宽视场扫描源光学相干层析成像评估小学生脉络膜厚度分布及其与轴向长度和球面等效的关系。

IF 2.6 3区 医学 Q2 OPHTHALMOLOGY
Takahiro Hiraoka, Masato Tamura, Yoshikiyo Moriguchi, Riku Kuji, Toshihiro Mino, Masahiro Akiba, Yosuke Takahashi, Kenichi Yoshino, Asaki Suzaki, Keiji Sugimoto, Tetsuro Oshika
{"title":"宽视场扫描源光学相干层析成像评估小学生脉络膜厚度分布及其与轴向长度和球面等效的关系。","authors":"Takahiro Hiraoka, Masato Tamura, Yoshikiyo Moriguchi, Riku Kuji, Toshihiro Mino, Masahiro Akiba, Yosuke Takahashi, Kenichi Yoshino, Asaki Suzaki, Keiji Sugimoto, Tetsuro Oshika","doi":"10.1167/tvst.14.8.33","DOIUrl":null,"url":null,"abstract":"<p><strong>Purpose: </strong>The purpose of this study was to evaluate the distribution of choroidal thickness (ChT) in schoolchildren using wide-field swept-source optical coherence tomography (SS-OCT) and to investigate its association with axial length (AL) and spherical equivalent (SE).</p><p><strong>Methods: </strong>This prospective study included 176 eyes from 88 healthy Japanese schoolchildren aged 6 to 15 years (mean age = 9.9 ± 2.4 years). Wide-field SS-OCT was used to measure ChT across a 57 degrees × 57 degrees fundus area. After excluding poor-quality images, 169 eyes were included in the final analysis. The ChT distribution was evaluated by dividing the obtained images into a 3 × 3 grid comprising 9 sections. ChT measurements were performed automatically with custom-designed software. ChT values were compared among the nine regions, and correlations with AL and SE were assessed for each grid section. Additionally, the findings in schoolchildren were compared with historical data from adults.</p><p><strong>Results: </strong>Mean ChT values across the 9 regions ranged from 172 ± 29 µm in the nasal-inferior region to 307 ± 39 µm in the temporal region. The choroid was thicker in the temporal and macular regions and thinner around the optic disc and inferior regions. Significant negative correlations were found between ChT and AL across all regions (R = -0.50 to -0.23, P < 0.05), indicating that longer ALs were associated with thinner choroids. Similarly, significant positive correlations were observed between ChT and SE (R = 0.19 to 0.55, P < 0.05), demonstrating that higher degrees of myopia were associated with thinner choroids. Moreover, ChT in schoolchildren was generally thicker compared to that in adults.</p><p><strong>Conclusions: </strong>This study provides a detailed analysis of ChT distribution in schoolchildren, revealing regional variability and a generally thicker choroid compared with adults. The significant correlations between ChT, AL, and SE across all regions suggest a potential role for ChT in ocular growth and myopia progression. These findings underscore the need for longitudinal studies to investigate causal relationships between ChT distribution and myopia development.</p><p><strong>Translational relevance: </strong>Wide-field choroidal mapping identifies early structural biomarkers for pediatric myopia progression and control.</p>","PeriodicalId":23322,"journal":{"name":"Translational Vision Science & Technology","volume":"14 8","pages":"33"},"PeriodicalIF":2.6000,"publicationDate":"2025-08-01","publicationTypes":"Journal Article","fieldsOfStudy":null,"isOpenAccess":false,"openAccessPdf":"https://www.ncbi.nlm.nih.gov/pmc/articles/PMC12372941/pdf/","citationCount":"0","resultStr":"{\"title\":\"Choroidal Thickness Distribution and Its Association With Axial Length and Spherical Equivalent in Schoolchildren Assessed by Wide-Field Swept-Source Optical Coherence Tomography.\",\"authors\":\"Takahiro Hiraoka, Masato Tamura, Yoshikiyo Moriguchi, Riku Kuji, Toshihiro Mino, Masahiro Akiba, Yosuke Takahashi, Kenichi Yoshino, Asaki Suzaki, Keiji Sugimoto, Tetsuro Oshika\",\"doi\":\"10.1167/tvst.14.8.33\",\"DOIUrl\":null,\"url\":null,\"abstract\":\"<p><strong>Purpose: </strong>The purpose of this study was to evaluate the distribution of choroidal thickness (ChT) in schoolchildren using wide-field swept-source optical coherence tomography (SS-OCT) and to investigate its association with axial length (AL) and spherical equivalent (SE).</p><p><strong>Methods: </strong>This prospective study included 176 eyes from 88 healthy Japanese schoolchildren aged 6 to 15 years (mean age = 9.9 ± 2.4 years). Wide-field SS-OCT was used to measure ChT across a 57 degrees × 57 degrees fundus area. After excluding poor-quality images, 169 eyes were included in the final analysis. The ChT distribution was evaluated by dividing the obtained images into a 3 × 3 grid comprising 9 sections. ChT measurements were performed automatically with custom-designed software. ChT values were compared among the nine regions, and correlations with AL and SE were assessed for each grid section. Additionally, the findings in schoolchildren were compared with historical data from adults.</p><p><strong>Results: </strong>Mean ChT values across the 9 regions ranged from 172 ± 29 µm in the nasal-inferior region to 307 ± 39 µm in the temporal region. The choroid was thicker in the temporal and macular regions and thinner around the optic disc and inferior regions. Significant negative correlations were found between ChT and AL across all regions (R = -0.50 to -0.23, P < 0.05), indicating that longer ALs were associated with thinner choroids. Similarly, significant positive correlations were observed between ChT and SE (R = 0.19 to 0.55, P < 0.05), demonstrating that higher degrees of myopia were associated with thinner choroids. Moreover, ChT in schoolchildren was generally thicker compared to that in adults.</p><p><strong>Conclusions: </strong>This study provides a detailed analysis of ChT distribution in schoolchildren, revealing regional variability and a generally thicker choroid compared with adults. The significant correlations between ChT, AL, and SE across all regions suggest a potential role for ChT in ocular growth and myopia progression. These findings underscore the need for longitudinal studies to investigate causal relationships between ChT distribution and myopia development.</p><p><strong>Translational relevance: </strong>Wide-field choroidal mapping identifies early structural biomarkers for pediatric myopia progression and control.</p>\",\"PeriodicalId\":23322,\"journal\":{\"name\":\"Translational Vision Science & Technology\",\"volume\":\"14 8\",\"pages\":\"33\"},\"PeriodicalIF\":2.6000,\"publicationDate\":\"2025-08-01\",\"publicationTypes\":\"Journal Article\",\"fieldsOfStudy\":null,\"isOpenAccess\":false,\"openAccessPdf\":\"https://www.ncbi.nlm.nih.gov/pmc/articles/PMC12372941/pdf/\",\"citationCount\":\"0\",\"resultStr\":null,\"platform\":\"Semanticscholar\",\"paperid\":null,\"PeriodicalName\":\"Translational Vision Science & Technology\",\"FirstCategoryId\":\"3\",\"ListUrlMain\":\"https://doi.org/10.1167/tvst.14.8.33\",\"RegionNum\":3,\"RegionCategory\":\"医学\",\"ArticlePicture\":[],\"TitleCN\":null,\"AbstractTextCN\":null,\"PMCID\":null,\"EPubDate\":\"\",\"PubModel\":\"\",\"JCR\":\"Q2\",\"JCRName\":\"OPHTHALMOLOGY\",\"Score\":null,\"Total\":0}","platform":"Semanticscholar","paperid":null,"PeriodicalName":"Translational Vision Science & Technology","FirstCategoryId":"3","ListUrlMain":"https://doi.org/10.1167/tvst.14.8.33","RegionNum":3,"RegionCategory":"医学","ArticlePicture":[],"TitleCN":null,"AbstractTextCN":null,"PMCID":null,"EPubDate":"","PubModel":"","JCR":"Q2","JCRName":"OPHTHALMOLOGY","Score":null,"Total":0}
引用次数: 0

摘要

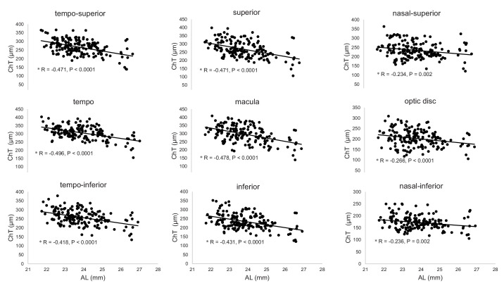
目的:本研究的目的是利用宽视场扫描源光学相干断层扫描(SS-OCT)评估学童脉络膜厚度(ChT)的分布,并探讨其与轴向长度(AL)和球面等效(SE)的关系。方法:本前瞻性研究纳入了88名6 ~ 15岁健康日本学童(平均年龄= 9.9±2.4岁)的176只眼睛。使用宽视场SS-OCT测量57°× 57°眼底区域的ChT。在排除低质量图像后,169只眼睛被纳入最终分析。通过将获得的图像划分为包含9个部分的3 × 3网格来评估ChT分布。使用定制设计的软件自动进行ChT测量。比较了9个区域的ChT值,并评估了每个网格段与AL和SE的相关性。此外,小学生的研究结果与成年人的历史数据进行了比较。结果:9个区域的平均ChT值从鼻下区172±29µm到颞区307±39µm不等。颞部和黄斑区的脉络膜较厚,视盘周围和下区较薄。各区域的AL与ChT呈显著负相关(R = -0.50 ~ -0.23, P < 0.05),表明AL越长,脉络膜越薄。同样,ChT和SE之间也存在显著的正相关(R = 0.19 ~ 0.55, P < 0.05),表明近视程度越高,脉络膜越薄。此外,与成人相比,学龄儿童的ChT普遍较厚。结论:本研究提供了详细的儿童ChT分布分析,揭示了地区差异和与成人相比,脉络膜普遍较厚。在所有地区,ChT、AL和SE之间的显著相关性表明ChT在眼部生长和近视进展中可能起作用。这些发现强调了对ChT分布与近视发展之间的因果关系进行纵向研究的必要性。翻译相关性:宽视场脉络膜定位识别儿童近视进展和控制的早期结构生物标志物。
本文章由计算机程序翻译,如有差异,请以英文原文为准。

Choroidal Thickness Distribution and Its Association With Axial Length and Spherical Equivalent in Schoolchildren Assessed by Wide-Field Swept-Source Optical Coherence Tomography.

Choroidal Thickness Distribution and Its Association With Axial Length and Spherical Equivalent in Schoolchildren Assessed by Wide-Field Swept-Source Optical Coherence Tomography.

Choroidal Thickness Distribution and Its Association With Axial Length and Spherical Equivalent in Schoolchildren Assessed by Wide-Field Swept-Source Optical Coherence Tomography.

Choroidal Thickness Distribution and Its Association With Axial Length and Spherical Equivalent in Schoolchildren Assessed by Wide-Field Swept-Source Optical Coherence Tomography.

Purpose: The purpose of this study was to evaluate the distribution of choroidal thickness (ChT) in schoolchildren using wide-field swept-source optical coherence tomography (SS-OCT) and to investigate its association with axial length (AL) and spherical equivalent (SE).

Methods: This prospective study included 176 eyes from 88 healthy Japanese schoolchildren aged 6 to 15 years (mean age = 9.9 ± 2.4 years). Wide-field SS-OCT was used to measure ChT across a 57 degrees × 57 degrees fundus area. After excluding poor-quality images, 169 eyes were included in the final analysis. The ChT distribution was evaluated by dividing the obtained images into a 3 × 3 grid comprising 9 sections. ChT measurements were performed automatically with custom-designed software. ChT values were compared among the nine regions, and correlations with AL and SE were assessed for each grid section. Additionally, the findings in schoolchildren were compared with historical data from adults.

Results: Mean ChT values across the 9 regions ranged from 172 ± 29 µm in the nasal-inferior region to 307 ± 39 µm in the temporal region. The choroid was thicker in the temporal and macular regions and thinner around the optic disc and inferior regions. Significant negative correlations were found between ChT and AL across all regions (R = -0.50 to -0.23, P < 0.05), indicating that longer ALs were associated with thinner choroids. Similarly, significant positive correlations were observed between ChT and SE (R = 0.19 to 0.55, P < 0.05), demonstrating that higher degrees of myopia were associated with thinner choroids. Moreover, ChT in schoolchildren was generally thicker compared to that in adults.

Conclusions: This study provides a detailed analysis of ChT distribution in schoolchildren, revealing regional variability and a generally thicker choroid compared with adults. The significant correlations between ChT, AL, and SE across all regions suggest a potential role for ChT in ocular growth and myopia progression. These findings underscore the need for longitudinal studies to investigate causal relationships between ChT distribution and myopia development.

Translational relevance: Wide-field choroidal mapping identifies early structural biomarkers for pediatric myopia progression and control.

求助全文
通过发布文献求助,成功后即可免费获取论文全文。 去求助
来源期刊
Translational Vision Science & Technology
Translational Vision Science & Technology Engineering-Biomedical Engineering
CiteScore
5.70
自引率
3.30%
发文量
346
审稿时长
25 weeks
期刊介绍: Translational Vision Science & Technology (TVST), an official journal of the Association for Research in Vision and Ophthalmology (ARVO), an international organization whose purpose is to advance research worldwide into understanding the visual system and preventing, treating and curing its disorders, is an online, open access, peer-reviewed journal emphasizing multidisciplinary research that bridges the gap between basic research and clinical care. A highly qualified and diverse group of Associate Editors and Editorial Board Members is led by Editor-in-Chief Marco Zarbin, MD, PhD, FARVO. The journal covers a broad spectrum of work, including but not limited to: Applications of stem cell technology for regenerative medicine, Development of new animal models of human diseases, Tissue bioengineering, Chemical engineering to improve virus-based gene delivery, Nanotechnology for drug delivery, Design and synthesis of artificial extracellular matrices, Development of a true microsurgical operating environment, Refining data analysis algorithms to improve in vivo imaging technology, Results of Phase 1 clinical trials, Reverse translational ("bedside to bench") research. TVST seeks manuscripts from scientists and clinicians with diverse backgrounds ranging from basic chemistry to ophthalmic surgery that will advance or change the way we understand and/or treat vision-threatening diseases. TVST encourages the use of color, multimedia, hyperlinks, program code and other digital enhancements.
×
引用
GB/T 7714-2015
复制
MLA
复制
APA
复制
导出至
BibTeX EndNote RefMan NoteFirst NoteExpress
×
提示
您的信息不完整,为了账户安全,请先补充。
现在去补充
×
提示
您因"违规操作"
具体请查看互助需知
我知道了
×
提示
确定
请完成安全验证×
copy
已复制链接
快去分享给好友吧!
我知道了
右上角分享
点击右上角分享
0
联系我们:info@booksci.cn Book学术提供免费学术资源搜索服务,方便国内外学者检索中英文文献。致力于提供最便捷和优质的服务体验。 Copyright © 2023 布克学术 All rights reserved.
京ICP备2023020795号-1
ghs 京公网安备 11010802042870号
Book学术文献互助
Book学术文献互助群
群 号:604180095
Book学术官方微信