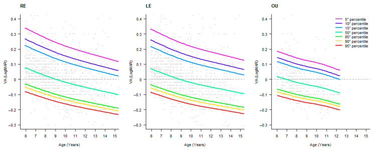
意大利1500名5 ~ 15岁儿童习惯矫正视力的百分位数分布。

IF 1.4 Q3 PEDIATRICS
Alessio Facchin, Marilena Mazzilli, Silvio Maffioletti
{"title":"意大利1500名5 ~ 15岁儿童习惯矫正视力的百分位数分布。","authors":"Alessio Facchin, Marilena Mazzilli, Silvio Maffioletti","doi":"10.3390/pediatric17040085","DOIUrl":null,"url":null,"abstract":"<p><p><b>Background:</b> Early identification of visual disorders in children is essential to prevent long-term visual impairment and support academic development. Despite the recognized importance of visual screenings, no universal consensus exists on which visual parameters or threshold values should be used, particularly for measuring visual acuity (VA) in pediatric populations. <b>Objectives:</b> This study aimed to develop age-related percentile norms for VA using LEA symbol charts. <b>Methods</b>: A sample of Italian schoolchildren aged 5 to 15 years (<i>n</i> = 1510) participated in the study. Data were collected retrospectively from school-based vision screenings conducted across 12 schools in the Lombardy and Piedmont regions from 2010 to 2019. Monocular and binocular VA were measured at 3 m using a standardized LEA symbol chart, and values were scored letter-by-letter on a LogMAR scale. Smoothed percentile curves were derived using Box-Cox, Cole, and Green distribution modeling and regression analysis. <b>Results:</b> The results showed a non-linear improvement in VA with age. Compared to prior studies, LEA symbols yielded slightly lower VA scores, reinforcing the need for chart-specific norms. The 50th percentile VA improved from approximately +0.07 LogMAR at age 6 to about -0.09 LogMAR at age 15. <b>Conclusions</b>: These findings highlight the importance of age-specific, chart-specific, and statistically robust reference data for VA screening in children. The derived percentile tables offer a more sensitive tool than fixed cut-offs for identifying visual anomalies and tailoring clinical interventions. This work contributes to standardizing pediatric VA screening practices and improving early detection of visual deficits.</p>","PeriodicalId":45251,"journal":{"name":"Pediatric Reports","volume":"17 4","pages":""},"PeriodicalIF":1.4000,"publicationDate":"2025-08-11","publicationTypes":"Journal Article","fieldsOfStudy":null,"isOpenAccess":false,"openAccessPdf":"https://www.ncbi.nlm.nih.gov/pmc/articles/PMC12389372/pdf/","citationCount":"0","resultStr":"{\"title\":\"Percentile Distribution of Habitual-Correction Visual Acuity in a Sample of 1500 Children Aged 5 to 15 Years in Italy.\",\"authors\":\"Alessio Facchin, Marilena Mazzilli, Silvio Maffioletti\",\"doi\":\"10.3390/pediatric17040085\",\"DOIUrl\":null,\"url\":null,\"abstract\":\"<p><p><b>Background:</b> Early identification of visual disorders in children is essential to prevent long-term visual impairment and support academic development. Despite the recognized importance of visual screenings, no universal consensus exists on which visual parameters or threshold values should be used, particularly for measuring visual acuity (VA) in pediatric populations. <b>Objectives:</b> This study aimed to develop age-related percentile norms for VA using LEA symbol charts. <b>Methods</b>: A sample of Italian schoolchildren aged 5 to 15 years (<i>n</i> = 1510) participated in the study. Data were collected retrospectively from school-based vision screenings conducted across 12 schools in the Lombardy and Piedmont regions from 2010 to 2019. Monocular and binocular VA were measured at 3 m using a standardized LEA symbol chart, and values were scored letter-by-letter on a LogMAR scale. Smoothed percentile curves were derived using Box-Cox, Cole, and Green distribution modeling and regression analysis. <b>Results:</b> The results showed a non-linear improvement in VA with age. Compared to prior studies, LEA symbols yielded slightly lower VA scores, reinforcing the need for chart-specific norms. The 50th percentile VA improved from approximately +0.07 LogMAR at age 6 to about -0.09 LogMAR at age 15. <b>Conclusions</b>: These findings highlight the importance of age-specific, chart-specific, and statistically robust reference data for VA screening in children. The derived percentile tables offer a more sensitive tool than fixed cut-offs for identifying visual anomalies and tailoring clinical interventions. This work contributes to standardizing pediatric VA screening practices and improving early detection of visual deficits.</p>\",\"PeriodicalId\":45251,\"journal\":{\"name\":\"Pediatric Reports\",\"volume\":\"17 4\",\"pages\":\"\"},\"PeriodicalIF\":1.4000,\"publicationDate\":\"2025-08-11\",\"publicationTypes\":\"Journal Article\",\"fieldsOfStudy\":null,\"isOpenAccess\":false,\"openAccessPdf\":\"https://www.ncbi.nlm.nih.gov/pmc/articles/PMC12389372/pdf/\",\"citationCount\":\"0\",\"resultStr\":null,\"platform\":\"Semanticscholar\",\"paperid\":null,\"PeriodicalName\":\"Pediatric Reports\",\"FirstCategoryId\":\"1085\",\"ListUrlMain\":\"https://doi.org/10.3390/pediatric17040085\",\"RegionNum\":0,\"RegionCategory\":null,\"ArticlePicture\":[],\"TitleCN\":null,\"AbstractTextCN\":null,\"PMCID\":null,\"EPubDate\":\"\",\"PubModel\":\"\",\"JCR\":\"Q3\",\"JCRName\":\"PEDIATRICS\",\"Score\":null,\"Total\":0}","platform":"Semanticscholar","paperid":null,"PeriodicalName":"Pediatric Reports","FirstCategoryId":"1085","ListUrlMain":"https://doi.org/10.3390/pediatric17040085","RegionNum":0,"RegionCategory":null,"ArticlePicture":[],"TitleCN":null,"AbstractTextCN":null,"PMCID":null,"EPubDate":"","PubModel":"","JCR":"Q3","JCRName":"PEDIATRICS","Score":null,"Total":0}
引用次数: 0

摘要

背景:儿童视力障碍的早期识别对于预防长期视力损害和支持学业发展至关重要。尽管人们认识到视力筛查的重要性,但对于应该使用哪些视觉参数或阈值,特别是在儿科人群中测量视力(VA)时,还没有普遍的共识。目的:本研究旨在利用LEA符号图建立与年龄相关的VA百分位数规范。方法:选取意大利5 ~ 15岁学龄儿童(1510名)为研究对象。从2010年至2019年在伦巴第和皮埃蒙特地区的12所学校进行的以学校为基础的视力筛查中回顾性收集数据。使用标准化的LEA符号图在3 m处测量单眼和双目VA,并在LogMAR量表上逐字评分。采用Box-Cox、Cole和Green分布建模和回归分析得出平滑的百分位曲线。结果:VA随年龄增长呈非线性改善。与先前的研究相比,LEA符号产生的VA分数略低,这加强了对图表特定规范的需求。第50百分位VA从6岁时的约+0.07 LogMAR改善到15岁时的约-0.09 LogMAR。结论:这些发现强调了年龄特异性、图表特异性和统计上可靠的儿童VA筛查参考数据的重要性。导出的百分位表提供了一个比固定截断更敏感的工具,用于识别视觉异常和定制临床干预。这项工作有助于标准化儿童VA筛查实践和改善早期发现的视力缺陷。
本文章由计算机程序翻译,如有差异,请以英文原文为准。

Percentile Distribution of Habitual-Correction Visual Acuity in a Sample of 1500 Children Aged 5 to 15 Years in Italy.

Percentile Distribution of Habitual-Correction Visual Acuity in a Sample of 1500 Children Aged 5 to 15 Years in Italy.

Percentile Distribution of Habitual-Correction Visual Acuity in a Sample of 1500 Children Aged 5 to 15 Years in Italy.

Background: Early identification of visual disorders in children is essential to prevent long-term visual impairment and support academic development. Despite the recognized importance of visual screenings, no universal consensus exists on which visual parameters or threshold values should be used, particularly for measuring visual acuity (VA) in pediatric populations. Objectives: This study aimed to develop age-related percentile norms for VA using LEA symbol charts. Methods: A sample of Italian schoolchildren aged 5 to 15 years (n = 1510) participated in the study. Data were collected retrospectively from school-based vision screenings conducted across 12 schools in the Lombardy and Piedmont regions from 2010 to 2019. Monocular and binocular VA were measured at 3 m using a standardized LEA symbol chart, and values were scored letter-by-letter on a LogMAR scale. Smoothed percentile curves were derived using Box-Cox, Cole, and Green distribution modeling and regression analysis. Results: The results showed a non-linear improvement in VA with age. Compared to prior studies, LEA symbols yielded slightly lower VA scores, reinforcing the need for chart-specific norms. The 50th percentile VA improved from approximately +0.07 LogMAR at age 6 to about -0.09 LogMAR at age 15. Conclusions: These findings highlight the importance of age-specific, chart-specific, and statistically robust reference data for VA screening in children. The derived percentile tables offer a more sensitive tool than fixed cut-offs for identifying visual anomalies and tailoring clinical interventions. This work contributes to standardizing pediatric VA screening practices and improving early detection of visual deficits.

求助全文
通过发布文献求助,成功后即可免费获取论文全文。 去求助
来源期刊
Pediatric Reports
Pediatric Reports PEDIATRICS-
CiteScore
2.10
自引率
0.00%
发文量
55
审稿时长
11 weeks
×
引用
GB/T 7714-2015
复制
MLA
复制
APA
复制
导出至
BibTeX EndNote RefMan NoteFirst NoteExpress
×
提示
您的信息不完整,为了账户安全,请先补充。
现在去补充
×
提示
您因"违规操作"
具体请查看互助需知
我知道了
×
提示
确定
请完成安全验证×
copy
已复制链接
快去分享给好友吧!
我知道了
右上角分享
点击右上角分享
0
联系我们:info@booksci.cn Book学术提供免费学术资源搜索服务,方便国内外学者检索中英文文献。致力于提供最便捷和优质的服务体验。 Copyright © 2023 布克学术 All rights reserved.
京ICP备2023020795号-1
ghs 京公网安备 11010802042870号
Book学术文献互助
Book学术文献互助群
群 号:604180095
Book学术官方微信