评估小儿骶神经刺激器因治愈或并发症解释的可能性:一项13年机构队列的生存分析。

IF 2.9 2区 医学 Q2 UROLOGY & NEPHROLOGY
Jin Kyu Kim, Konrad M Szymanski, Rosalia Misseri, Shelly J King, Nikhil V Batra, Martin Kaefer, Mark P Cain, Richard C Rink, Joshua Roth, Pankaj Dangle, Kirstan Meldrum, Benjamin M Whittam
{"title":"评估小儿骶神经刺激器因治愈或并发症解释的可能性:一项13年机构队列的生存分析。","authors":"Jin Kyu Kim, Konrad M Szymanski, Rosalia Misseri, Shelly J King, Nikhil V Batra, Martin Kaefer, Mark P Cain, Richard C Rink, Joshua Roth, Pankaj Dangle, Kirstan Meldrum, Benjamin M Whittam","doi":"10.1007/s00345-025-05916-7","DOIUrl":null,"url":null,"abstract":"<p><strong>Introduction: </strong>Sacral neuromodulation (SNM) is a treatment option for children with refractory bladder and bowel dysfunction. Prior investigations have shown children may achieve cure of their symptoms following SNM implants and subsequently have their devices explanted. Herein, we present a 13-year experience of pediatric SNM placements and evaluate the likelihood of SNM explantation for any cause, for symptom resolution or complications.</p><p><strong>Methods: </strong>An institutional retrospective review of children who underwent a 2nd stage SNM placement between November 2012 and January 2025 was performed. Reasons for SNM explantation was categorized as a cure or complication. Competing-risk time-to-event analysis was used.</p><p><strong>Results: </strong>There were 129 SNM placements at a median of 10 years old (IQR 8.1-12.7); 88 were females (68.2%) and 41 required SNM revision (31.8%). Median follow-up was 3.5 (IQR 2.0-5.3) years. Subsequently, 46 underwent SNM explantation (35.7%). On survival analysis, median time to explantation (50%) was 6.0 (IQR 4.6-7.3) years. Among explanted, 34 were due to symptom resolution (73.9%) and 13 due to complications (4 infections; 4 pain at site; 3 for MRI requirements; 1 clinically ineffective). On competing risks analysis, 72.5% of the explantations at 6 years were for cure and 27.5% for complications. The 6-year explantation risk was 36.3% for cure and 13.8% for complications. Among 17 children who provided data after device explanation following cure (response rate: 51.5%), 16 (94%) had sustained symptom resolution at a median of 3.8 years (IQR 1.3-5.3) after explantation.</p><p><strong>Conclusion: </strong>Approximately quarter of children with SNM placement achieved cure with increasing probability with follow-up time. More than 70% of explantations are due to cure and less than 10% were due to infections. There is high likelihood of sustained symptom resolution following explantation for cure. SNM remains a safe and viable option for children with refractory BBD with potential for cure.</p>","PeriodicalId":23954,"journal":{"name":"World Journal of Urology","volume":"43 1","pages":"519"},"PeriodicalIF":2.9000,"publicationDate":"2025-08-28","publicationTypes":"Journal Article","fieldsOfStudy":null,"isOpenAccess":false,"openAccessPdf":"https://www.ncbi.nlm.nih.gov/pmc/articles/PMC12394247/pdf/","citationCount":"0","resultStr":"{\"title\":\"Evaluating the likelihood of pediatric sacral nerve stimulator explantations due to cure or complications: a survival analysis of 13-year institutional cohort.\",\"authors\":\"Jin Kyu Kim, Konrad M Szymanski, Rosalia Misseri, Shelly J King, Nikhil V Batra, Martin Kaefer, Mark P Cain, Richard C Rink, Joshua Roth, Pankaj Dangle, Kirstan Meldrum, Benjamin M Whittam\",\"doi\":\"10.1007/s00345-025-05916-7\",\"DOIUrl\":null,\"url\":null,\"abstract\":\"<p><strong>Introduction: </strong>Sacral neuromodulation (SNM) is a treatment option for children with refractory bladder and bowel dysfunction. Prior investigations have shown children may achieve cure of their symptoms following SNM implants and subsequently have their devices explanted. Herein, we present a 13-year experience of pediatric SNM placements and evaluate the likelihood of SNM explantation for any cause, for symptom resolution or complications.</p><p><strong>Methods: </strong>An institutional retrospective review of children who underwent a 2nd stage SNM placement between November 2012 and January 2025 was performed. Reasons for SNM explantation was categorized as a cure or complication. Competing-risk time-to-event analysis was used.</p><p><strong>Results: </strong>There were 129 SNM placements at a median of 10 years old (IQR 8.1-12.7); 88 were females (68.2%) and 41 required SNM revision (31.8%). Median follow-up was 3.5 (IQR 2.0-5.3) years. Subsequently, 46 underwent SNM explantation (35.7%). On survival analysis, median time to explantation (50%) was 6.0 (IQR 4.6-7.3) years. Among explanted, 34 were due to symptom resolution (73.9%) and 13 due to complications (4 infections; 4 pain at site; 3 for MRI requirements; 1 clinically ineffective). On competing risks analysis, 72.5% of the explantations at 6 years were for cure and 27.5% for complications. The 6-year explantation risk was 36.3% for cure and 13.8% for complications. Among 17 children who provided data after device explanation following cure (response rate: 51.5%), 16 (94%) had sustained symptom resolution at a median of 3.8 years (IQR 1.3-5.3) after explantation.</p><p><strong>Conclusion: </strong>Approximately quarter of children with SNM placement achieved cure with increasing probability with follow-up time. More than 70% of explantations are due to cure and less than 10% were due to infections. There is high likelihood of sustained symptom resolution following explantation for cure. SNM remains a safe and viable option for children with refractory BBD with potential for cure.</p>\",\"PeriodicalId\":23954,\"journal\":{\"name\":\"World Journal of Urology\",\"volume\":\"43 1\",\"pages\":\"519\"},\"PeriodicalIF\":2.9000,\"publicationDate\":\"2025-08-28\",\"publicationTypes\":\"Journal Article\",\"fieldsOfStudy\":null,\"isOpenAccess\":false,\"openAccessPdf\":\"https://www.ncbi.nlm.nih.gov/pmc/articles/PMC12394247/pdf/\",\"citationCount\":\"0\",\"resultStr\":null,\"platform\":\"Semanticscholar\",\"paperid\":null,\"PeriodicalName\":\"World Journal of Urology\",\"FirstCategoryId\":\"3\",\"ListUrlMain\":\"https://doi.org/10.1007/s00345-025-05916-7\",\"RegionNum\":2,\"RegionCategory\":\"医学\",\"ArticlePicture\":[],\"TitleCN\":null,\"AbstractTextCN\":null,\"PMCID\":null,\"EPubDate\":\"\",\"PubModel\":\"\",\"JCR\":\"Q2\",\"JCRName\":\"UROLOGY & NEPHROLOGY\",\"Score\":null,\"Total\":0}","platform":"Semanticscholar","paperid":null,"PeriodicalName":"World Journal of Urology","FirstCategoryId":"3","ListUrlMain":"https://doi.org/10.1007/s00345-025-05916-7","RegionNum":2,"RegionCategory":"医学","ArticlePicture":[],"TitleCN":null,"AbstractTextCN":null,"PMCID":null,"EPubDate":"","PubModel":"","JCR":"Q2","JCRName":"UROLOGY & NEPHROLOGY","Score":null,"Total":0}
引用次数: 0

摘要

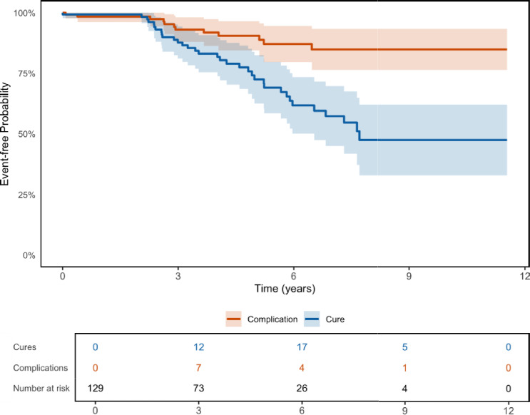
骶神经调节(SNM)是治疗顽固性膀胱和肠功能障碍儿童的一种选择。先前的调查表明,儿童在植入SNM后可能会治愈其症状,随后将其设备移出。在此,我们提出了13年的儿童SNM放置经验,并评估SNM外植的可能性,任何原因,症状解决或并发症。方法:对2012年11月至2025年1月期间接受第二阶段SNM安置的儿童进行机构回顾性分析。SNM外植的原因分为治愈和并发症。采用竞争风险时间-事件分析。结果:在中位年龄为10岁时,共有129个SNM安置(IQR 8.1 ~ 12.7);88例为女性(68.2%),41例需要修改SNM(31.8%)。中位随访时间为3.5年(IQR 2.0-5.3)。随后,46例(35.7%)行SNM外植。在生存分析中,中位移植时间(50%)为6.0 (IQR 4.6-7.3)年。其中34例因症状缓解(73.9%),13例因并发症(感染4例,局部疼痛4例,MRI要求3例,临床无效1例)。在竞争风险分析中,6年的解释中有72.5%为治愈,27.5%为并发症。术后6年,根治风险为36.3%,并发症风险为13.8%。在17名患儿中,在治疗后进行器械解释后提供数据(有效率:51.5%),16名患儿(94%)在取出后中位3.8年(IQR 1.3-5.3)症状持续缓解。结论:近四分之一的SNM患儿获得了治愈,随着随访时间的延长,治愈的可能性越来越大。超过70%的解释是由于治愈,不到10%的解释是由于感染。在切除治疗后,症状持续缓解的可能性很大。SNM仍然是难治性BBD患儿安全可行的选择,具有治愈潜力。
本文章由计算机程序翻译,如有差异,请以英文原文为准。

Evaluating the likelihood of pediatric sacral nerve stimulator explantations due to cure or complications: a survival analysis of 13-year institutional cohort.

Evaluating the likelihood of pediatric sacral nerve stimulator explantations due to cure or complications: a survival analysis of 13-year institutional cohort.

Evaluating the likelihood of pediatric sacral nerve stimulator explantations due to cure or complications: a survival analysis of 13-year institutional cohort.

Introduction: Sacral neuromodulation (SNM) is a treatment option for children with refractory bladder and bowel dysfunction. Prior investigations have shown children may achieve cure of their symptoms following SNM implants and subsequently have their devices explanted. Herein, we present a 13-year experience of pediatric SNM placements and evaluate the likelihood of SNM explantation for any cause, for symptom resolution or complications.

Methods: An institutional retrospective review of children who underwent a 2nd stage SNM placement between November 2012 and January 2025 was performed. Reasons for SNM explantation was categorized as a cure or complication. Competing-risk time-to-event analysis was used.

Results: There were 129 SNM placements at a median of 10 years old (IQR 8.1-12.7); 88 were females (68.2%) and 41 required SNM revision (31.8%). Median follow-up was 3.5 (IQR 2.0-5.3) years. Subsequently, 46 underwent SNM explantation (35.7%). On survival analysis, median time to explantation (50%) was 6.0 (IQR 4.6-7.3) years. Among explanted, 34 were due to symptom resolution (73.9%) and 13 due to complications (4 infections; 4 pain at site; 3 for MRI requirements; 1 clinically ineffective). On competing risks analysis, 72.5% of the explantations at 6 years were for cure and 27.5% for complications. The 6-year explantation risk was 36.3% for cure and 13.8% for complications. Among 17 children who provided data after device explanation following cure (response rate: 51.5%), 16 (94%) had sustained symptom resolution at a median of 3.8 years (IQR 1.3-5.3) after explantation.

Conclusion: Approximately quarter of children with SNM placement achieved cure with increasing probability with follow-up time. More than 70% of explantations are due to cure and less than 10% were due to infections. There is high likelihood of sustained symptom resolution following explantation for cure. SNM remains a safe and viable option for children with refractory BBD with potential for cure.

求助全文
通过发布文献求助,成功后即可免费获取论文全文。 去求助
来源期刊
World Journal of Urology
World Journal of Urology 医学-泌尿学与肾脏学
CiteScore
6.80
自引率
8.80%
发文量
317
审稿时长
4-8 weeks
期刊介绍: The WORLD JOURNAL OF UROLOGY conveys regularly the essential results of urological research and their practical and clinical relevance to a broad audience of urologists in research and clinical practice. In order to guarantee a balanced program, articles are published to reflect the developments in all fields of urology on an internationally advanced level. Each issue treats a main topic in review articles of invited international experts. Free papers are unrelated articles to the main topic.
×
引用
GB/T 7714-2015
复制
MLA
复制
APA
复制
导出至
BibTeX EndNote RefMan NoteFirst NoteExpress
×
提示
您的信息不完整,为了账户安全,请先补充。
现在去补充
×
提示
您因"违规操作"
具体请查看互助需知
我知道了
×
提示
确定
请完成安全验证×
copy
已复制链接
快去分享给好友吧!
我知道了
右上角分享
点击右上角分享
0
联系我们:info@booksci.cn Book学术提供免费学术资源搜索服务,方便国内外学者检索中英文文献。致力于提供最便捷和优质的服务体验。 Copyright © 2023 布克学术 All rights reserved.
京ICP备2023020795号-1
ghs 京公网安备 11010802042870号
Book学术文献互助
Book学术文献互助群
群 号:604180095
Book学术官方微信