医学生院前急救的知识、态度与实践:一项横断面研究。

IF 1.7 Q2 EDUCATION, SCIENTIFIC DISCIPLINES
Advances in Medical Education and Practice Pub Date : 2025-08-27 eCollection Date: 2025-01-01 DOI:10.2147/AMEP.S540797
Xinran Liu, Bing Wang, Jingjing Xing, Hailong Zhang, Sheng Ye
{"title":"医学生院前急救的知识、态度与实践:一项横断面研究。","authors":"Xinran Liu, Bing Wang, Jingjing Xing, Hailong Zhang, Sheng Ye","doi":"10.2147/AMEP.S540797","DOIUrl":null,"url":null,"abstract":"<p><strong>Background: </strong>Emergency education is a critical component of medical training, enabling students to effectively respond to urgent and life-threatening situations. This study aimed to evaluate the knowledge, attitudes, and practices (KAP) of medical students regarding prehospital emergency care, and to explore the factors influencing these dimensions.</p><p><strong>Methods: </strong>A cross-sectional survey was conducted between September 1 and October 10, 2024, at Wannan Medical College in Anhui province, southeastern China. Participants were selected using a stratified cluster sampling method. Data were analyzed using independent samples <i>t</i>-tests, one-way ANOVA, and Pearson correlation analysis. Structural equation modeling (SEM) was employed to examine the interrelationships among emergency knowledge, attitudes, and practices.</p><p><strong>Results: </strong>A total of 452 medical students completed the survey, with 439 valid responses included in the final analysis. Among the participants, 213 were male (48.50%) and 226 were female (51.50%). The mean scores for emergency knowledge, attitudes, and practices were 23.17 ±4.43, 18.20 ±3.76, and 13.68 ±2.71, respectively. The SEM analysis revealed that knowledge had a significant positive effect on attitude (β=0.831, <i>P</i><0.001) and on practice (β=0.477, <i>P</i> <0.001). Attitude also significantly influenced practice (β=0.448, <i>P</i><0.001).</p><p><strong>Conclusion: </strong>This study underscores the pivotal mediating role of attitudes in linking emergency knowledge to practice among medical students. Enhancing emergency knowledge through targeted educational interventions, alongside fostering positive attitudes, may effectively improve students' engagement and performance in real-life emergency care situations.</p>","PeriodicalId":47404,"journal":{"name":"Advances in Medical Education and Practice","volume":"16 ","pages":"1559-1568"},"PeriodicalIF":1.7000,"publicationDate":"2025-08-27","publicationTypes":"Journal Article","fieldsOfStudy":null,"isOpenAccess":false,"openAccessPdf":"https://www.ncbi.nlm.nih.gov/pmc/articles/PMC12400443/pdf/","citationCount":"0","resultStr":"{\"title\":\"Knowledge, Attitude, and Practice of Medical Students Toward Prehospital Emergency Care: A Cross-Sectional Study.\",\"authors\":\"Xinran Liu, Bing Wang, Jingjing Xing, Hailong Zhang, Sheng Ye\",\"doi\":\"10.2147/AMEP.S540797\",\"DOIUrl\":null,\"url\":null,\"abstract\":\"<p><strong>Background: </strong>Emergency education is a critical component of medical training, enabling students to effectively respond to urgent and life-threatening situations. This study aimed to evaluate the knowledge, attitudes, and practices (KAP) of medical students regarding prehospital emergency care, and to explore the factors influencing these dimensions.</p><p><strong>Methods: </strong>A cross-sectional survey was conducted between September 1 and October 10, 2024, at Wannan Medical College in Anhui province, southeastern China. Participants were selected using a stratified cluster sampling method. Data were analyzed using independent samples <i>t</i>-tests, one-way ANOVA, and Pearson correlation analysis. Structural equation modeling (SEM) was employed to examine the interrelationships among emergency knowledge, attitudes, and practices.</p><p><strong>Results: </strong>A total of 452 medical students completed the survey, with 439 valid responses included in the final analysis. Among the participants, 213 were male (48.50%) and 226 were female (51.50%). The mean scores for emergency knowledge, attitudes, and practices were 23.17 ±4.43, 18.20 ±3.76, and 13.68 ±2.71, respectively. The SEM analysis revealed that knowledge had a significant positive effect on attitude (β=0.831, <i>P</i><0.001) and on practice (β=0.477, <i>P</i> <0.001). Attitude also significantly influenced practice (β=0.448, <i>P</i><0.001).</p><p><strong>Conclusion: </strong>This study underscores the pivotal mediating role of attitudes in linking emergency knowledge to practice among medical students. Enhancing emergency knowledge through targeted educational interventions, alongside fostering positive attitudes, may effectively improve students' engagement and performance in real-life emergency care situations.</p>\",\"PeriodicalId\":47404,\"journal\":{\"name\":\"Advances in Medical Education and Practice\",\"volume\":\"16 \",\"pages\":\"1559-1568\"},\"PeriodicalIF\":1.7000,\"publicationDate\":\"2025-08-27\",\"publicationTypes\":\"Journal Article\",\"fieldsOfStudy\":null,\"isOpenAccess\":false,\"openAccessPdf\":\"https://www.ncbi.nlm.nih.gov/pmc/articles/PMC12400443/pdf/\",\"citationCount\":\"0\",\"resultStr\":null,\"platform\":\"Semanticscholar\",\"paperid\":null,\"PeriodicalName\":\"Advances in Medical Education and Practice\",\"FirstCategoryId\":\"1085\",\"ListUrlMain\":\"https://doi.org/10.2147/AMEP.S540797\",\"RegionNum\":0,\"RegionCategory\":null,\"ArticlePicture\":[],\"TitleCN\":null,\"AbstractTextCN\":null,\"PMCID\":null,\"EPubDate\":\"2025/1/1 0:00:00\",\"PubModel\":\"eCollection\",\"JCR\":\"Q2\",\"JCRName\":\"EDUCATION, SCIENTIFIC DISCIPLINES\",\"Score\":null,\"Total\":0}","platform":"Semanticscholar","paperid":null,"PeriodicalName":"Advances in Medical Education and Practice","FirstCategoryId":"1085","ListUrlMain":"https://doi.org/10.2147/AMEP.S540797","RegionNum":0,"RegionCategory":null,"ArticlePicture":[],"TitleCN":null,"AbstractTextCN":null,"PMCID":null,"EPubDate":"2025/1/1 0:00:00","PubModel":"eCollection","JCR":"Q2","JCRName":"EDUCATION, SCIENTIFIC DISCIPLINES","Score":null,"Total":0}
引用次数: 0

摘要

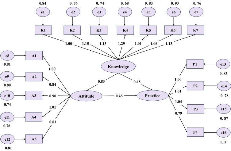
背景:应急教育是医学培训的重要组成部分,使学生能够有效地应对紧急和危及生命的情况。本研究旨在评估医学生院前急救的知识、态度与行为,并探讨影响这些维度的因素。方法:于2024年9月1日至10月10日在中国东南部安徽省皖南医学院进行横断面调查。参与者采用分层整群抽样方法进行选择。数据分析采用独立样本t检验、单因素方差分析和Pearson相关分析。本研究采用结构方程模型(SEM)研究急救知识、急救态度和急救实践之间的相互关系。结果:共有452名医学生完成问卷调查,其中439名有效回复被纳入最终分析。其中男性213人(48.50%),女性226人(51.50%)。急救知识、急救态度、急救行为的平均得分分别为23.17 ±4.43、18.20 ±3.76、13.68 ±2.71。SEM分析发现,知识对态度有显著的正向影响(β=0.831, PP )。结论:态度在医学生急救知识与实践的联系中起着关键的中介作用。通过有针对性的教育干预加强应急知识,同时培养积极的态度,可以有效地提高学生在现实生活中的应急护理情况中的参与度和表现。
本文章由计算机程序翻译,如有差异,请以英文原文为准。

Knowledge, Attitude, and Practice of Medical Students Toward Prehospital Emergency Care: A Cross-Sectional Study.

Knowledge, Attitude, and Practice of Medical Students Toward Prehospital Emergency Care: A Cross-Sectional Study.

Background: Emergency education is a critical component of medical training, enabling students to effectively respond to urgent and life-threatening situations. This study aimed to evaluate the knowledge, attitudes, and practices (KAP) of medical students regarding prehospital emergency care, and to explore the factors influencing these dimensions.

Methods: A cross-sectional survey was conducted between September 1 and October 10, 2024, at Wannan Medical College in Anhui province, southeastern China. Participants were selected using a stratified cluster sampling method. Data were analyzed using independent samples t-tests, one-way ANOVA, and Pearson correlation analysis. Structural equation modeling (SEM) was employed to examine the interrelationships among emergency knowledge, attitudes, and practices.

Results: A total of 452 medical students completed the survey, with 439 valid responses included in the final analysis. Among the participants, 213 were male (48.50%) and 226 were female (51.50%). The mean scores for emergency knowledge, attitudes, and practices were 23.17 ±4.43, 18.20 ±3.76, and 13.68 ±2.71, respectively. The SEM analysis revealed that knowledge had a significant positive effect on attitude (β=0.831, P<0.001) and on practice (β=0.477, P <0.001). Attitude also significantly influenced practice (β=0.448, P<0.001).

Conclusion: This study underscores the pivotal mediating role of attitudes in linking emergency knowledge to practice among medical students. Enhancing emergency knowledge through targeted educational interventions, alongside fostering positive attitudes, may effectively improve students' engagement and performance in real-life emergency care situations.

求助全文
通过发布文献求助,成功后即可免费获取论文全文。 去求助
来源期刊
Advances in Medical Education and Practice
Advances in Medical Education and Practice EDUCATION, SCIENTIFIC DISCIPLINES-
CiteScore
3.10
自引率
10.00%
发文量
189
审稿时长
16 weeks
×
引用
GB/T 7714-2015
复制
MLA
复制
APA
复制
导出至
BibTeX EndNote RefMan NoteFirst NoteExpress
×
提示
您的信息不完整,为了账户安全,请先补充。
现在去补充
×
提示
您因"违规操作"
具体请查看互助需知
我知道了
×
提示
确定
请完成安全验证×
copy
已复制链接
快去分享给好友吧!
我知道了
右上角分享
点击右上角分享
0
联系我们:info@booksci.cn Book学术提供免费学术资源搜索服务,方便国内外学者检索中英文文献。致力于提供最便捷和优质的服务体验。 Copyright © 2023 布克学术 All rights reserved.
京ICP备2023020795号-1
ghs 京公网安备 11010802042870号
Book学术文献互助
Book学术文献互助群
群 号:604180095
Book学术官方微信