冈比亚妇女肥胖和肥胖相关性糖尿病相关的Hepcidin和铁标志物的改变

Q1 Medicine
Wellcome Open Research Pub Date : 2025-09-09 eCollection Date: 2024-01-01 DOI:10.12688/wellcomeopenres.22997.2
Meike Siemonsma, Carla Cerami, Bakary Darboe, Hans Verhoef, Andrew M Prentice, Modou Jobe
{"title":"冈比亚妇女肥胖和肥胖相关性糖尿病相关的Hepcidin和铁标志物的改变","authors":"Meike Siemonsma, Carla Cerami, Bakary Darboe, Hans Verhoef, Andrew M Prentice, Modou Jobe","doi":"10.12688/wellcomeopenres.22997.2","DOIUrl":null,"url":null,"abstract":"<p><strong>Aims: </strong>Obesity, type 2 diabetes (T2D), and chronic inflammation are associated with disturbances in iron metabolism. Hepcidin is hypothesized to play a role in these alterations owing to its strong association with inflammation via the JAK-STAT3 pathway. The current study investigated the differences between inflammatory markers and iron indices and their association with hepcidin in lean women, women with obesity, and women with obesity and T2D (obesity-T2D) in The Gambia.</p><p><strong>Materials and methods: </strong>In a cross-sectional study design, fasted blood samples were collected from three groups of women: lean women (n=42, geometric mean (GM) body mass index (BMI)=20.9 kg/m <sup>2</sup>), women with obesity (n=48, GM BMI=33.1 kg/m <sup>2</sup>) and women with obesity-T2D (n=30, GM BMI=34.5 kg/m <sup>2</sup>). Markers of inflammation (IL-6 and CRP) and iron metabolism [hepcidin, iron, ferritin, soluble transferrin receptor (sTfR), transferrin, transferrin saturation, and unsaturated iron-binding capacity (UIBC)] were compared using linear regression models. Simple regression analyses were performed to assess the association between hepcidin levels and respective markers.</p><p><strong>Results: </strong>Women with obesity and obesity-T2D showed elevated levels of inflammatory markers. There was no evidence that markers of iron metabolism differed between lean women and obese women, but women with obesity-T2D had higher transferrin saturation, higher serum iron concentration, and lower UIBC. Serum hepcidin concentrations were similar in all the groups. Hepcidin was not associated with markers of inflammation but was strongly associated with all other iron indices (all P<0.002).</p><p><strong>Conclusion: </strong>Contrary to our original hypothesis, hepcidin was not associated with markers of inflammation in the three groups of Gambian women, despite the presence of chronic inflammation in women with obesity and obesity-T2D.</p>","PeriodicalId":23677,"journal":{"name":"Wellcome Open Research","volume":"9 ","pages":"666"},"PeriodicalIF":0.0000,"publicationDate":"2025-09-09","publicationTypes":"Journal Article","fieldsOfStudy":null,"isOpenAccess":false,"openAccessPdf":"https://www.ncbi.nlm.nih.gov/pmc/articles/PMC12398679/pdf/","citationCount":"0","resultStr":"{\"title\":\"Alterations of Hepcidin and Iron Markers Associated with Obesity and Obesity-related Diabetes in Gambian Women.\",\"authors\":\"Meike Siemonsma, Carla Cerami, Bakary Darboe, Hans Verhoef, Andrew M Prentice, Modou Jobe\",\"doi\":\"10.12688/wellcomeopenres.22997.2\",\"DOIUrl\":null,\"url\":null,\"abstract\":\"<p><strong>Aims: </strong>Obesity, type 2 diabetes (T2D), and chronic inflammation are associated with disturbances in iron metabolism. Hepcidin is hypothesized to play a role in these alterations owing to its strong association with inflammation via the JAK-STAT3 pathway. The current study investigated the differences between inflammatory markers and iron indices and their association with hepcidin in lean women, women with obesity, and women with obesity and T2D (obesity-T2D) in The Gambia.</p><p><strong>Materials and methods: </strong>In a cross-sectional study design, fasted blood samples were collected from three groups of women: lean women (n=42, geometric mean (GM) body mass index (BMI)=20.9 kg/m <sup>2</sup>), women with obesity (n=48, GM BMI=33.1 kg/m <sup>2</sup>) and women with obesity-T2D (n=30, GM BMI=34.5 kg/m <sup>2</sup>). Markers of inflammation (IL-6 and CRP) and iron metabolism [hepcidin, iron, ferritin, soluble transferrin receptor (sTfR), transferrin, transferrin saturation, and unsaturated iron-binding capacity (UIBC)] were compared using linear regression models. Simple regression analyses were performed to assess the association between hepcidin levels and respective markers.</p><p><strong>Results: </strong>Women with obesity and obesity-T2D showed elevated levels of inflammatory markers. There was no evidence that markers of iron metabolism differed between lean women and obese women, but women with obesity-T2D had higher transferrin saturation, higher serum iron concentration, and lower UIBC. Serum hepcidin concentrations were similar in all the groups. Hepcidin was not associated with markers of inflammation but was strongly associated with all other iron indices (all P<0.002).</p><p><strong>Conclusion: </strong>Contrary to our original hypothesis, hepcidin was not associated with markers of inflammation in the three groups of Gambian women, despite the presence of chronic inflammation in women with obesity and obesity-T2D.</p>\",\"PeriodicalId\":23677,\"journal\":{\"name\":\"Wellcome Open Research\",\"volume\":\"9 \",\"pages\":\"666\"},\"PeriodicalIF\":0.0000,\"publicationDate\":\"2025-09-09\",\"publicationTypes\":\"Journal Article\",\"fieldsOfStudy\":null,\"isOpenAccess\":false,\"openAccessPdf\":\"https://www.ncbi.nlm.nih.gov/pmc/articles/PMC12398679/pdf/\",\"citationCount\":\"0\",\"resultStr\":null,\"platform\":\"Semanticscholar\",\"paperid\":null,\"PeriodicalName\":\"Wellcome Open Research\",\"FirstCategoryId\":\"1085\",\"ListUrlMain\":\"https://doi.org/10.12688/wellcomeopenres.22997.2\",\"RegionNum\":0,\"RegionCategory\":null,\"ArticlePicture\":[],\"TitleCN\":null,\"AbstractTextCN\":null,\"PMCID\":null,\"EPubDate\":\"2024/1/1 0:00:00\",\"PubModel\":\"eCollection\",\"JCR\":\"Q1\",\"JCRName\":\"Medicine\",\"Score\":null,\"Total\":0}","platform":"Semanticscholar","paperid":null,"PeriodicalName":"Wellcome Open Research","FirstCategoryId":"1085","ListUrlMain":"https://doi.org/10.12688/wellcomeopenres.22997.2","RegionNum":0,"RegionCategory":null,"ArticlePicture":[],"TitleCN":null,"AbstractTextCN":null,"PMCID":null,"EPubDate":"2024/1/1 0:00:00","PubModel":"eCollection","JCR":"Q1","JCRName":"Medicine","Score":null,"Total":0}
引用次数: 0

摘要

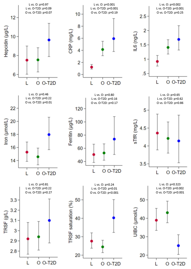
目的:肥胖、2型糖尿病(T2D)和慢性炎症与铁代谢紊乱有关。Hepcidin通过JAK-STAT3通路与炎症密切相关,因此被推测在这些改变中发挥作用。目前的研究调查了冈比亚瘦女性、肥胖女性和肥胖合并T2D(肥胖-T2D)女性中炎症标志物和铁指数的差异及其与hepcidin的关系。材料与方法:采用横断面研究设计,从三组女性中采集空腹血液样本:瘦女性(n=42,体重指数(BMI)=20.9 kg/ m2),肥胖女性(n=48,体重指数=33.1 kg/ m2)和肥胖- t2dm女性(n=30,体重指数=34.5 kg/ m2)。使用线性回归模型比较炎症标志物(IL-6和CRP)和铁代谢[hepcidin、铁、铁蛋白、可溶性转铁蛋白受体(sTfR)、转铁蛋白、转铁蛋白饱和度和不饱和铁结合能力(UIBC)]。简单回归分析评估hepcidin水平与相应标记物之间的关系。结果:肥胖和肥胖- t2d的女性炎症标志物水平升高。没有证据表明瘦女性和肥胖女性的铁代谢指标存在差异,但肥胖- t2d女性的转铁蛋白饱和度较高,血清铁浓度较高,UIBC较低。各组血清hepcidin浓度相似。Hepcidin与炎症标志物无关,但与所有其他铁指标密切相关(均为p)结论:与我们最初的假设相反,Hepcidin与三组冈比妇女的炎症标志物无关,尽管肥胖和肥胖- t2d妇女存在慢性炎症。
本文章由计算机程序翻译,如有差异,请以英文原文为准。

Alterations of Hepcidin and Iron Markers Associated with Obesity and Obesity-related Diabetes in Gambian Women.

Alterations of Hepcidin and Iron Markers Associated with Obesity and Obesity-related Diabetes in Gambian Women.

Alterations of Hepcidin and Iron Markers Associated with Obesity and Obesity-related Diabetes in Gambian Women.

Alterations of Hepcidin and Iron Markers Associated with Obesity and Obesity-related Diabetes in Gambian Women.

Aims: Obesity, type 2 diabetes (T2D), and chronic inflammation are associated with disturbances in iron metabolism. Hepcidin is hypothesized to play a role in these alterations owing to its strong association with inflammation via the JAK-STAT3 pathway. The current study investigated the differences between inflammatory markers and iron indices and their association with hepcidin in lean women, women with obesity, and women with obesity and T2D (obesity-T2D) in The Gambia.

Materials and methods: In a cross-sectional study design, fasted blood samples were collected from three groups of women: lean women (n=42, geometric mean (GM) body mass index (BMI)=20.9 kg/m 2), women with obesity (n=48, GM BMI=33.1 kg/m 2) and women with obesity-T2D (n=30, GM BMI=34.5 kg/m 2). Markers of inflammation (IL-6 and CRP) and iron metabolism [hepcidin, iron, ferritin, soluble transferrin receptor (sTfR), transferrin, transferrin saturation, and unsaturated iron-binding capacity (UIBC)] were compared using linear regression models. Simple regression analyses were performed to assess the association between hepcidin levels and respective markers.

Results: Women with obesity and obesity-T2D showed elevated levels of inflammatory markers. There was no evidence that markers of iron metabolism differed between lean women and obese women, but women with obesity-T2D had higher transferrin saturation, higher serum iron concentration, and lower UIBC. Serum hepcidin concentrations were similar in all the groups. Hepcidin was not associated with markers of inflammation but was strongly associated with all other iron indices (all P<0.002).

Conclusion: Contrary to our original hypothesis, hepcidin was not associated with markers of inflammation in the three groups of Gambian women, despite the presence of chronic inflammation in women with obesity and obesity-T2D.

求助全文
通过发布文献求助,成功后即可免费获取论文全文。 去求助
来源期刊
Wellcome Open Research
Wellcome Open Research Biochemistry, Genetics and Molecular Biology-Biochemistry, Genetics and Molecular Biology (all)
CiteScore
5.50
自引率
0.00%
发文量
426
审稿时长
1 weeks
期刊介绍: Wellcome Open Research publishes scholarly articles reporting any basic scientific, translational and clinical research that has been funded (or co-funded) by Wellcome. Each publication must have at least one author who has been, or still is, a recipient of a Wellcome grant. Articles must be original (not duplications). All research, including clinical trials, systematic reviews, software tools, method articles, and many others, is welcome and will be published irrespective of the perceived level of interest or novelty; confirmatory and negative results, as well as null studies are all suitable. See the full list of article types here. All articles are published using a fully transparent, author-driven model: the authors are solely responsible for the content of their article. Invited peer review takes place openly after publication, and the authors play a crucial role in ensuring that the article is peer-reviewed by independent experts in a timely manner. Articles that pass peer review will be indexed in PubMed and elsewhere. Wellcome Open Research is an Open Research platform: all articles are published open access; the publishing and peer-review processes are fully transparent; and authors are asked to include detailed descriptions of methods and to provide full and easy access to source data underlying the results to improve reproducibility.
×
引用
GB/T 7714-2015
复制
MLA
复制
APA
复制
导出至
BibTeX EndNote RefMan NoteFirst NoteExpress
×
提示
您的信息不完整,为了账户安全,请先补充。
现在去补充
×
提示
您因"违规操作"
具体请查看互助需知
我知道了
×
提示
确定
请完成安全验证×
copy
已复制链接
快去分享给好友吧!
我知道了
右上角分享
点击右上角分享
0
联系我们:info@booksci.cn Book学术提供免费学术资源搜索服务,方便国内外学者检索中英文文献。致力于提供最便捷和优质的服务体验。 Copyright © 2023 布克学术 All rights reserved.
京ICP备2023020795号-1
ghs 京公网安备 11010802042870号
Book学术文献互助
Book学术文献互助群
群 号:604180095
Book学术官方微信