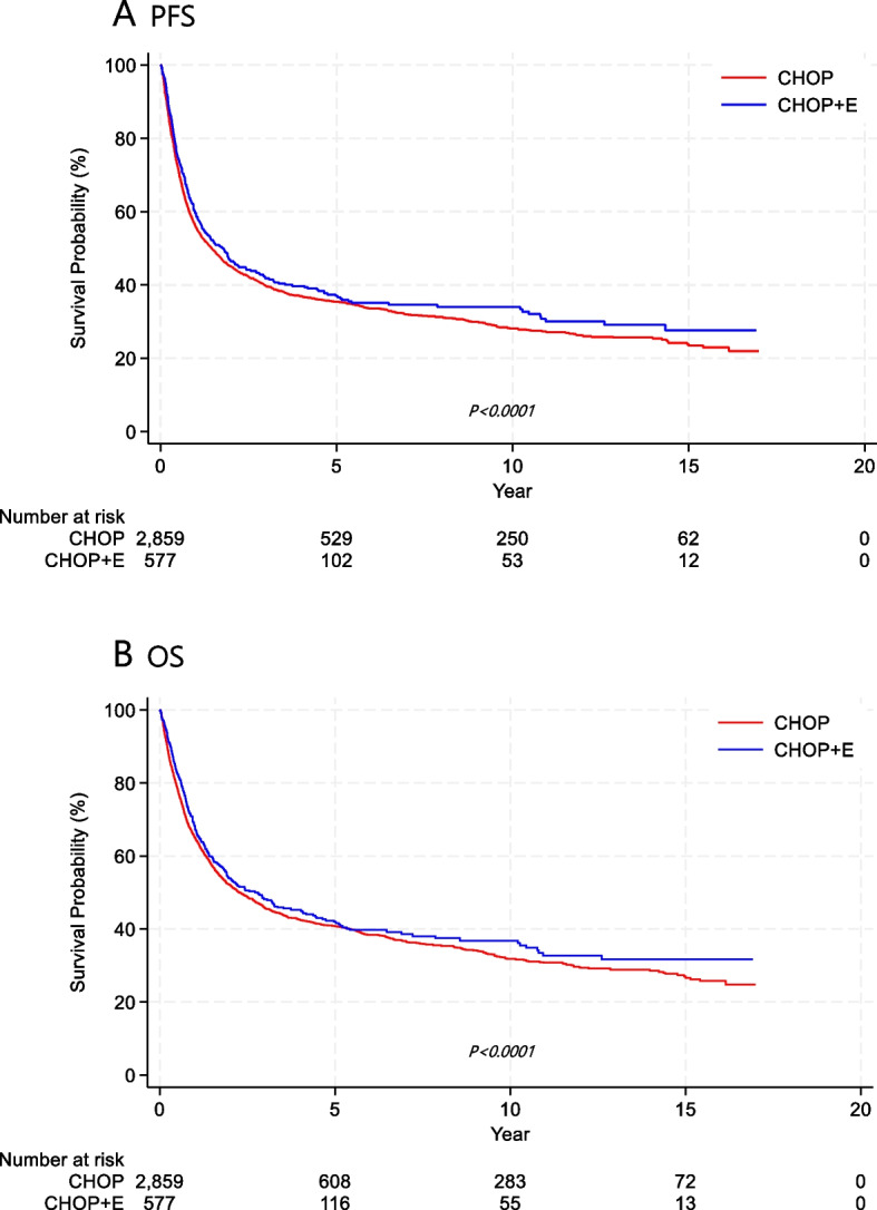
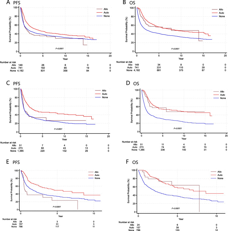
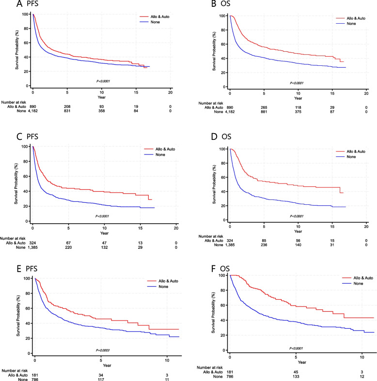
背景:外周t细胞淋巴瘤(PTCLs)是一种罕见的异质性侵袭性恶性肿瘤。该研究旨在全面分析韩国诊断为ptcl的患者,评估治疗结果,包括移植和长期生存。患者和方法:在本回顾性研究中,调查了国民健康保险服务对PTCL患者的临床资料。在2005年1月至2022年12月期间,韩国诊断为成熟t细胞淋巴瘤和自然杀伤(NK)/ t细胞淋巴瘤的大部分患者被纳入其中。分析治疗和未治疗患者各亚型的发病率和生存结局。结果:共分析12573例患者。非特异性PTCL (PTCL- nos)和结外NK/ t细胞淋巴瘤是最常见的诊断,其次是血管免疫母细胞淋巴瘤(AITL)。与一般人群相比,间变性淋巴瘤激酶(ALK)阳性的间变性大细胞淋巴瘤的相对存活率最高。中位随访时间为6.7年,治疗患者的3年和5年无进展生存率(PFS)分别为44.0%和39.5%,总生存率(OS)分别为48.6%和43.5%。Kaplan-Meier生存曲线显示,在CHOP(环磷酰胺、阿霉素、长春新碱和强的松)方案中加入依托泊苷的患者PFS和OS得到改善。此外,自体干细胞移植可显著改善PFS和OS,特别是PTCL-NOS和AITL亚型。结论:接受以依托泊苷为基础的chop方案的患者治疗效果得到改善。合并自体干细胞移植(auto-SCT)对PTCL-NOS和AITL的生存益处是明显的。
本文章由计算机程序翻译,如有差异,请以英文原文为准。

Real-world data on long-term outcomes in patients with T-cell lymphomas: a nationwide study of Korea.

Real-world data on long-term outcomes in patients with T-cell lymphomas: a nationwide study of Korea.

Real-world data on long-term outcomes in patients with T-cell lymphomas: a nationwide study of Korea.

Real-world data on long-term outcomes in patients with T-cell lymphomas: a nationwide study of Korea.

Background: Peripheral T-cell lymphomas (PTCLs) are a rare and heterogeneous group of aggressive malignancies. This study aimed to comprehensively analyze patients diagnosed with PTCLs in Korea, evaluating treatment outcomes, including transplantation and long-term survival.

Patients and methods: In this retrospective study, clinical data from the National Health Insurance Service on patients with PTCL were investigated. Most patients diagnosed with mature T-cell lymphomas and natural killer (NK)/T-cell lymphomas between January 2005 and December 2022 in Korea were included. Incidence rates of each subtype and survival outcomes of both treated and untreated patients were analyzed.

Results: A total of 12,573 patients were analyzed. PTCL not otherwise specified (PTCL-NOS) and extranodal NK/T-cell lymphoma were the most frequently diagnosed, followed by angioimmunoblastic T-cell lymphoma (AITL). Compared to the general population, the relative survival rate was highest in anaplastic lymphoma kinase (ALK)-positive anaplastic large cell lymphoma. With a median follow-up of 6.7 years, the 3-year and 5-year progression-free survival (PFS) rates among treated patients were 44.0% and 39.5%, while the overall survival (OS) rates were 48.6% and 43.5%, respectively. Kaplan-Meier survival curves indicated that patients who added etoposide to the CHOP (cyclophosphamide, doxorubicin, vincristine, and prednisone) regimen showed improved PFS and OS. In addition, autologous stem cell transplantation significantly improved PFS and OS, particularly in the PTCL-NOS and AITL subtypes.

Conclusion: Patients who received etoposide-containing CHOP-based regimens had improved treatment outcomes. The survival benefits of consolidative autologous stem cell transplantation (auto-SCT) were evident in PTCL-NOS and AITL.

求助全文
通过发布文献求助,成功后即可免费获取论文全文。 去求助
来源期刊
Blood Research
Blood Research HEMATOLOGY-
CiteScore
3.70
自引率
0.00%
发文量
64
×
引用
GB/T 7714-2015
复制
MLA
复制
APA
复制
导出至
BibTeX EndNote RefMan NoteFirst NoteExpress
×
提示
您的信息不完整,为了账户安全,请先补充。
现在去补充
×
提示
您因"违规操作"
具体请查看互助需知
我知道了
×
提示
确定
请完成安全验证×
copy
已复制链接
快去分享给好友吧!
我知道了
右上角分享
点击右上角分享
0
联系我们:info@booksci.cn Book学术提供免费学术资源搜索服务,方便国内外学者检索中英文文献。致力于提供最便捷和优质的服务体验。 Copyright © 2023 布克学术 All rights reserved.
京ICP备2023020795号-1
ghs 京公网安备 11010802042870号
Book学术文献互助
Book学术文献互助群
群 号:604180095
Book学术官方微信