综合细胞毒性和代谢组学分析揭示细胞对T-2和HT-2毒素共同暴露的特异性反应。

IF 4 3区 医学 Q2 FOOD SCIENCE & TECHNOLOGY
Toxins Pub Date : 2025-07-30 DOI:10.3390/toxins17080381
Weihua He, Zuoyin Zhu, Jingru Xu, Chengbao Huang, Jianhua Wang, Qinggong Wang, Xiaohu Zhai, Junhua Yang
{"title":"综合细胞毒性和代谢组学分析揭示细胞对T-2和HT-2毒素共同暴露的特异性反应。","authors":"Weihua He, Zuoyin Zhu, Jingru Xu, Chengbao Huang, Jianhua Wang, Qinggong Wang, Xiaohu Zhai, Junhua Yang","doi":"10.3390/toxins17080381","DOIUrl":null,"url":null,"abstract":"<p><p>T-2 toxin and HT-2 toxin are commonly found in agricultural products and animal feed, posing serious effects to both humans and animals. This study employed combination index (CI) modeling and metabolomics to assess the combined cytotoxic effects of T-2 and HT-2 on four porcine cell types: intestinal porcine epithelial cells (IPEC-J2), porcine Leydig cells (PLCs), porcine ear fibroblasts (PEFs), and porcine hepatocytes (PHs). Cell viability assays revealed a dose-dependent reduction in viability across all cell lines, with relative sensitivities in the order: IPEC-J2 > PLCs > PEFs > PHs. Synergistic cytotoxicity was observed at low concentrations, while antagonistic interactions emerged at higher doses. Untargeted metabolomic profiling identified consistent and significant metabolic perturbations in four different porcine cell lines under co-exposure conditions. Notably, combined treatment with T-2 and HT-2 resulted in a uniform downregulation of LysoPC (22:6), LysoPC (20:5), and LysoPC (20:4), implicating disruption of membrane phospholipid integrity. Additionally, glycerophospholipid metabolism was the most significantly affected pathway across all cell lines. Ether lipid metabolism was markedly altered in PLCs and PEFs, whereas PHs displayed a unique metabolic response characterized by dysregulation of tryptophan metabolism. This study identified markers of synergistic toxicity and common alterations in metabolic pathways across four homologous porcine cell types under the combined exposure to T-2 and HT-2 toxins. These findings enhance the current understanding of the molecular mechanisms underlying mycotoxin-induced the synergistic toxicity.</p>","PeriodicalId":23119,"journal":{"name":"Toxins","volume":"17 8","pages":""},"PeriodicalIF":4.0000,"publicationDate":"2025-07-30","publicationTypes":"Journal Article","fieldsOfStudy":null,"isOpenAccess":false,"openAccessPdf":"https://www.ncbi.nlm.nih.gov/pmc/articles/PMC12389818/pdf/","citationCount":"0","resultStr":"{\"title\":\"Integrated Cytotoxicity and Metabolomics Analysis Reveals Cell-Type-Specific Responses to Co-Exposure of T-2 and HT-2 Toxins.\",\"authors\":\"Weihua He, Zuoyin Zhu, Jingru Xu, Chengbao Huang, Jianhua Wang, Qinggong Wang, Xiaohu Zhai, Junhua Yang\",\"doi\":\"10.3390/toxins17080381\",\"DOIUrl\":null,\"url\":null,\"abstract\":\"<p><p>T-2 toxin and HT-2 toxin are commonly found in agricultural products and animal feed, posing serious effects to both humans and animals. This study employed combination index (CI) modeling and metabolomics to assess the combined cytotoxic effects of T-2 and HT-2 on four porcine cell types: intestinal porcine epithelial cells (IPEC-J2), porcine Leydig cells (PLCs), porcine ear fibroblasts (PEFs), and porcine hepatocytes (PHs). Cell viability assays revealed a dose-dependent reduction in viability across all cell lines, with relative sensitivities in the order: IPEC-J2 > PLCs > PEFs > PHs. Synergistic cytotoxicity was observed at low concentrations, while antagonistic interactions emerged at higher doses. Untargeted metabolomic profiling identified consistent and significant metabolic perturbations in four different porcine cell lines under co-exposure conditions. Notably, combined treatment with T-2 and HT-2 resulted in a uniform downregulation of LysoPC (22:6), LysoPC (20:5), and LysoPC (20:4), implicating disruption of membrane phospholipid integrity. Additionally, glycerophospholipid metabolism was the most significantly affected pathway across all cell lines. Ether lipid metabolism was markedly altered in PLCs and PEFs, whereas PHs displayed a unique metabolic response characterized by dysregulation of tryptophan metabolism. This study identified markers of synergistic toxicity and common alterations in metabolic pathways across four homologous porcine cell types under the combined exposure to T-2 and HT-2 toxins. These findings enhance the current understanding of the molecular mechanisms underlying mycotoxin-induced the synergistic toxicity.</p>\",\"PeriodicalId\":23119,\"journal\":{\"name\":\"Toxins\",\"volume\":\"17 8\",\"pages\":\"\"},\"PeriodicalIF\":4.0000,\"publicationDate\":\"2025-07-30\",\"publicationTypes\":\"Journal Article\",\"fieldsOfStudy\":null,\"isOpenAccess\":false,\"openAccessPdf\":\"https://www.ncbi.nlm.nih.gov/pmc/articles/PMC12389818/pdf/\",\"citationCount\":\"0\",\"resultStr\":null,\"platform\":\"Semanticscholar\",\"paperid\":null,\"PeriodicalName\":\"Toxins\",\"FirstCategoryId\":\"3\",\"ListUrlMain\":\"https://doi.org/10.3390/toxins17080381\",\"RegionNum\":3,\"RegionCategory\":\"医学\",\"ArticlePicture\":[],\"TitleCN\":null,\"AbstractTextCN\":null,\"PMCID\":null,\"EPubDate\":\"\",\"PubModel\":\"\",\"JCR\":\"Q2\",\"JCRName\":\"FOOD SCIENCE & TECHNOLOGY\",\"Score\":null,\"Total\":0}","platform":"Semanticscholar","paperid":null,"PeriodicalName":"Toxins","FirstCategoryId":"3","ListUrlMain":"https://doi.org/10.3390/toxins17080381","RegionNum":3,"RegionCategory":"医学","ArticlePicture":[],"TitleCN":null,"AbstractTextCN":null,"PMCID":null,"EPubDate":"","PubModel":"","JCR":"Q2","JCRName":"FOOD SCIENCE & TECHNOLOGY","Score":null,"Total":0}
引用次数: 0

摘要

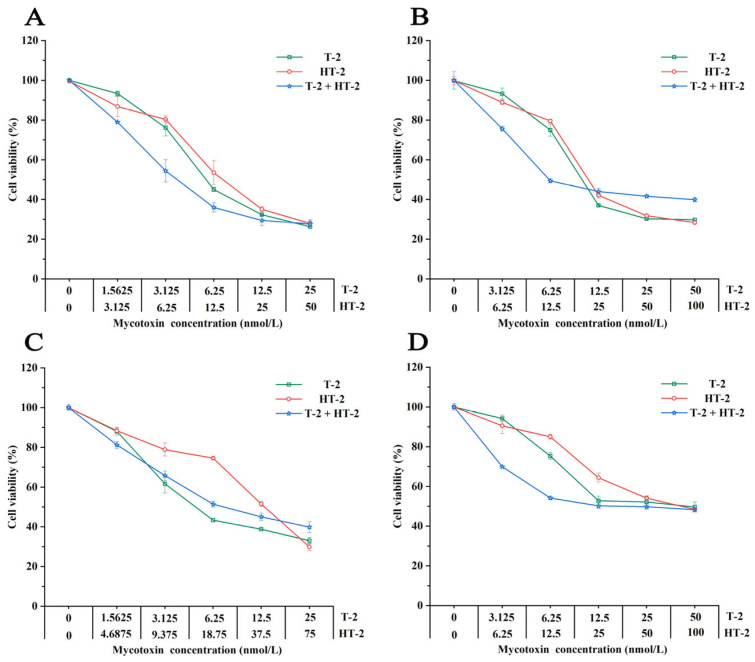
T-2毒素和HT-2毒素常见于农产品和动物饲料中,对人类和动物都有严重影响。本研究采用联合指数(CI)模型和代谢组学方法,评估了T-2和HT-2对猪肠上皮细胞(IPEC-J2)、猪Leydig细胞(plc)、猪耳成纤维细胞(PEFs)和猪肝细胞(PHs)四种猪细胞类型的联合细胞毒性作用。细胞活力测定显示,所有细胞系的活力均呈剂量依赖性降低,相对敏感性顺序为:IPEC-J2 > plc > PEFs > PHs。在低浓度下观察到协同细胞毒性,而在高剂量下出现拮抗相互作用。非靶向代谢组学分析发现,在共暴露条件下,四种不同的猪细胞系存在一致且显著的代谢扰动。值得注意的是,T-2和HT-2联合处理导致LysoPC(22:6)、LysoPC(20:5)和LysoPC(20:4)的均匀下调,这意味着膜磷脂完整性被破坏。此外,甘油磷脂代谢是所有细胞系中受影响最显著的途径。plc和pef的醚类脂质代谢明显改变,而ph则表现出以色氨酸代谢失调为特征的独特代谢反应。本研究确定了在T-2和HT-2毒素联合暴露下,四种同源猪细胞类型的协同毒性标记和代谢途径的共同改变。这些发现加强了目前对真菌毒素诱导的协同毒性的分子机制的理解。
本文章由计算机程序翻译,如有差异,请以英文原文为准。

Integrated Cytotoxicity and Metabolomics Analysis Reveals Cell-Type-Specific Responses to Co-Exposure of T-2 and HT-2 Toxins.

Integrated Cytotoxicity and Metabolomics Analysis Reveals Cell-Type-Specific Responses to Co-Exposure of T-2 and HT-2 Toxins.

Integrated Cytotoxicity and Metabolomics Analysis Reveals Cell-Type-Specific Responses to Co-Exposure of T-2 and HT-2 Toxins.

Integrated Cytotoxicity and Metabolomics Analysis Reveals Cell-Type-Specific Responses to Co-Exposure of T-2 and HT-2 Toxins.

T-2 toxin and HT-2 toxin are commonly found in agricultural products and animal feed, posing serious effects to both humans and animals. This study employed combination index (CI) modeling and metabolomics to assess the combined cytotoxic effects of T-2 and HT-2 on four porcine cell types: intestinal porcine epithelial cells (IPEC-J2), porcine Leydig cells (PLCs), porcine ear fibroblasts (PEFs), and porcine hepatocytes (PHs). Cell viability assays revealed a dose-dependent reduction in viability across all cell lines, with relative sensitivities in the order: IPEC-J2 > PLCs > PEFs > PHs. Synergistic cytotoxicity was observed at low concentrations, while antagonistic interactions emerged at higher doses. Untargeted metabolomic profiling identified consistent and significant metabolic perturbations in four different porcine cell lines under co-exposure conditions. Notably, combined treatment with T-2 and HT-2 resulted in a uniform downregulation of LysoPC (22:6), LysoPC (20:5), and LysoPC (20:4), implicating disruption of membrane phospholipid integrity. Additionally, glycerophospholipid metabolism was the most significantly affected pathway across all cell lines. Ether lipid metabolism was markedly altered in PLCs and PEFs, whereas PHs displayed a unique metabolic response characterized by dysregulation of tryptophan metabolism. This study identified markers of synergistic toxicity and common alterations in metabolic pathways across four homologous porcine cell types under the combined exposure to T-2 and HT-2 toxins. These findings enhance the current understanding of the molecular mechanisms underlying mycotoxin-induced the synergistic toxicity.

求助全文
通过发布文献求助,成功后即可免费获取论文全文。 去求助
来源期刊
Toxins
Toxins TOXICOLOGY-
CiteScore
7.50
自引率
16.70%
发文量
765
审稿时长
16.24 days
期刊介绍: Toxins (ISSN 2072-6651) is an international, peer-reviewed open access journal which provides an advanced forum for studies related to toxins and toxinology. It publishes reviews, regular research papers and short communications. Our aim is to encourage scientists to publish their experimental and theoretical results in as much detail as possible. There is no restriction on the length of the papers. The full experimental details must be provided so that the results can be reproduced.
×
引用
GB/T 7714-2015
复制
MLA
复制
APA
复制
导出至
BibTeX EndNote RefMan NoteFirst NoteExpress
×
提示
您的信息不完整,为了账户安全,请先补充。
现在去补充
×
提示
您因"违规操作"
具体请查看互助需知
我知道了
×
提示
确定
请完成安全验证×
copy
已复制链接
快去分享给好友吧!
我知道了
右上角分享
点击右上角分享
0
联系我们:info@booksci.cn Book学术提供免费学术资源搜索服务,方便国内外学者检索中英文文献。致力于提供最便捷和优质的服务体验。 Copyright © 2023 布克学术 All rights reserved.
京ICP备2023020795号-1
ghs 京公网安备 11010802042870号
Book学术文献互助
Book学术文献互助群
群 号:604180095
Book学术官方微信