探讨SF3B4、HMGB1表达与胃癌临床病理特征及预后的关系。

IF 2.5 4区 医学 Q2 GASTROENTEROLOGY & HEPATOLOGY
Min-Yue Shou, Yu-Qing Liu, Yong-Qian Shu
{"title":"探讨SF3B4、HMGB1表达与胃癌临床病理特征及预后的关系。","authors":"Min-Yue Shou, Yu-Qing Liu, Yong-Qian Shu","doi":"10.4251/wjgo.v17.i8.109120","DOIUrl":null,"url":null,"abstract":"<p><strong>Background: </strong>Gastric cancer ranks among the leading malignancies worldwide, noted for its high morbidity and mortality, and remains a significant challenge to global public health.</p><p><strong>Aim: </strong>To investigate the association between the expression of splicing factor 3b subunit 4 (<i>SF3B4</i>) and high mobility group box 1 (<i>HMGB1</i>) with the clinical characteristics and prognostic outcomes of gastric cancer patients.</p><p><strong>Methods: </strong>A retrospective cohort study was conducted involving 114 individuals diagnosed with gastric cancer and admitted to our institution from January 2020 to December 2021. A comparison group of 90 patients diagnosed with benign gastric disorders during the same period was also included. Expression levels of <i>SF3B4</i> and <i>HMGB1</i> were assessed using real-time quantitative polymerase chain reaction. Expression patterns were analyzed in relation to various clinicopathological features. Receiver operating characteristic curves were constructed to evaluate the ability of <i>SF3B4</i> and <i>HMGB1</i>, alone and in combination, to predict unfavorable one-year outcomes. Multivariate logistic regression was utilized to identify independent predictors of mortality. Kaplan-Meier survival curves were generated to examine survival differences based on <i>SF3B4</i> and <i>HMGB1</i> expression levels.</p><p><strong>Results: </strong>Both <i>SF3B4</i> and <i>HMGB1</i> were markedly upregulated in tumor tissues of gastric cancer patients compared to adjacent normal tissues and to tissues from non-malignant gastric disease patients (<sup>a</sup> <i>P</i> < 0.05). Higher expression levels of these two genes were significantly associated with aggressive pathological features, including poor differentiation, tumor size > 5 cm, deep infiltration (T3-T4), lymph node involvement, and advanced clinical stage (III-IV) (<sup>a</sup> <i>P</i> < 0.05). Receiver operating characteristic analysis revealed that the combined use of <i>SF3B4</i> and <i>HMGB1</i> yielded an area under the curve of 0.914, surpassing the predictive performance of either marker alone (<i>SF3B4</i>: 0.776; <i>HMGB1</i>: 0.757). Multivariate analysis identified <i>SF3B4</i> ≥ 1.45, <i>HMGB1</i> ≥ 0.93, poor differentiation, larger tumor size, deeper invasion, lymph node metastasis, and advanced clinical tumor-node-metastasis staging as independent factors contributing to one-year mortality (<sup>a</sup> <i>P</i> < 0.05). Survival analysis indicated that patients with elevated <i>SF3B4</i> and <i>HMGB1</i> levels had a shorter median survival (25.74 ± 5.46 months) compared to those with lower expression levels (33.29 ± 6.71 months, log-rank = 10.534, <sup>a</sup> <i>P</i> < 0.05).</p><p><strong>Conclusion: </strong>Elevated <i>SF3B4</i> and <i>HMGB1</i> expression in gastric cancer tissue is significantly associated with tumor aggressiveness, worse prognosis, and reduced survival. These biomarkers may offer clinical value in stratifying patients by risk and in forecasting outcomes. Their combined assessment improves predictive accuracy for poor prognosis and may serve as a more effective tool than individual evaluation.</p>","PeriodicalId":23762,"journal":{"name":"World Journal of Gastrointestinal Oncology","volume":"17 8","pages":"109120"},"PeriodicalIF":2.5000,"publicationDate":"2025-08-15","publicationTypes":"Journal Article","fieldsOfStudy":null,"isOpenAccess":false,"openAccessPdf":"https://www.ncbi.nlm.nih.gov/pmc/articles/PMC12362540/pdf/","citationCount":"0","resultStr":"{\"title\":\"Exploration of the association between <i>SF3B4</i> and <i>HMGB1</i> expression and the clinicopathological features and prognosis of gastric cancer.\",\"authors\":\"Min-Yue Shou, Yu-Qing Liu, Yong-Qian Shu\",\"doi\":\"10.4251/wjgo.v17.i8.109120\",\"DOIUrl\":null,\"url\":null,\"abstract\":\"<p><strong>Background: </strong>Gastric cancer ranks among the leading malignancies worldwide, noted for its high morbidity and mortality, and remains a significant challenge to global public health.</p><p><strong>Aim: </strong>To investigate the association between the expression of splicing factor 3b subunit 4 (<i>SF3B4</i>) and high mobility group box 1 (<i>HMGB1</i>) with the clinical characteristics and prognostic outcomes of gastric cancer patients.</p><p><strong>Methods: </strong>A retrospective cohort study was conducted involving 114 individuals diagnosed with gastric cancer and admitted to our institution from January 2020 to December 2021. A comparison group of 90 patients diagnosed with benign gastric disorders during the same period was also included. Expression levels of <i>SF3B4</i> and <i>HMGB1</i> were assessed using real-time quantitative polymerase chain reaction. Expression patterns were analyzed in relation to various clinicopathological features. Receiver operating characteristic curves were constructed to evaluate the ability of <i>SF3B4</i> and <i>HMGB1</i>, alone and in combination, to predict unfavorable one-year outcomes. Multivariate logistic regression was utilized to identify independent predictors of mortality. Kaplan-Meier survival curves were generated to examine survival differences based on <i>SF3B4</i> and <i>HMGB1</i> expression levels.</p><p><strong>Results: </strong>Both <i>SF3B4</i> and <i>HMGB1</i> were markedly upregulated in tumor tissues of gastric cancer patients compared to adjacent normal tissues and to tissues from non-malignant gastric disease patients (<sup>a</sup> <i>P</i> < 0.05). Higher expression levels of these two genes were significantly associated with aggressive pathological features, including poor differentiation, tumor size > 5 cm, deep infiltration (T3-T4), lymph node involvement, and advanced clinical stage (III-IV) (<sup>a</sup> <i>P</i> < 0.05). Receiver operating characteristic analysis revealed that the combined use of <i>SF3B4</i> and <i>HMGB1</i> yielded an area under the curve of 0.914, surpassing the predictive performance of either marker alone (<i>SF3B4</i>: 0.776; <i>HMGB1</i>: 0.757). Multivariate analysis identified <i>SF3B4</i> ≥ 1.45, <i>HMGB1</i> ≥ 0.93, poor differentiation, larger tumor size, deeper invasion, lymph node metastasis, and advanced clinical tumor-node-metastasis staging as independent factors contributing to one-year mortality (<sup>a</sup> <i>P</i> < 0.05). Survival analysis indicated that patients with elevated <i>SF3B4</i> and <i>HMGB1</i> levels had a shorter median survival (25.74 ± 5.46 months) compared to those with lower expression levels (33.29 ± 6.71 months, log-rank = 10.534, <sup>a</sup> <i>P</i> < 0.05).</p><p><strong>Conclusion: </strong>Elevated <i>SF3B4</i> and <i>HMGB1</i> expression in gastric cancer tissue is significantly associated with tumor aggressiveness, worse prognosis, and reduced survival. These biomarkers may offer clinical value in stratifying patients by risk and in forecasting outcomes. Their combined assessment improves predictive accuracy for poor prognosis and may serve as a more effective tool than individual evaluation.</p>\",\"PeriodicalId\":23762,\"journal\":{\"name\":\"World Journal of Gastrointestinal Oncology\",\"volume\":\"17 8\",\"pages\":\"109120\"},\"PeriodicalIF\":2.5000,\"publicationDate\":\"2025-08-15\",\"publicationTypes\":\"Journal Article\",\"fieldsOfStudy\":null,\"isOpenAccess\":false,\"openAccessPdf\":\"https://www.ncbi.nlm.nih.gov/pmc/articles/PMC12362540/pdf/\",\"citationCount\":\"0\",\"resultStr\":null,\"platform\":\"Semanticscholar\",\"paperid\":null,\"PeriodicalName\":\"World Journal of Gastrointestinal Oncology\",\"FirstCategoryId\":\"3\",\"ListUrlMain\":\"https://doi.org/10.4251/wjgo.v17.i8.109120\",\"RegionNum\":4,\"RegionCategory\":\"医学\",\"ArticlePicture\":[],\"TitleCN\":null,\"AbstractTextCN\":null,\"PMCID\":null,\"EPubDate\":\"\",\"PubModel\":\"\",\"JCR\":\"Q2\",\"JCRName\":\"GASTROENTEROLOGY & HEPATOLOGY\",\"Score\":null,\"Total\":0}","platform":"Semanticscholar","paperid":null,"PeriodicalName":"World Journal of Gastrointestinal Oncology","FirstCategoryId":"3","ListUrlMain":"https://doi.org/10.4251/wjgo.v17.i8.109120","RegionNum":4,"RegionCategory":"医学","ArticlePicture":[],"TitleCN":null,"AbstractTextCN":null,"PMCID":null,"EPubDate":"","PubModel":"","JCR":"Q2","JCRName":"GASTROENTEROLOGY & HEPATOLOGY","Score":null,"Total":0}
引用次数: 0

摘要

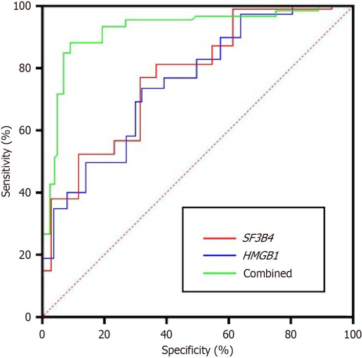
背景:胃癌是世界范围内主要的恶性肿瘤之一,以其高发病率和死亡率而闻名,并且仍然是全球公共卫生的重大挑战。目的:探讨剪接因子3b亚基4 (SF3B4)和高迁移率组盒1 (HMGB1)表达与胃癌患者临床特征及预后的关系。方法:对2020年1月至2021年12月我院收治的114例胃癌患者进行回顾性队列研究。在同一时期被诊断为良性胃疾病的90名患者也被纳入对照组。采用实时定量聚合酶链反应检测SF3B4和HMGB1的表达水平。分析表达模式与各种临床病理特征的关系。构建受试者工作特征曲线,评价SF3B4和HMGB1单独或联合预测1年不良预后的能力。采用多变量逻辑回归来确定死亡率的独立预测因子。生成Kaplan-Meier生存曲线,检测SF3B4和HMGB1表达水平的生存差异。结果:胃癌患者肿瘤组织中SF3B4和HMGB1的表达均明显高于癌旁正常组织和非恶性胃病患者组织(a P < 0.05)。这两个基因的高表达水平与肿瘤分化差、肿瘤大小bbb5 cm、深部浸润(T3-T4)、淋巴结累及及临床分期(III-IV)等侵袭性病理特征显著相关(a P < 0.05)。受试者工作特征分析显示,SF3B4和HMGB1联合使用产生的曲线下面积为0.914,超过单独使用任何一种标记的预测性能(SF3B4: 0.776; HMGB1: 0.757)。多因素分析发现SF3B4≥1.45、HMGB1≥0.93、分化差、肿瘤体积较大、浸润较深、淋巴结转移、临床肿瘤-淋巴结-转移分期较晚是影响1年死亡率的独立因素(P < 0.05)。生存分析显示,SF3B4和HMGB1表达水平升高的患者中位生存期(25.74±5.46个月)短于表达水平较低的患者(33.29±6.71个月,log-rank = 10.534, a P < 0.05)。结论:胃癌组织中SF3B4和HMGB1表达升高与肿瘤侵袭性、预后恶化、生存期降低有显著相关性。这些生物标记物可能在根据风险对患者进行分层和预测预后方面提供临床价值。他们的联合评估提高了对不良预后的预测准确性,可能是比单独评估更有效的工具。
本文章由计算机程序翻译,如有差异,请以英文原文为准。

Exploration of the association between <i>SF3B4</i> and <i>HMGB1</i> expression and the clinicopathological features and prognosis of gastric cancer.

Exploration of the association between <i>SF3B4</i> and <i>HMGB1</i> expression and the clinicopathological features and prognosis of gastric cancer.

Exploration of the association between <i>SF3B4</i> and <i>HMGB1</i> expression and the clinicopathological features and prognosis of gastric cancer.

Exploration of the association between SF3B4 and HMGB1 expression and the clinicopathological features and prognosis of gastric cancer.

Background: Gastric cancer ranks among the leading malignancies worldwide, noted for its high morbidity and mortality, and remains a significant challenge to global public health.

Aim: To investigate the association between the expression of splicing factor 3b subunit 4 (SF3B4) and high mobility group box 1 (HMGB1) with the clinical characteristics and prognostic outcomes of gastric cancer patients.

Methods: A retrospective cohort study was conducted involving 114 individuals diagnosed with gastric cancer and admitted to our institution from January 2020 to December 2021. A comparison group of 90 patients diagnosed with benign gastric disorders during the same period was also included. Expression levels of SF3B4 and HMGB1 were assessed using real-time quantitative polymerase chain reaction. Expression patterns were analyzed in relation to various clinicopathological features. Receiver operating characteristic curves were constructed to evaluate the ability of SF3B4 and HMGB1, alone and in combination, to predict unfavorable one-year outcomes. Multivariate logistic regression was utilized to identify independent predictors of mortality. Kaplan-Meier survival curves were generated to examine survival differences based on SF3B4 and HMGB1 expression levels.

Results: Both SF3B4 and HMGB1 were markedly upregulated in tumor tissues of gastric cancer patients compared to adjacent normal tissues and to tissues from non-malignant gastric disease patients (a P < 0.05). Higher expression levels of these two genes were significantly associated with aggressive pathological features, including poor differentiation, tumor size > 5 cm, deep infiltration (T3-T4), lymph node involvement, and advanced clinical stage (III-IV) (a P < 0.05). Receiver operating characteristic analysis revealed that the combined use of SF3B4 and HMGB1 yielded an area under the curve of 0.914, surpassing the predictive performance of either marker alone (SF3B4: 0.776; HMGB1: 0.757). Multivariate analysis identified SF3B4 ≥ 1.45, HMGB1 ≥ 0.93, poor differentiation, larger tumor size, deeper invasion, lymph node metastasis, and advanced clinical tumor-node-metastasis staging as independent factors contributing to one-year mortality (a P < 0.05). Survival analysis indicated that patients with elevated SF3B4 and HMGB1 levels had a shorter median survival (25.74 ± 5.46 months) compared to those with lower expression levels (33.29 ± 6.71 months, log-rank = 10.534, a P < 0.05).

Conclusion: Elevated SF3B4 and HMGB1 expression in gastric cancer tissue is significantly associated with tumor aggressiveness, worse prognosis, and reduced survival. These biomarkers may offer clinical value in stratifying patients by risk and in forecasting outcomes. Their combined assessment improves predictive accuracy for poor prognosis and may serve as a more effective tool than individual evaluation.

求助全文
通过发布文献求助,成功后即可免费获取论文全文。 去求助
来源期刊
World Journal of Gastrointestinal Oncology
World Journal of Gastrointestinal Oncology Medicine-Gastroenterology
CiteScore
4.20
自引率
3.30%
发文量
1082
期刊介绍: The World Journal of Gastrointestinal Oncology (WJGO) is a leading academic journal devoted to reporting the latest, cutting-edge research progress and findings of basic research and clinical practice in the field of gastrointestinal oncology.
×
引用
GB/T 7714-2015
复制
MLA
复制
APA
复制
导出至
BibTeX EndNote RefMan NoteFirst NoteExpress
×
提示
您的信息不完整,为了账户安全,请先补充。
现在去补充
×
提示
您因"违规操作"
具体请查看互助需知
我知道了
×
提示
确定
请完成安全验证×
copy
已复制链接
快去分享给好友吧!
我知道了
右上角分享
点击右上角分享
0
联系我们:info@booksci.cn Book学术提供免费学术资源搜索服务,方便国内外学者检索中英文文献。致力于提供最便捷和优质的服务体验。 Copyright © 2023 布克学术 All rights reserved.
京ICP备2023020795号-1
ghs 京公网安备 11010802042870号
Book学术文献互助
Book学术文献互助群
群 号:604180095
Book学术官方微信