下肢动脉硬化闭塞症患者焦虑、抑郁的调查及危险因素分析。

IF 3.4 4区 医学 Q1 PSYCHIATRY
Xiao-Gao Wang, Ying Wang, Yong Gao, Ran Lu, Ze-Yu Guan, Shi-Yuan Chen
{"title":"下肢动脉硬化闭塞症患者焦虑、抑郁的调查及危险因素分析。","authors":"Xiao-Gao Wang, Ying Wang, Yong Gao, Ran Lu, Ze-Yu Guan, Shi-Yuan Chen","doi":"10.5498/wjp.v15.i8.105760","DOIUrl":null,"url":null,"abstract":"<p><strong>Background: </strong>The prevalence of lower extremity arteriosclerosis obliterans (LEASO) in China is progressively increasing with the increment in age. Certain patients may be diagnosed with lower extremity arterial stenosis and occlusion that resist complete curative efforts, which will invariably impose a substantial psychological strain on them.</p><p><strong>Aim: </strong>To investigate the anxiety and depression conditions among patients with LEASO and analyze the associated risk factors.</p><p><strong>Methods: </strong>The Affiliated Hospital of Bengbu Medical University from January 2019 to December 2022. Their demographic and clinical data were obtained through the basic information questionnaire. The social support situation was assessed with the social support rating scale, and the hospital anxiety and depression scale were used to analyze their depression and anxiety levels.</p><p><strong>Results: </strong>The prevalence rate of anxiety was 44.0% among the 159 patients, with a total Self-Rating Anxiety Scale score of 49.01 ± 9.65. The incidence of depression was 40.9%, and the total self-rating depression scale score reached 49.91 ± 9.18. The overall social support score for all participants averaged 24.82 ± 5.80. The correlation analysis between social support scores and anxiety and depression scores revealed that the total social support score, subjective social support, objective social support, as well as the degree of social support utilization, all exhibited a significant negative correlation with the anxiety and depression scores, which was statistically significant (<i>P</i> < 0.05). The univariate analysis revealed statistically significant differences in the depression and anxiety states among patients with varying pain manifestations, disease stages, disease durations, and social support magnitudes (<i>P</i> < 0.05). The multivariate analysis further demonstrated that patients presenting with intermittent claudication, rest pain, and pain, whose disease course was within half a year, and who had relatively low social support, were more predisposed to anxiety. Intriguingly, a monthly income of > 6000 yuan was considered a protective factor in this context (<i>P</i> < 0.05). Similarly, patients with intermittent claudication, rest pain, gangrene, and pain, and who had relatively low social support, were more liable to succumb to depressive moods (<i>P</i> < 0.05).</p><p><strong>Conclusion: </strong>Patients with LEASO typically receive relatively scant social support. Notably, those who concurrently present with symptoms, such as pain, claudication, and gangrene, are at a substantially increased risk of developing depression and anxiety disorders. A significant negative correlation is manifested between the social support level that patients receive and the severity of their anxiety and depression symptoms. Hence, the lower the social support score, the greater the propensity for patients to experience anxiety and depressive emotions. Therefore, during clinical practice, the crucial role that social support plays in safeguarding patients' physical and mental well-being as well as facilitating the effectiveness of disease treatment needs to be particularly emphasized.</p>","PeriodicalId":23896,"journal":{"name":"World Journal of Psychiatry","volume":"15 8","pages":"105760"},"PeriodicalIF":3.4000,"publicationDate":"2025-08-19","publicationTypes":"Journal Article","fieldsOfStudy":null,"isOpenAccess":false,"openAccessPdf":"https://www.ncbi.nlm.nih.gov/pmc/articles/PMC12362631/pdf/","citationCount":"0","resultStr":"{\"title\":\"Investigation and risk factor analysis of anxiety and depression in patients with lower extremity arteriosclerosis obliterans.\",\"authors\":\"Xiao-Gao Wang, Ying Wang, Yong Gao, Ran Lu, Ze-Yu Guan, Shi-Yuan Chen\",\"doi\":\"10.5498/wjp.v15.i8.105760\",\"DOIUrl\":null,\"url\":null,\"abstract\":\"<p><strong>Background: </strong>The prevalence of lower extremity arteriosclerosis obliterans (LEASO) in China is progressively increasing with the increment in age. Certain patients may be diagnosed with lower extremity arterial stenosis and occlusion that resist complete curative efforts, which will invariably impose a substantial psychological strain on them.</p><p><strong>Aim: </strong>To investigate the anxiety and depression conditions among patients with LEASO and analyze the associated risk factors.</p><p><strong>Methods: </strong>The Affiliated Hospital of Bengbu Medical University from January 2019 to December 2022. Their demographic and clinical data were obtained through the basic information questionnaire. The social support situation was assessed with the social support rating scale, and the hospital anxiety and depression scale were used to analyze their depression and anxiety levels.</p><p><strong>Results: </strong>The prevalence rate of anxiety was 44.0% among the 159 patients, with a total Self-Rating Anxiety Scale score of 49.01 ± 9.65. The incidence of depression was 40.9%, and the total self-rating depression scale score reached 49.91 ± 9.18. The overall social support score for all participants averaged 24.82 ± 5.80. The correlation analysis between social support scores and anxiety and depression scores revealed that the total social support score, subjective social support, objective social support, as well as the degree of social support utilization, all exhibited a significant negative correlation with the anxiety and depression scores, which was statistically significant (<i>P</i> < 0.05). The univariate analysis revealed statistically significant differences in the depression and anxiety states among patients with varying pain manifestations, disease stages, disease durations, and social support magnitudes (<i>P</i> < 0.05). The multivariate analysis further demonstrated that patients presenting with intermittent claudication, rest pain, and pain, whose disease course was within half a year, and who had relatively low social support, were more predisposed to anxiety. Intriguingly, a monthly income of > 6000 yuan was considered a protective factor in this context (<i>P</i> < 0.05). Similarly, patients with intermittent claudication, rest pain, gangrene, and pain, and who had relatively low social support, were more liable to succumb to depressive moods (<i>P</i> < 0.05).</p><p><strong>Conclusion: </strong>Patients with LEASO typically receive relatively scant social support. Notably, those who concurrently present with symptoms, such as pain, claudication, and gangrene, are at a substantially increased risk of developing depression and anxiety disorders. A significant negative correlation is manifested between the social support level that patients receive and the severity of their anxiety and depression symptoms. Hence, the lower the social support score, the greater the propensity for patients to experience anxiety and depressive emotions. Therefore, during clinical practice, the crucial role that social support plays in safeguarding patients' physical and mental well-being as well as facilitating the effectiveness of disease treatment needs to be particularly emphasized.</p>\",\"PeriodicalId\":23896,\"journal\":{\"name\":\"World Journal of Psychiatry\",\"volume\":\"15 8\",\"pages\":\"105760\"},\"PeriodicalIF\":3.4000,\"publicationDate\":\"2025-08-19\",\"publicationTypes\":\"Journal Article\",\"fieldsOfStudy\":null,\"isOpenAccess\":false,\"openAccessPdf\":\"https://www.ncbi.nlm.nih.gov/pmc/articles/PMC12362631/pdf/\",\"citationCount\":\"0\",\"resultStr\":null,\"platform\":\"Semanticscholar\",\"paperid\":null,\"PeriodicalName\":\"World Journal of Psychiatry\",\"FirstCategoryId\":\"3\",\"ListUrlMain\":\"https://doi.org/10.5498/wjp.v15.i8.105760\",\"RegionNum\":4,\"RegionCategory\":\"医学\",\"ArticlePicture\":[],\"TitleCN\":null,\"AbstractTextCN\":null,\"PMCID\":null,\"EPubDate\":\"\",\"PubModel\":\"\",\"JCR\":\"Q1\",\"JCRName\":\"PSYCHIATRY\",\"Score\":null,\"Total\":0}","platform":"Semanticscholar","paperid":null,"PeriodicalName":"World Journal of Psychiatry","FirstCategoryId":"3","ListUrlMain":"https://doi.org/10.5498/wjp.v15.i8.105760","RegionNum":4,"RegionCategory":"医学","ArticlePicture":[],"TitleCN":null,"AbstractTextCN":null,"PMCID":null,"EPubDate":"","PubModel":"","JCR":"Q1","JCRName":"PSYCHIATRY","Score":null,"Total":0}
引用次数: 0

摘要

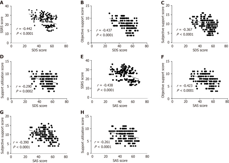
背景:中国下肢动脉硬化闭塞症(LEASO)的患病率随着年龄的增长而逐渐增加。某些患者可能被诊断为下肢动脉狭窄和闭塞,无法完全治愈,这将不可避免地给他们带来巨大的心理压力。目的:了解LEASO患者的焦虑、抑郁状况,并分析相关危险因素。方法:蚌埠医科大学附属医院2019年1月- 2022年12月。通过基本信息问卷获得患者的人口学和临床资料。采用社会支持评定量表评估其社会支持状况,采用医院焦虑抑郁量表分析其抑郁焦虑水平。结果:159例患者的焦虑患病率为44.0%,焦虑自评量表总分为49.01±9.65分。抑郁发生率为40.9%,抑郁自评量表总分为49.91±9.18分。所有参与者的社会支持总分平均为24.82±5.80分。社会支持得分与焦虑抑郁得分的相关分析显示,社会支持总分、主观社会支持、客观社会支持以及社会支持利用程度均与焦虑抑郁得分呈显著负相关,差异均有统计学意义(P < 0.05)。单因素分析显示,不同疼痛表现、不同疾病分期、不同病程、不同社会支持程度的患者抑郁焦虑状态差异有统计学意义(P < 0.05)。多变量分析进一步表明,病程在半年以内、社会支持相对较低的间歇性跛行、休息痛、疼痛患者更容易出现焦虑。有趣的是,月收入6000元被认为是保护因素(P < 0.05)。同样,间歇性跛行、静息痛、坏疽、疼痛以及社会支持相对较低的患者更容易屈服于抑郁情绪(P < 0.05)。结论:LEASO患者获得的社会支持相对较少。值得注意的是,那些同时出现疼痛、跛行和坏疽等症状的人,患抑郁症和焦虑症的风险大大增加。患者获得的社会支持水平与焦虑、抑郁症状的严重程度呈显著负相关。因此,社会支持得分越低,患者越容易产生焦虑和抑郁情绪。因此,在临床实践中,需要特别强调社会支持在保障患者身心健康、促进疾病治疗效果方面的关键作用。
本文章由计算机程序翻译,如有差异,请以英文原文为准。

Investigation and risk factor analysis of anxiety and depression in patients with lower extremity arteriosclerosis obliterans.

Investigation and risk factor analysis of anxiety and depression in patients with lower extremity arteriosclerosis obliterans.

Background: The prevalence of lower extremity arteriosclerosis obliterans (LEASO) in China is progressively increasing with the increment in age. Certain patients may be diagnosed with lower extremity arterial stenosis and occlusion that resist complete curative efforts, which will invariably impose a substantial psychological strain on them.

Aim: To investigate the anxiety and depression conditions among patients with LEASO and analyze the associated risk factors.

Methods: The Affiliated Hospital of Bengbu Medical University from January 2019 to December 2022. Their demographic and clinical data were obtained through the basic information questionnaire. The social support situation was assessed with the social support rating scale, and the hospital anxiety and depression scale were used to analyze their depression and anxiety levels.

Results: The prevalence rate of anxiety was 44.0% among the 159 patients, with a total Self-Rating Anxiety Scale score of 49.01 ± 9.65. The incidence of depression was 40.9%, and the total self-rating depression scale score reached 49.91 ± 9.18. The overall social support score for all participants averaged 24.82 ± 5.80. The correlation analysis between social support scores and anxiety and depression scores revealed that the total social support score, subjective social support, objective social support, as well as the degree of social support utilization, all exhibited a significant negative correlation with the anxiety and depression scores, which was statistically significant (P < 0.05). The univariate analysis revealed statistically significant differences in the depression and anxiety states among patients with varying pain manifestations, disease stages, disease durations, and social support magnitudes (P < 0.05). The multivariate analysis further demonstrated that patients presenting with intermittent claudication, rest pain, and pain, whose disease course was within half a year, and who had relatively low social support, were more predisposed to anxiety. Intriguingly, a monthly income of > 6000 yuan was considered a protective factor in this context (P < 0.05). Similarly, patients with intermittent claudication, rest pain, gangrene, and pain, and who had relatively low social support, were more liable to succumb to depressive moods (P < 0.05).

Conclusion: Patients with LEASO typically receive relatively scant social support. Notably, those who concurrently present with symptoms, such as pain, claudication, and gangrene, are at a substantially increased risk of developing depression and anxiety disorders. A significant negative correlation is manifested between the social support level that patients receive and the severity of their anxiety and depression symptoms. Hence, the lower the social support score, the greater the propensity for patients to experience anxiety and depressive emotions. Therefore, during clinical practice, the crucial role that social support plays in safeguarding patients' physical and mental well-being as well as facilitating the effectiveness of disease treatment needs to be particularly emphasized.

求助全文
通过发布文献求助,成功后即可免费获取论文全文。 去求助
来源期刊
自引率
6.50%
发文量
110
期刊介绍: The World Journal of Psychiatry (WJP) is a high-quality, peer reviewed, open-access journal. The primary task of WJP is to rapidly publish high-quality original articles, reviews, editorials, and case reports in the field of psychiatry. In order to promote productive academic communication, the peer review process for the WJP is transparent; to this end, all published manuscripts are accompanied by the anonymized reviewers’ comments as well as the authors’ responses. The primary aims of the WJP are to improve diagnostic, therapeutic and preventive modalities and the skills of clinicians and to guide clinical practice in psychiatry.
×
引用
GB/T 7714-2015
复制
MLA
复制
APA
复制
导出至
BibTeX EndNote RefMan NoteFirst NoteExpress
×
提示
您的信息不完整,为了账户安全,请先补充。
现在去补充
×
提示
您因"违规操作"
具体请查看互助需知
我知道了
×
提示
确定
请完成安全验证×
copy
已复制链接
快去分享给好友吧!
我知道了
右上角分享
点击右上角分享
0
联系我们:info@booksci.cn Book学术提供免费学术资源搜索服务,方便国内外学者检索中英文文献。致力于提供最便捷和优质的服务体验。 Copyright © 2023 布克学术 All rights reserved.
京ICP备2023020795号-1
ghs 京公网安备 11010802042870号
Book学术文献互助
Book学术文献互助群
群 号:604180095
Book学术官方微信