使用叙事和信息信息改善矫正专业人员对阿片类药物使用障碍的态度。

IF 2.6 Q1 CRIMINOLOGY & PENOLOGY
Alyssa Harrell-Webber, Xiaoquan Zhao, Urszula A Horoszko, Amy Murphy, Lindsay Smith, Faye S Taxman
{"title":"使用叙事和信息信息改善矫正专业人员对阿片类药物使用障碍的态度。","authors":"Alyssa Harrell-Webber, Xiaoquan Zhao, Urszula A Horoszko, Amy Murphy, Lindsay Smith, Faye S Taxman","doi":"10.1186/s40352-025-00363-3","DOIUrl":null,"url":null,"abstract":"<p><strong>Background: </strong>Criminal legal involved (CLI) individuals face a heightened risk of opioid misuse and overdose, yet access to medications for opioid use disorder (MOUD) is limited, particularly in criminal legal settings. Negative attitudes and misinformation about MOUD are prevalent among legal system actors, creating a barrier to MOUD access. This study examines the effectiveness of informational and narrative messages in correcting misinformation and promoting positive attitudes toward MOUD among criminal legal system (CLS) professionals.</p><p><strong>Method: </strong>Using state/federal websites, social media groups, and professional connections to correctional and behavioral health agencies nationwide, we recruited individuals who were currently working in corrections and behavioral health in criminal legal settings in the United States (N = 502). An online experiment was conducted with four message conditions: no message control, informational message, first-person narrative message, and dialogue message. The study assessed attitudes toward MOUD use and support for greater access in these settings, as well as information processing outcomes including narrative transportation (i.e., becoming immersed in a story), perceived realism, and counterarguing.</p><p><strong>Results: </strong>Compared to no message control, both the first-person narrative message (p = .006) and the dialogue message (p = .026) produced more positive attitudes toward MOUD; the informational message marginally improved positive attitudes (p = .080). The dialogue message also increased support for MOUD access in jails/prisons compared to control (p = .003). Neither the narrative nor the informational messages significantly reduced negative attitudes. The first-person (p = .050) and dialogue (p = .030) messages both generated significantly greater transportation compared to the informational message.</p><p><strong>Conclusion: </strong>Both informational and narrative messages can improve attitudes toward MOUD use in criminal legal settings. Well-designed educational messages aimed at changing attitudes and reducing barriers to promoting MOUD use in criminal legal settings are warranted.</p>","PeriodicalId":37843,"journal":{"name":"Health and Justice","volume":"13 1","pages":"53"},"PeriodicalIF":2.6000,"publicationDate":"2025-08-26","publicationTypes":"Journal Article","fieldsOfStudy":null,"isOpenAccess":false,"openAccessPdf":"https://www.ncbi.nlm.nih.gov/pmc/articles/PMC12382214/pdf/","citationCount":"0","resultStr":"{\"title\":\"Using narrative and informational messages to improve correctional professionals' attitudes toward medications for opioid use disorder.\",\"authors\":\"Alyssa Harrell-Webber, Xiaoquan Zhao, Urszula A Horoszko, Amy Murphy, Lindsay Smith, Faye S Taxman\",\"doi\":\"10.1186/s40352-025-00363-3\",\"DOIUrl\":null,\"url\":null,\"abstract\":\"<p><strong>Background: </strong>Criminal legal involved (CLI) individuals face a heightened risk of opioid misuse and overdose, yet access to medications for opioid use disorder (MOUD) is limited, particularly in criminal legal settings. Negative attitudes and misinformation about MOUD are prevalent among legal system actors, creating a barrier to MOUD access. This study examines the effectiveness of informational and narrative messages in correcting misinformation and promoting positive attitudes toward MOUD among criminal legal system (CLS) professionals.</p><p><strong>Method: </strong>Using state/federal websites, social media groups, and professional connections to correctional and behavioral health agencies nationwide, we recruited individuals who were currently working in corrections and behavioral health in criminal legal settings in the United States (N = 502). An online experiment was conducted with four message conditions: no message control, informational message, first-person narrative message, and dialogue message. The study assessed attitudes toward MOUD use and support for greater access in these settings, as well as information processing outcomes including narrative transportation (i.e., becoming immersed in a story), perceived realism, and counterarguing.</p><p><strong>Results: </strong>Compared to no message control, both the first-person narrative message (p = .006) and the dialogue message (p = .026) produced more positive attitudes toward MOUD; the informational message marginally improved positive attitudes (p = .080). The dialogue message also increased support for MOUD access in jails/prisons compared to control (p = .003). Neither the narrative nor the informational messages significantly reduced negative attitudes. The first-person (p = .050) and dialogue (p = .030) messages both generated significantly greater transportation compared to the informational message.</p><p><strong>Conclusion: </strong>Both informational and narrative messages can improve attitudes toward MOUD use in criminal legal settings. Well-designed educational messages aimed at changing attitudes and reducing barriers to promoting MOUD use in criminal legal settings are warranted.</p>\",\"PeriodicalId\":37843,\"journal\":{\"name\":\"Health and Justice\",\"volume\":\"13 1\",\"pages\":\"53\"},\"PeriodicalIF\":2.6000,\"publicationDate\":\"2025-08-26\",\"publicationTypes\":\"Journal Article\",\"fieldsOfStudy\":null,\"isOpenAccess\":false,\"openAccessPdf\":\"https://www.ncbi.nlm.nih.gov/pmc/articles/PMC12382214/pdf/\",\"citationCount\":\"0\",\"resultStr\":null,\"platform\":\"Semanticscholar\",\"paperid\":null,\"PeriodicalName\":\"Health and Justice\",\"FirstCategoryId\":\"1085\",\"ListUrlMain\":\"https://doi.org/10.1186/s40352-025-00363-3\",\"RegionNum\":0,\"RegionCategory\":null,\"ArticlePicture\":[],\"TitleCN\":null,\"AbstractTextCN\":null,\"PMCID\":null,\"EPubDate\":\"\",\"PubModel\":\"\",\"JCR\":\"Q1\",\"JCRName\":\"CRIMINOLOGY & PENOLOGY\",\"Score\":null,\"Total\":0}","platform":"Semanticscholar","paperid":null,"PeriodicalName":"Health and Justice","FirstCategoryId":"1085","ListUrlMain":"https://doi.org/10.1186/s40352-025-00363-3","RegionNum":0,"RegionCategory":null,"ArticlePicture":[],"TitleCN":null,"AbstractTextCN":null,"PMCID":null,"EPubDate":"","PubModel":"","JCR":"Q1","JCRName":"CRIMINOLOGY & PENOLOGY","Score":null,"Total":0}
引用次数: 0

摘要

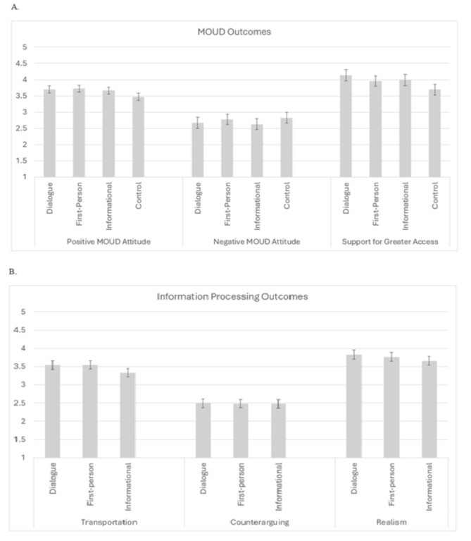
背景:涉及刑事法律(CLI)的个人面临阿片类药物滥用和过量使用的风险增加,但获得阿片类药物使用障碍(mod)的药物是有限的,特别是在刑事法律环境中。对mod的负面态度和错误信息在法律系统参与者中普遍存在,这为mod的获取创造了障碍。本研究旨在探讨资讯性和叙事性讯息在刑事法律专业人员纠正错误资讯和促进正面态度上的有效性。方法:利用州/联邦网站、社交媒体团体以及与全国惩教和行为健康机构的专业联系,我们招募了目前在美国刑事法律环境中惩教和行为健康工作的个人(N = 502)。在线实验采用无信息控制、信息性信息、第一人称叙述信息和对话信息四种信息条件。该研究评估了人们对mod使用的态度,以及在这些环境中对更大访问的支持,以及信息处理结果,包括叙事传输(即沉浸在故事中)、感知现实主义和反驳。结果:与无信息控制相比,第一人称叙事信息(p = 0.006)和对话信息(p = 0.026)对mod产生了更积极的态度;信息性信息略微改善了积极态度(p = 0.080)。与对照组相比,对话信息还增加了对监狱/监狱中mod访问的支持(p = 0.003)。叙事性和信息性信息都没有显著减少消极态度。第一人称(p = .050)和对话(p = .030)消息都比信息性消息产生了更大的传输。结论:信息性信息和叙述性信息都能改善刑事法律环境中对mod使用的态度。有必要提供精心设计的教育信息,旨在改变人们的态度,减少在刑事法律环境中促进使用大麻的障碍。
本文章由计算机程序翻译,如有差异,请以英文原文为准。

Using narrative and informational messages to improve correctional professionals' attitudes toward medications for opioid use disorder.

Using narrative and informational messages to improve correctional professionals' attitudes toward medications for opioid use disorder.

Background: Criminal legal involved (CLI) individuals face a heightened risk of opioid misuse and overdose, yet access to medications for opioid use disorder (MOUD) is limited, particularly in criminal legal settings. Negative attitudes and misinformation about MOUD are prevalent among legal system actors, creating a barrier to MOUD access. This study examines the effectiveness of informational and narrative messages in correcting misinformation and promoting positive attitudes toward MOUD among criminal legal system (CLS) professionals.

Method: Using state/federal websites, social media groups, and professional connections to correctional and behavioral health agencies nationwide, we recruited individuals who were currently working in corrections and behavioral health in criminal legal settings in the United States (N = 502). An online experiment was conducted with four message conditions: no message control, informational message, first-person narrative message, and dialogue message. The study assessed attitudes toward MOUD use and support for greater access in these settings, as well as information processing outcomes including narrative transportation (i.e., becoming immersed in a story), perceived realism, and counterarguing.

Results: Compared to no message control, both the first-person narrative message (p = .006) and the dialogue message (p = .026) produced more positive attitudes toward MOUD; the informational message marginally improved positive attitudes (p = .080). The dialogue message also increased support for MOUD access in jails/prisons compared to control (p = .003). Neither the narrative nor the informational messages significantly reduced negative attitudes. The first-person (p = .050) and dialogue (p = .030) messages both generated significantly greater transportation compared to the informational message.

Conclusion: Both informational and narrative messages can improve attitudes toward MOUD use in criminal legal settings. Well-designed educational messages aimed at changing attitudes and reducing barriers to promoting MOUD use in criminal legal settings are warranted.

求助全文
通过发布文献求助,成功后即可免费获取论文全文。 去求助
来源期刊
Health and Justice
Health and Justice Social Sciences-Law
CiteScore
4.10
自引率
8.60%
发文量
34
审稿时长
13 weeks
期刊介绍: Health & Justice is open to submissions from public health, criminology and criminal justice, medical science, psychology and clinical sciences, sociology, neuroscience, biology, anthropology and the social sciences, and covers a broad array of research types. It publishes original research, research notes (promising issues that are smaller in scope), commentaries, and translational notes (possible ways of introducing innovations in the justice system). Health & Justice aims to: Present original experimental research on the area of health and well-being of people involved in the adult or juvenile justice system, including people who work in the system; Present meta-analysis or systematic reviews in the area of health and justice for those involved in the justice system; Provide an arena to present new and upcoming scientific issues; Present translational science—the movement of scientific findings into practice including programs, procedures, or strategies; Present implementation science findings to advance the uptake and use of evidence-based practices; and, Present protocols and clinical practice guidelines. As an open access journal, Health & Justice aims for a broad reach, including researchers across many disciplines as well as justice practitioners (e.g. judges, prosecutors, defenders, probation officers, treatment providers, mental health and medical personnel working with justice-involved individuals, etc.). The sections of the journal devoted to translational and implementation sciences are primarily geared to practitioners and justice actors with special attention to the techniques used.
×
引用
GB/T 7714-2015
复制
MLA
复制
APA
复制
导出至
BibTeX EndNote RefMan NoteFirst NoteExpress
×
提示
您的信息不完整,为了账户安全,请先补充。
现在去补充
×
提示
您因"违规操作"
具体请查看互助需知
我知道了
×
提示
确定
请完成安全验证×
copy
已复制链接
快去分享给好友吧!
我知道了
右上角分享
点击右上角分享
0
联系我们:info@booksci.cn Book学术提供免费学术资源搜索服务,方便国内外学者检索中英文文献。致力于提供最便捷和优质的服务体验。 Copyright © 2023 布克学术 All rights reserved.
京ICP备2023020795号-1
ghs 京公网安备 11010802042870号
Book学术文献互助
Book学术文献互助群
群 号:604180095
Book学术官方微信