性别在健康成人睡眠限制对食欲和体重调节激素影响中的作用:一项人体研究的系统综述。

IF 2.1 Q3 CLINICAL NEUROLOGY
Mira Alfikany, Khaula Sakhr, Stef Kremers, Sami El Khatib, Tanja Adam, Ree Meertens
{"title":"性别在健康成人睡眠限制对食欲和体重调节激素影响中的作用:一项人体研究的系统综述。","authors":"Mira Alfikany, Khaula Sakhr, Stef Kremers, Sami El Khatib, Tanja Adam, Ree Meertens","doi":"10.3390/clockssleep7030039","DOIUrl":null,"url":null,"abstract":"<p><p>Short sleep has been linked to overweight, possibly via alterations in appetite-regulating hormones, but findings are inconsistent. Sex differences may contribute to this variability. This systematic review examines whether sex modifies the hormonal response to sleep curtailment. PubMed, Embase, Cochrane, CINAHL, and PsycINFO were searched for English-language experimental studies published before December 2024. Included studies assessed at least one appetite-regulating hormone and presented sex-specific analyses. Studies involving health conditions affecting sleep, circadian misalignment, or additional interventions were excluded. Risk of bias was assessed using the Revised Cochrane Risk-of-Bias tool (RoB 2). Eight studies (<i>n</i> = 302 participants) met inclusion criteria. A narrative synthesis of the findings was conducted for each hormone separately to explore potential differences in their response to sleep restriction. Some sex-related variations in hormonal response to sleep restriction have been observed for leptin (four studies, <i>n</i> = 232), insulin (three studies, <i>n</i> = 56), glucagon-like peptide-1 (one study, <i>n</i> = 27), ghrelin (three studies, <i>n</i> = 87), adiponectin (two studies, <i>n</i> = 71) and thyroxine (two studies, <i>n</i> = 41). However, findings were inconsistent with no clear patterns. No sex-related differences were found for glucagon or PYY, though data were limited. Findings suggest sex may influence hormonal responses to sleep restriction, but inconsistencies highlight the need to consider factors such as BMI and energy balance. Well-controlled, adequately powered studies are needed to clarify these effects.</p>","PeriodicalId":33568,"journal":{"name":"Clocks & Sleep","volume":"7 3","pages":""},"PeriodicalIF":2.1000,"publicationDate":"2025-07-29","publicationTypes":"Journal Article","fieldsOfStudy":null,"isOpenAccess":false,"openAccessPdf":"https://www.ncbi.nlm.nih.gov/pmc/articles/PMC12372055/pdf/","citationCount":"0","resultStr":"{\"title\":\"The Role of Sex in the Impact of Sleep Restriction on Appetite- and Weight-Regulating Hormones in Healthy Adults: A Systematic Review of Human Studies.\",\"authors\":\"Mira Alfikany, Khaula Sakhr, Stef Kremers, Sami El Khatib, Tanja Adam, Ree Meertens\",\"doi\":\"10.3390/clockssleep7030039\",\"DOIUrl\":null,\"url\":null,\"abstract\":\"<p><p>Short sleep has been linked to overweight, possibly via alterations in appetite-regulating hormones, but findings are inconsistent. Sex differences may contribute to this variability. This systematic review examines whether sex modifies the hormonal response to sleep curtailment. PubMed, Embase, Cochrane, CINAHL, and PsycINFO were searched for English-language experimental studies published before December 2024. Included studies assessed at least one appetite-regulating hormone and presented sex-specific analyses. Studies involving health conditions affecting sleep, circadian misalignment, or additional interventions were excluded. Risk of bias was assessed using the Revised Cochrane Risk-of-Bias tool (RoB 2). Eight studies (<i>n</i> = 302 participants) met inclusion criteria. A narrative synthesis of the findings was conducted for each hormone separately to explore potential differences in their response to sleep restriction. Some sex-related variations in hormonal response to sleep restriction have been observed for leptin (four studies, <i>n</i> = 232), insulin (three studies, <i>n</i> = 56), glucagon-like peptide-1 (one study, <i>n</i> = 27), ghrelin (three studies, <i>n</i> = 87), adiponectin (two studies, <i>n</i> = 71) and thyroxine (two studies, <i>n</i> = 41). However, findings were inconsistent with no clear patterns. No sex-related differences were found for glucagon or PYY, though data were limited. Findings suggest sex may influence hormonal responses to sleep restriction, but inconsistencies highlight the need to consider factors such as BMI and energy balance. Well-controlled, adequately powered studies are needed to clarify these effects.</p>\",\"PeriodicalId\":33568,\"journal\":{\"name\":\"Clocks & Sleep\",\"volume\":\"7 3\",\"pages\":\"\"},\"PeriodicalIF\":2.1000,\"publicationDate\":\"2025-07-29\",\"publicationTypes\":\"Journal Article\",\"fieldsOfStudy\":null,\"isOpenAccess\":false,\"openAccessPdf\":\"https://www.ncbi.nlm.nih.gov/pmc/articles/PMC12372055/pdf/\",\"citationCount\":\"0\",\"resultStr\":null,\"platform\":\"Semanticscholar\",\"paperid\":null,\"PeriodicalName\":\"Clocks & Sleep\",\"FirstCategoryId\":\"1085\",\"ListUrlMain\":\"https://doi.org/10.3390/clockssleep7030039\",\"RegionNum\":0,\"RegionCategory\":null,\"ArticlePicture\":[],\"TitleCN\":null,\"AbstractTextCN\":null,\"PMCID\":null,\"EPubDate\":\"\",\"PubModel\":\"\",\"JCR\":\"Q3\",\"JCRName\":\"CLINICAL NEUROLOGY\",\"Score\":null,\"Total\":0}","platform":"Semanticscholar","paperid":null,"PeriodicalName":"Clocks & Sleep","FirstCategoryId":"1085","ListUrlMain":"https://doi.org/10.3390/clockssleep7030039","RegionNum":0,"RegionCategory":null,"ArticlePicture":[],"TitleCN":null,"AbstractTextCN":null,"PMCID":null,"EPubDate":"","PubModel":"","JCR":"Q3","JCRName":"CLINICAL NEUROLOGY","Score":null,"Total":0}
引用次数: 0

摘要

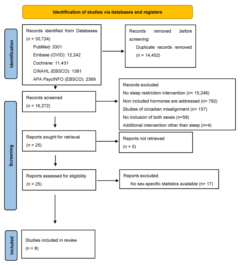
睡眠不足与超重有关,可能是通过改变食欲调节激素,但研究结果并不一致。性别差异可能导致这种差异。这篇系统综述研究了性别是否会改变激素对睡眠减少的反应。PubMed, Embase, Cochrane, CINAHL和PsycINFO检索了2024年12月之前发表的英语实验研究。纳入的研究评估了至少一种食欲调节激素,并提出了性别特异性分析。涉及影响睡眠的健康状况、昼夜节律失调或其他干预措施的研究被排除在外。使用修订后的Cochrane风险-偏倚工具(RoB 2)评估偏倚风险。8项研究(n = 302名受试者)符合纳入标准。研究人员分别对每种激素进行了综合研究,以探索它们对睡眠限制的反应可能存在的差异。瘦素(4项研究,n = 232)、胰岛素(3项研究,n = 56)、胰高血糖素样肽-1(1项研究,n = 27)、胃促生长素(3项研究,n = 87)、脂联素(2项研究,n = 71)和甲状腺素(2项研究,n = 41)对睡眠限制的激素反应存在一些与性别相关的差异。然而,研究结果不一致,没有明确的模式。虽然数据有限,但胰高血糖素和PYY没有发现性别相关的差异。研究结果表明,性别可能会影响激素对睡眠限制的反应,但这种不一致强调需要考虑体重指数和能量平衡等因素。需要控制良好、有充分证据的研究来澄清这些影响。
本文章由计算机程序翻译,如有差异,请以英文原文为准。

The Role of Sex in the Impact of Sleep Restriction on Appetite- and Weight-Regulating Hormones in Healthy Adults: A Systematic Review of Human Studies.

The Role of Sex in the Impact of Sleep Restriction on Appetite- and Weight-Regulating Hormones in Healthy Adults: A Systematic Review of Human Studies.

The Role of Sex in the Impact of Sleep Restriction on Appetite- and Weight-Regulating Hormones in Healthy Adults: A Systematic Review of Human Studies.

Short sleep has been linked to overweight, possibly via alterations in appetite-regulating hormones, but findings are inconsistent. Sex differences may contribute to this variability. This systematic review examines whether sex modifies the hormonal response to sleep curtailment. PubMed, Embase, Cochrane, CINAHL, and PsycINFO were searched for English-language experimental studies published before December 2024. Included studies assessed at least one appetite-regulating hormone and presented sex-specific analyses. Studies involving health conditions affecting sleep, circadian misalignment, or additional interventions were excluded. Risk of bias was assessed using the Revised Cochrane Risk-of-Bias tool (RoB 2). Eight studies (n = 302 participants) met inclusion criteria. A narrative synthesis of the findings was conducted for each hormone separately to explore potential differences in their response to sleep restriction. Some sex-related variations in hormonal response to sleep restriction have been observed for leptin (four studies, n = 232), insulin (three studies, n = 56), glucagon-like peptide-1 (one study, n = 27), ghrelin (three studies, n = 87), adiponectin (two studies, n = 71) and thyroxine (two studies, n = 41). However, findings were inconsistent with no clear patterns. No sex-related differences were found for glucagon or PYY, though data were limited. Findings suggest sex may influence hormonal responses to sleep restriction, but inconsistencies highlight the need to consider factors such as BMI and energy balance. Well-controlled, adequately powered studies are needed to clarify these effects.

求助全文
通过发布文献求助,成功后即可免费获取论文全文。 去求助
来源期刊
Clocks & Sleep
Clocks & Sleep Multiple-
CiteScore
4.40
自引率
0.00%
发文量
0
审稿时长
7 weeks
×
引用
GB/T 7714-2015
复制
MLA
复制
APA
复制
导出至
BibTeX EndNote RefMan NoteFirst NoteExpress
×
提示
您的信息不完整,为了账户安全,请先补充。
现在去补充
×
提示
您因"违规操作"
具体请查看互助需知
我知道了
×
提示
确定
请完成安全验证×
copy
已复制链接
快去分享给好友吧!
我知道了
右上角分享
点击右上角分享
0
联系我们:info@booksci.cn Book学术提供免费学术资源搜索服务,方便国内外学者检索中英文文献。致力于提供最便捷和优质的服务体验。 Copyright © 2023 布克学术 All rights reserved.
京ICP备2023020795号-1
ghs 京公网安备 11010802042870号
Book学术文献互助
Book学术文献互助群
群 号:604180095
Book学术官方微信