杀虫剂抗性和药效指标的评价:CDC瓶型生物测定法与配方级和技术级杀虫剂的比较及哨兵笼田间试验。

IF 2.6 4区 医学 Q2 INFECTIOUS DISEASES
Deborah A Dritz, Mario Novelo, Sarah S Wheeler
{"title":"杀虫剂抗性和药效指标的评价:CDC瓶型生物测定法与配方级和技术级杀虫剂的比较及哨兵笼田间试验。","authors":"Deborah A Dritz, Mario Novelo, Sarah S Wheeler","doi":"10.3390/tropicalmed10080219","DOIUrl":null,"url":null,"abstract":"<p><p>Insecticide resistance monitoring is essential for effective mosquito control. This study compared CDC Bottle Bioassays (BBAs) using technical and formulated insecticides (deltamethrin/Deltagard and malathion/Fyfanon EW) against the <i>Culex pipiens</i> complex (Fogg Rd) and <i>Culex tarsalis</i> Coquillett (Vic Fazio). BBAs indicated resistance to deltamethrin and emerging resistance to malathion in Fogg Rd, as well as resistance to both in Vic Fazio. Field trials, however, showed high efficacy: Deltagard caused 97.7% mortality in Fogg Rd and 99.4% in Vic Fazio. Fyfanon EW produced 100% mortality in Fogg Rd but only 47% in Vic Fazio. Extended BBA endpoints at 120 and 180 min aligned better with field outcomes. Deltagard achieved 100% mortality at 120 min in both populations; technical deltamethrin reached 85.7% (Fogg Rd) and 83.5% (Vic Fazio) at 180 min. Fyfanon EW and malathion showed similar performance: 100% mortality was achieved in Fogg Rd by 120 min but was lower in Vic Fazio; malathion reached 55%; and Fyfanon EW reached 58.6% by 180 min. Statistical analysis confirmed that BBAs using formulated products better reflected field performance, particularly when proprietary ingredients were involved. These findings support the use of formulated products and extended observation times in BBAs to improve operational relevance and resistance interpretation in addition to detecting levels of insecticide resistance.</p>","PeriodicalId":23330,"journal":{"name":"Tropical Medicine and Infectious Disease","volume":"10 8","pages":""},"PeriodicalIF":2.6000,"publicationDate":"2025-08-01","publicationTypes":"Journal Article","fieldsOfStudy":null,"isOpenAccess":false,"openAccessPdf":"https://www.ncbi.nlm.nih.gov/pmc/articles/PMC12390578/pdf/","citationCount":"0","resultStr":"{\"title\":\"Evaluating the Metrics of Insecticide Resistance and Efficacy: Comparison of the CDC Bottle Bioassay with Formulated and Technical-Grade Insecticide and a Sentinel Cage Field Trial.\",\"authors\":\"Deborah A Dritz, Mario Novelo, Sarah S Wheeler\",\"doi\":\"10.3390/tropicalmed10080219\",\"DOIUrl\":null,\"url\":null,\"abstract\":\"<p><p>Insecticide resistance monitoring is essential for effective mosquito control. This study compared CDC Bottle Bioassays (BBAs) using technical and formulated insecticides (deltamethrin/Deltagard and malathion/Fyfanon EW) against the <i>Culex pipiens</i> complex (Fogg Rd) and <i>Culex tarsalis</i> Coquillett (Vic Fazio). BBAs indicated resistance to deltamethrin and emerging resistance to malathion in Fogg Rd, as well as resistance to both in Vic Fazio. Field trials, however, showed high efficacy: Deltagard caused 97.7% mortality in Fogg Rd and 99.4% in Vic Fazio. Fyfanon EW produced 100% mortality in Fogg Rd but only 47% in Vic Fazio. Extended BBA endpoints at 120 and 180 min aligned better with field outcomes. Deltagard achieved 100% mortality at 120 min in both populations; technical deltamethrin reached 85.7% (Fogg Rd) and 83.5% (Vic Fazio) at 180 min. Fyfanon EW and malathion showed similar performance: 100% mortality was achieved in Fogg Rd by 120 min but was lower in Vic Fazio; malathion reached 55%; and Fyfanon EW reached 58.6% by 180 min. Statistical analysis confirmed that BBAs using formulated products better reflected field performance, particularly when proprietary ingredients were involved. These findings support the use of formulated products and extended observation times in BBAs to improve operational relevance and resistance interpretation in addition to detecting levels of insecticide resistance.</p>\",\"PeriodicalId\":23330,\"journal\":{\"name\":\"Tropical Medicine and Infectious Disease\",\"volume\":\"10 8\",\"pages\":\"\"},\"PeriodicalIF\":2.6000,\"publicationDate\":\"2025-08-01\",\"publicationTypes\":\"Journal Article\",\"fieldsOfStudy\":null,\"isOpenAccess\":false,\"openAccessPdf\":\"https://www.ncbi.nlm.nih.gov/pmc/articles/PMC12390578/pdf/\",\"citationCount\":\"0\",\"resultStr\":null,\"platform\":\"Semanticscholar\",\"paperid\":null,\"PeriodicalName\":\"Tropical Medicine and Infectious Disease\",\"FirstCategoryId\":\"3\",\"ListUrlMain\":\"https://doi.org/10.3390/tropicalmed10080219\",\"RegionNum\":4,\"RegionCategory\":\"医学\",\"ArticlePicture\":[],\"TitleCN\":null,\"AbstractTextCN\":null,\"PMCID\":null,\"EPubDate\":\"\",\"PubModel\":\"\",\"JCR\":\"Q2\",\"JCRName\":\"INFECTIOUS DISEASES\",\"Score\":null,\"Total\":0}","platform":"Semanticscholar","paperid":null,"PeriodicalName":"Tropical Medicine and Infectious Disease","FirstCategoryId":"3","ListUrlMain":"https://doi.org/10.3390/tropicalmed10080219","RegionNum":4,"RegionCategory":"医学","ArticlePicture":[],"TitleCN":null,"AbstractTextCN":null,"PMCID":null,"EPubDate":"","PubModel":"","JCR":"Q2","JCRName":"INFECTIOUS DISEASES","Score":null,"Total":0}
引用次数: 0

摘要

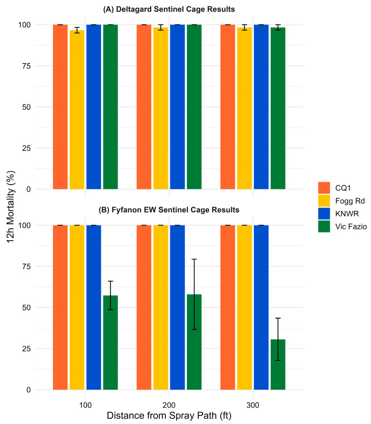
杀虫剂耐药性监测是有效控制蚊虫的必要条件。本研究比较了CDC瓶型生物测定法(BBAs)使用技术杀虫剂和配方杀虫剂(溴氰菊酯/Deltagard和马拉硫磷/Fyfanon EW)对淡色库蚊(Fogg Rd)和tarsalis Coquillett (Vic Fazio)的效果。结果表明,Fogg Rd地区对溴氰菊酯有抗性,对马拉硫磷有抗性,Vic Fazio地区对两者均有抗性。然而,田间试验显示了很高的疗效:Deltagard在Fogg Rd和Vic Fazio的死亡率分别为97.7%和99.4%。Fyfanon EW在Fogg Rd的死亡率为100%,而在Vic Fazio的死亡率仅为47%。120和180分钟延长的BBA终点与现场结果更一致。Deltagard在两个种群的120分钟死亡率均达到100%;技术溴氰菊酯在180 min时达到85.7% (Fogg Rd)和83.5% (Vic Fazio)。Fyfanon EW和马拉硫磷表现相似:Fogg Rd的死亡率在120 min内达到100%,而Vic Fazio的死亡率较低;马拉硫磷达到55%;Fyfanon EW在180分钟内达到58.6%。统计分析证实,使用配方产品的BBAs可以更好地反映现场性能,特别是当涉及专有成分时。这些发现支持使用配方产品和延长观察时间,除了检测杀虫剂抗性水平外,还可以提高操作相关性和抗性解释。
本文章由计算机程序翻译,如有差异,请以英文原文为准。

Evaluating the Metrics of Insecticide Resistance and Efficacy: Comparison of the CDC Bottle Bioassay with Formulated and Technical-Grade Insecticide and a Sentinel Cage Field Trial.

Evaluating the Metrics of Insecticide Resistance and Efficacy: Comparison of the CDC Bottle Bioassay with Formulated and Technical-Grade Insecticide and a Sentinel Cage Field Trial.

Evaluating the Metrics of Insecticide Resistance and Efficacy: Comparison of the CDC Bottle Bioassay with Formulated and Technical-Grade Insecticide and a Sentinel Cage Field Trial.

Evaluating the Metrics of Insecticide Resistance and Efficacy: Comparison of the CDC Bottle Bioassay with Formulated and Technical-Grade Insecticide and a Sentinel Cage Field Trial.

Insecticide resistance monitoring is essential for effective mosquito control. This study compared CDC Bottle Bioassays (BBAs) using technical and formulated insecticides (deltamethrin/Deltagard and malathion/Fyfanon EW) against the Culex pipiens complex (Fogg Rd) and Culex tarsalis Coquillett (Vic Fazio). BBAs indicated resistance to deltamethrin and emerging resistance to malathion in Fogg Rd, as well as resistance to both in Vic Fazio. Field trials, however, showed high efficacy: Deltagard caused 97.7% mortality in Fogg Rd and 99.4% in Vic Fazio. Fyfanon EW produced 100% mortality in Fogg Rd but only 47% in Vic Fazio. Extended BBA endpoints at 120 and 180 min aligned better with field outcomes. Deltagard achieved 100% mortality at 120 min in both populations; technical deltamethrin reached 85.7% (Fogg Rd) and 83.5% (Vic Fazio) at 180 min. Fyfanon EW and malathion showed similar performance: 100% mortality was achieved in Fogg Rd by 120 min but was lower in Vic Fazio; malathion reached 55%; and Fyfanon EW reached 58.6% by 180 min. Statistical analysis confirmed that BBAs using formulated products better reflected field performance, particularly when proprietary ingredients were involved. These findings support the use of formulated products and extended observation times in BBAs to improve operational relevance and resistance interpretation in addition to detecting levels of insecticide resistance.

求助全文
通过发布文献求助,成功后即可免费获取论文全文。 去求助
来源期刊
Tropical Medicine and Infectious Disease
Tropical Medicine and Infectious Disease Medicine-Public Health, Environmental and Occupational Health
CiteScore
3.90
自引率
10.30%
发文量
353
审稿时长
11 weeks
×
引用
GB/T 7714-2015
复制
MLA
复制
APA
复制
导出至
BibTeX EndNote RefMan NoteFirst NoteExpress
×
提示
您的信息不完整,为了账户安全,请先补充。
现在去补充
×
提示
您因"违规操作"
具体请查看互助需知
我知道了
×
提示
确定
请完成安全验证×
copy
已复制链接
快去分享给好友吧!
我知道了
右上角分享
点击右上角分享
0
联系我们:info@booksci.cn Book学术提供免费学术资源搜索服务,方便国内外学者检索中英文文献。致力于提供最便捷和优质的服务体验。 Copyright © 2023 布克学术 All rights reserved.
京ICP备2023020795号-1
ghs 京公网安备 11010802042870号
Book学术文献互助
Book学术文献互助群
群 号:604180095
Book学术官方微信