生物炭对废水中有机污染物的吸附:竞争吸附行为的机理研究

IF 1.9 4区 环境科学与生态学 Q3 ENGINEERING, ENVIRONMENTAL
Griffin Loebsack, Ken K-C Yeung, Franco Berruti, Naomi B Klinghoffer
{"title":"生物炭对废水中有机污染物的吸附:竞争吸附行为的机理研究","authors":"Griffin Loebsack, Ken K-C Yeung, Franco Berruti, Naomi B Klinghoffer","doi":"10.1002/wer.70164","DOIUrl":null,"url":null,"abstract":"<p><p>This study investigates the adsorption of methyl orange (MO), methylene blue (MB), and acetaminophen (ACT) using biochars produced from Douglas fir and Miscanthus at different temperatures and with different post-pyrolysis treatments that added surface functional groups. Compounds were adsorbed separately and in mixtures to examine the competitive nature of the adsorption processes. MO is known to interact with MB and ACT, whereas MB and ACT are not likely to interact due to both having electron-donating groups. When comparing the biochar adsorption capacities for these compounds when alone and mixed, biochars with both hydroxyl and carbonyl surface functional groups had higher adsorption capacities for the tested compounds when they were in mixed solutions. Biochars with only hydroxyl groups exhibited competing adsorption mechanisms and poorer adsorption capacities of aromatic compounds in complex solutions. This provides an understanding of how competing adsorption mechanisms of aromatic compounds by biochars vary depending on the dominant adsorption mechanisms of the biochar, which will allow for more effective real-world applications for water purification in the future.</p>","PeriodicalId":23621,"journal":{"name":"Water Environment Research","volume":"97 8","pages":"e70164"},"PeriodicalIF":1.9000,"publicationDate":"2025-08-01","publicationTypes":"Journal Article","fieldsOfStudy":null,"isOpenAccess":false,"openAccessPdf":"https://www.ncbi.nlm.nih.gov/pmc/articles/PMC12374178/pdf/","citationCount":"0","resultStr":"{\"title\":\"Adsorption of Organic Pollutants From Wastewater Using Biochar: A Mechanistic Study on Competitive Adsorption Behavior.\",\"authors\":\"Griffin Loebsack, Ken K-C Yeung, Franco Berruti, Naomi B Klinghoffer\",\"doi\":\"10.1002/wer.70164\",\"DOIUrl\":null,\"url\":null,\"abstract\":\"<p><p>This study investigates the adsorption of methyl orange (MO), methylene blue (MB), and acetaminophen (ACT) using biochars produced from Douglas fir and Miscanthus at different temperatures and with different post-pyrolysis treatments that added surface functional groups. Compounds were adsorbed separately and in mixtures to examine the competitive nature of the adsorption processes. MO is known to interact with MB and ACT, whereas MB and ACT are not likely to interact due to both having electron-donating groups. When comparing the biochar adsorption capacities for these compounds when alone and mixed, biochars with both hydroxyl and carbonyl surface functional groups had higher adsorption capacities for the tested compounds when they were in mixed solutions. Biochars with only hydroxyl groups exhibited competing adsorption mechanisms and poorer adsorption capacities of aromatic compounds in complex solutions. This provides an understanding of how competing adsorption mechanisms of aromatic compounds by biochars vary depending on the dominant adsorption mechanisms of the biochar, which will allow for more effective real-world applications for water purification in the future.</p>\",\"PeriodicalId\":23621,\"journal\":{\"name\":\"Water Environment Research\",\"volume\":\"97 8\",\"pages\":\"e70164\"},\"PeriodicalIF\":1.9000,\"publicationDate\":\"2025-08-01\",\"publicationTypes\":\"Journal Article\",\"fieldsOfStudy\":null,\"isOpenAccess\":false,\"openAccessPdf\":\"https://www.ncbi.nlm.nih.gov/pmc/articles/PMC12374178/pdf/\",\"citationCount\":\"0\",\"resultStr\":null,\"platform\":\"Semanticscholar\",\"paperid\":null,\"PeriodicalName\":\"Water Environment Research\",\"FirstCategoryId\":\"93\",\"ListUrlMain\":\"https://doi.org/10.1002/wer.70164\",\"RegionNum\":4,\"RegionCategory\":\"环境科学与生态学\",\"ArticlePicture\":[],\"TitleCN\":null,\"AbstractTextCN\":null,\"PMCID\":null,\"EPubDate\":\"\",\"PubModel\":\"\",\"JCR\":\"Q3\",\"JCRName\":\"ENGINEERING, ENVIRONMENTAL\",\"Score\":null,\"Total\":0}","platform":"Semanticscholar","paperid":null,"PeriodicalName":"Water Environment Research","FirstCategoryId":"93","ListUrlMain":"https://doi.org/10.1002/wer.70164","RegionNum":4,"RegionCategory":"环境科学与生态学","ArticlePicture":[],"TitleCN":null,"AbstractTextCN":null,"PMCID":null,"EPubDate":"","PubModel":"","JCR":"Q3","JCRName":"ENGINEERING, ENVIRONMENTAL","Score":null,"Total":0}
引用次数: 0

摘要

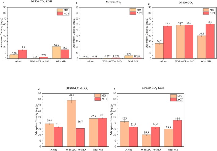
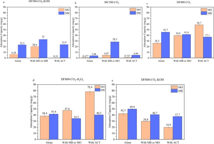
本研究考察了杉木和芒草制备的生物炭在不同温度和添加表面官能团的不同热解处理下对甲基橙(MO)、亚甲基蓝(MB)和对乙酰氨基酚(ACT)的吸附作用。化合物分别吸附和混合吸附,以检查吸附过程的竞争性质。MO已知与MB和ACT相互作用,而MB和ACT不太可能相互作用,因为它们都有供电子基团。通过对比生物炭在单独和混合时对这些化合物的吸附能力,同时具有羟基和羰基表面官能团的生物炭在混合溶液中对被测化合物的吸附能力更高。仅含羟基的生物炭在复杂溶液中表现出对芳香族化合物的竞争性吸附机制和较差的吸附能力。这有助于了解生物炭对芳香族化合物的竞争吸附机制是如何根据生物炭的主要吸附机制而变化的,这将允许未来在水净化方面更有效的实际应用。
本文章由计算机程序翻译,如有差异,请以英文原文为准。

Adsorption of Organic Pollutants From Wastewater Using Biochar: A Mechanistic Study on Competitive Adsorption Behavior.

Adsorption of Organic Pollutants From Wastewater Using Biochar: A Mechanistic Study on Competitive Adsorption Behavior.

Adsorption of Organic Pollutants From Wastewater Using Biochar: A Mechanistic Study on Competitive Adsorption Behavior.

Adsorption of Organic Pollutants From Wastewater Using Biochar: A Mechanistic Study on Competitive Adsorption Behavior.

This study investigates the adsorption of methyl orange (MO), methylene blue (MB), and acetaminophen (ACT) using biochars produced from Douglas fir and Miscanthus at different temperatures and with different post-pyrolysis treatments that added surface functional groups. Compounds were adsorbed separately and in mixtures to examine the competitive nature of the adsorption processes. MO is known to interact with MB and ACT, whereas MB and ACT are not likely to interact due to both having electron-donating groups. When comparing the biochar adsorption capacities for these compounds when alone and mixed, biochars with both hydroxyl and carbonyl surface functional groups had higher adsorption capacities for the tested compounds when they were in mixed solutions. Biochars with only hydroxyl groups exhibited competing adsorption mechanisms and poorer adsorption capacities of aromatic compounds in complex solutions. This provides an understanding of how competing adsorption mechanisms of aromatic compounds by biochars vary depending on the dominant adsorption mechanisms of the biochar, which will allow for more effective real-world applications for water purification in the future.

求助全文
通过发布文献求助,成功后即可免费获取论文全文。 去求助
来源期刊
Water Environment Research
Water Environment Research 环境科学-工程:环境
CiteScore
6.30
自引率
0.00%
发文量
138
审稿时长
11 months
期刊介绍: Published since 1928, Water Environment Research (WER) is an international multidisciplinary water resource management journal for the dissemination of fundamental and applied research in all scientific and technical areas related to water quality and resource recovery. WER''s goal is to foster communication and interdisciplinary research between water sciences and related fields such as environmental toxicology, agriculture, public and occupational health, microbiology, and ecology. In addition to original research articles, short communications, case studies, reviews, and perspectives are encouraged.
×
引用
GB/T 7714-2015
复制
MLA
复制
APA
复制
导出至
BibTeX EndNote RefMan NoteFirst NoteExpress
×
提示
您的信息不完整,为了账户安全,请先补充。
现在去补充
×
提示
您因"违规操作"
具体请查看互助需知
我知道了
×
提示
确定
请完成安全验证×
copy
已复制链接
快去分享给好友吧!
我知道了
右上角分享
点击右上角分享
0
联系我们:info@booksci.cn Book学术提供免费学术资源搜索服务,方便国内外学者检索中英文文献。致力于提供最便捷和优质的服务体验。 Copyright © 2023 布克学术 All rights reserved.
京ICP备2023020795号-1
ghs 京公网安备 11010802042870号
Book学术文献互助
Book学术文献互助群
群 号:604180095
Book学术官方微信