吸烟和其他烟草制品使用对皮肤质量和健康认知、皮肤护理方法和微创美容手术的影响:一项横断面研究。

IF 1.9 4区 医学 Q2 PUBLIC, ENVIRONMENTAL & OCCUPATIONAL HEALTH
Tobacco Induced Diseases Pub Date : 2025-08-22 eCollection Date: 2025-01-01 DOI:10.18332/tid/207157
Fatma Etgü, Emine Serap Yılmaz
{"title":"吸烟和其他烟草制品使用对皮肤质量和健康认知、皮肤护理方法和微创美容手术的影响:一项横断面研究。","authors":"Fatma Etgü, Emine Serap Yılmaz","doi":"10.18332/tid/207157","DOIUrl":null,"url":null,"abstract":"<p><strong>Introduction: </strong>It is well-established that smoking adversely affects the skin. This study aimed to compare skin properties, skin care product usage patterns, and the status of minimally invasive cosmetic procedures and self-evaluated skin quality in active smokers, ex-smokers, and non-smokers.</p><p><strong>Methods: </strong>This cross-sectional study was conducted in Department of Dermatology, Faculty of Medicine, Ordu University, Türkiye in 2024, with participants aged 18-65 years. Data were collected through a validated self-administered questionnaire. Categorical data were analyzed using chi-squared or Fisher's exact tests. Intergroup differences were examined using one-way analysis of variance with <i>post hoc</i> Bonferroni tests. Correlations between smoking duration, daily cigarette consumption, and total skin quality scores were assessed using Pearson and Spearman correlation analyses and modeled with linear regression. Receiver Operating Characteristic (ROC) analysis was used to assess the skin quality score's ability to distinguish smokers from non-smokers. Logistic regression analysis was conducted to examine the association between smoking and skin quality. Structural Equation Modeling (SEM) was used to explore the relationships between smoking, age, gender, and skin quality.</p><p><strong>Results: </strong>The study included 286 men and 393 women. Active smokers had worse skin quality, with more wrinkles, spots, and pigmentation (p<0.001). E-cigarette users showed poorer skin in the forehead, around the eyes, mustache, mouth, neck, and back (p=0.007-0.034). Hookah use was linked to worse skin and more spots on the back (p=0.004 and 0.009). Average skin quality scores were 25.47 for active smokers, 27.35 for ex-smokers, and 32.1 for non-smokers. Skin quality declined as smoking duration and daily cigarette count increased (p=0.00). Active smokers more frequently received neurotoxin injections and mesotherapy for skin spots (p=0.006 and 0.026).</p><p><strong>Conclusions: </strong>This study confirms the detrimental effects of smoking - including e-cigarette and hookah use - on skin. These findings may serve as motivation for smoking cessation efforts.</p>","PeriodicalId":23202,"journal":{"name":"Tobacco Induced Diseases","volume":"23 ","pages":""},"PeriodicalIF":1.9000,"publicationDate":"2025-08-22","publicationTypes":"Journal Article","fieldsOfStudy":null,"isOpenAccess":false,"openAccessPdf":"https://www.ncbi.nlm.nih.gov/pmc/articles/PMC12371849/pdf/","citationCount":"0","resultStr":"{\"title\":\"The effect of smoking and other tobacco product use on perceptions of skin quality and health, approaches to skin care, and minimally invasive cosmetic procedures: A cross-sectional study.\",\"authors\":\"Fatma Etgü, Emine Serap Yılmaz\",\"doi\":\"10.18332/tid/207157\",\"DOIUrl\":null,\"url\":null,\"abstract\":\"<p><strong>Introduction: </strong>It is well-established that smoking adversely affects the skin. This study aimed to compare skin properties, skin care product usage patterns, and the status of minimally invasive cosmetic procedures and self-evaluated skin quality in active smokers, ex-smokers, and non-smokers.</p><p><strong>Methods: </strong>This cross-sectional study was conducted in Department of Dermatology, Faculty of Medicine, Ordu University, Türkiye in 2024, with participants aged 18-65 years. Data were collected through a validated self-administered questionnaire. Categorical data were analyzed using chi-squared or Fisher's exact tests. Intergroup differences were examined using one-way analysis of variance with <i>post hoc</i> Bonferroni tests. Correlations between smoking duration, daily cigarette consumption, and total skin quality scores were assessed using Pearson and Spearman correlation analyses and modeled with linear regression. Receiver Operating Characteristic (ROC) analysis was used to assess the skin quality score's ability to distinguish smokers from non-smokers. Logistic regression analysis was conducted to examine the association between smoking and skin quality. Structural Equation Modeling (SEM) was used to explore the relationships between smoking, age, gender, and skin quality.</p><p><strong>Results: </strong>The study included 286 men and 393 women. Active smokers had worse skin quality, with more wrinkles, spots, and pigmentation (p<0.001). E-cigarette users showed poorer skin in the forehead, around the eyes, mustache, mouth, neck, and back (p=0.007-0.034). Hookah use was linked to worse skin and more spots on the back (p=0.004 and 0.009). Average skin quality scores were 25.47 for active smokers, 27.35 for ex-smokers, and 32.1 for non-smokers. Skin quality declined as smoking duration and daily cigarette count increased (p=0.00). Active smokers more frequently received neurotoxin injections and mesotherapy for skin spots (p=0.006 and 0.026).</p><p><strong>Conclusions: </strong>This study confirms the detrimental effects of smoking - including e-cigarette and hookah use - on skin. These findings may serve as motivation for smoking cessation efforts.</p>\",\"PeriodicalId\":23202,\"journal\":{\"name\":\"Tobacco Induced Diseases\",\"volume\":\"23 \",\"pages\":\"\"},\"PeriodicalIF\":1.9000,\"publicationDate\":\"2025-08-22\",\"publicationTypes\":\"Journal Article\",\"fieldsOfStudy\":null,\"isOpenAccess\":false,\"openAccessPdf\":\"https://www.ncbi.nlm.nih.gov/pmc/articles/PMC12371849/pdf/\",\"citationCount\":\"0\",\"resultStr\":null,\"platform\":\"Semanticscholar\",\"paperid\":null,\"PeriodicalName\":\"Tobacco Induced Diseases\",\"FirstCategoryId\":\"3\",\"ListUrlMain\":\"https://doi.org/10.18332/tid/207157\",\"RegionNum\":4,\"RegionCategory\":\"医学\",\"ArticlePicture\":[],\"TitleCN\":null,\"AbstractTextCN\":null,\"PMCID\":null,\"EPubDate\":\"2025/1/1 0:00:00\",\"PubModel\":\"eCollection\",\"JCR\":\"Q2\",\"JCRName\":\"PUBLIC, ENVIRONMENTAL & OCCUPATIONAL HEALTH\",\"Score\":null,\"Total\":0}","platform":"Semanticscholar","paperid":null,"PeriodicalName":"Tobacco Induced Diseases","FirstCategoryId":"3","ListUrlMain":"https://doi.org/10.18332/tid/207157","RegionNum":4,"RegionCategory":"医学","ArticlePicture":[],"TitleCN":null,"AbstractTextCN":null,"PMCID":null,"EPubDate":"2025/1/1 0:00:00","PubModel":"eCollection","JCR":"Q2","JCRName":"PUBLIC, ENVIRONMENTAL & OCCUPATIONAL HEALTH","Score":null,"Total":0}
引用次数: 0

摘要

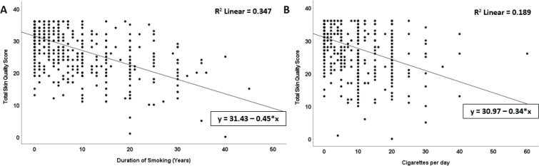
引言:吸烟对皮肤有不良影响是公认的。本研究旨在比较活跃吸烟者、戒烟者和非吸烟者的皮肤特性、护肤品使用模式、微创美容手术的现状和自我评估的皮肤质量。方法:本横断面研究于2024年在丹麦奥尔都大学医学院皮肤学系进行,参与者年龄18-65岁。通过有效的自我管理问卷收集数据。分类数据分析使用卡方或费雪精确检验。采用单向方差分析和事后Bonferroni检验检验组间差异。使用Pearson和Spearman相关分析评估吸烟持续时间、每日卷烟消费量和总皮肤质量评分之间的相关性,并采用线性回归建模。受试者工作特征(ROC)分析用于评估皮肤质量评分区分吸烟者和非吸烟者的能力。采用Logistic回归分析检验吸烟与皮肤质量的关系。使用结构方程模型(SEM)探讨吸烟、年龄、性别和皮肤质量之间的关系。结果:该研究包括286名男性和393名女性。经常吸烟的人皮肤质量更差,皱纹、斑点和色素沉着更多。结论:这项研究证实了吸烟——包括使用电子烟和水烟——对皮肤的有害影响。这些发现可以作为戒烟努力的动力。
本文章由计算机程序翻译,如有差异,请以英文原文为准。

The effect of smoking and other tobacco product use on perceptions of skin quality and health, approaches to skin care, and minimally invasive cosmetic procedures: A cross-sectional study.

The effect of smoking and other tobacco product use on perceptions of skin quality and health, approaches to skin care, and minimally invasive cosmetic procedures: A cross-sectional study.

The effect of smoking and other tobacco product use on perceptions of skin quality and health, approaches to skin care, and minimally invasive cosmetic procedures: A cross-sectional study.

The effect of smoking and other tobacco product use on perceptions of skin quality and health, approaches to skin care, and minimally invasive cosmetic procedures: A cross-sectional study.

Introduction: It is well-established that smoking adversely affects the skin. This study aimed to compare skin properties, skin care product usage patterns, and the status of minimally invasive cosmetic procedures and self-evaluated skin quality in active smokers, ex-smokers, and non-smokers.

Methods: This cross-sectional study was conducted in Department of Dermatology, Faculty of Medicine, Ordu University, Türkiye in 2024, with participants aged 18-65 years. Data were collected through a validated self-administered questionnaire. Categorical data were analyzed using chi-squared or Fisher's exact tests. Intergroup differences were examined using one-way analysis of variance with post hoc Bonferroni tests. Correlations between smoking duration, daily cigarette consumption, and total skin quality scores were assessed using Pearson and Spearman correlation analyses and modeled with linear regression. Receiver Operating Characteristic (ROC) analysis was used to assess the skin quality score's ability to distinguish smokers from non-smokers. Logistic regression analysis was conducted to examine the association between smoking and skin quality. Structural Equation Modeling (SEM) was used to explore the relationships between smoking, age, gender, and skin quality.

Results: The study included 286 men and 393 women. Active smokers had worse skin quality, with more wrinkles, spots, and pigmentation (p<0.001). E-cigarette users showed poorer skin in the forehead, around the eyes, mustache, mouth, neck, and back (p=0.007-0.034). Hookah use was linked to worse skin and more spots on the back (p=0.004 and 0.009). Average skin quality scores were 25.47 for active smokers, 27.35 for ex-smokers, and 32.1 for non-smokers. Skin quality declined as smoking duration and daily cigarette count increased (p=0.00). Active smokers more frequently received neurotoxin injections and mesotherapy for skin spots (p=0.006 and 0.026).

Conclusions: This study confirms the detrimental effects of smoking - including e-cigarette and hookah use - on skin. These findings may serve as motivation for smoking cessation efforts.

求助全文
通过发布文献求助,成功后即可免费获取论文全文。 去求助
来源期刊
Tobacco Induced Diseases
Tobacco Induced Diseases SUBSTANCE ABUSE-PUBLIC, ENVIRONMENTAL & OCCUPATIONAL HEALTH
CiteScore
5.30
自引率
5.40%
发文量
95
审稿时长
12 weeks
期刊介绍: Tobacco Induced Diseases encompasses all aspects of research related to the prevention and control of tobacco use at a global level. Preventing diseases attributable to tobacco is only one aspect of the journal, whose overall scope is to provide a forum for the publication of research articles that can contribute to reducing the burden of tobacco induced diseases globally. To address this epidemic we believe that there must be an avenue for the publication of research/policy activities on tobacco control initiatives that may be very important at a regional and national level. This approach provides a very important "hands on" service to the tobacco control community at a global scale - as common problems have common solutions. Hence, we see ourselves as "connectors" within this global community. The journal hence encourages the submission of articles from all medical, biological and psychosocial disciplines, ranging from medical and dental clinicians, through health professionals to basic biomedical and clinical scientists.
×
引用
GB/T 7714-2015
复制
MLA
复制
APA
复制
导出至
BibTeX EndNote RefMan NoteFirst NoteExpress
×
提示
您的信息不完整,为了账户安全,请先补充。
现在去补充
×
提示
您因"违规操作"
具体请查看互助需知
我知道了
×
提示
确定
请完成安全验证×
copy
已复制链接
快去分享给好友吧!
我知道了
右上角分享
点击右上角分享
0
联系我们:info@booksci.cn Book学术提供免费学术资源搜索服务,方便国内外学者检索中英文文献。致力于提供最便捷和优质的服务体验。 Copyright © 2023 布克学术 All rights reserved.
京ICP备2023020795号-1
ghs 京公网安备 11010802042870号
Book学术文献互助
Book学术文献互助群
群 号:604180095
Book学术官方微信