通过人为干预试验和层次贝叶斯种群模型推导柑桔霉素的人体毒性动力学参数和化学特异性调节因子。

IF 4 3区 医学 Q2 FOOD SCIENCE & TECHNOLOGY
Toxins Pub Date : 2025-07-31 DOI:10.3390/toxins17080382
Lia Visintin, Camilla Martino, Sarah De Saeger, Eugenio Alladio, Marthe De Boevre, Weihsueh A Chiu
{"title":"通过人为干预试验和层次贝叶斯种群模型推导柑桔霉素的人体毒性动力学参数和化学特异性调节因子。","authors":"Lia Visintin, Camilla Martino, Sarah De Saeger, Eugenio Alladio, Marthe De Boevre, Weihsueh A Chiu","doi":"10.3390/toxins17080382","DOIUrl":null,"url":null,"abstract":"<p><strong>Background: </strong>Citrinin (CIT) is a mycotoxin produced by various fungi contaminating stored cereals and fruits. While biomonitoring and food occurrence data indicate widespread exposure, its public health risks remain unclear due to the lack of human toxicokinetic (TK) data.</p><p><strong>Methods: </strong>A UHPLC-MS/MS method was validated for CIT quantification in capillary blood (VAMS Mitra<sup>®</sup> tips), feces, and urine obtaining LLOQs ≤ 0.05 ng/mL. A human TK study was conducted following a single oral bolus of 200 ng/kg bw CIT. Individual capillary blood (VAMS Mitra<sup>®</sup> tips), feces, and urine samples were collected for 48 h after exposure. Samples were analyzed to determine CIT's TK profile.</p><p><strong>Results: </strong>TK modeling was performed using a multi-compartmental structure with a hierarchical Bayesian population approach, allowing robust parameter estimation despite the lack of standards for CIT metabolites.</p><p><strong>Conclusions: </strong>The derived TK parameters align with preliminary human data and significantly advance CIT exposure assessment via biomonitoring. A human inter-individual toxicokinetic variability (HK<sub>AF</sub>) of 1.92 was calculated based on the derived AUC, indicating that EFSA's current default uncertainty factor for TK variability is adequately protective for at least 95% of the population.</p>","PeriodicalId":23119,"journal":{"name":"Toxins","volume":"17 8","pages":""},"PeriodicalIF":4.0000,"publicationDate":"2025-07-31","publicationTypes":"Journal Article","fieldsOfStudy":null,"isOpenAccess":false,"openAccessPdf":"https://www.ncbi.nlm.nih.gov/pmc/articles/PMC12390278/pdf/","citationCount":"0","resultStr":"{\"title\":\"Derivation of Human Toxicokinetic Parameters and Chemical-Specific Adjustment Factor of Citrinin Through a Human Intervention Trial and Hierarchical Bayesian Population Modeling.\",\"authors\":\"Lia Visintin, Camilla Martino, Sarah De Saeger, Eugenio Alladio, Marthe De Boevre, Weihsueh A Chiu\",\"doi\":\"10.3390/toxins17080382\",\"DOIUrl\":null,\"url\":null,\"abstract\":\"<p><strong>Background: </strong>Citrinin (CIT) is a mycotoxin produced by various fungi contaminating stored cereals and fruits. While biomonitoring and food occurrence data indicate widespread exposure, its public health risks remain unclear due to the lack of human toxicokinetic (TK) data.</p><p><strong>Methods: </strong>A UHPLC-MS/MS method was validated for CIT quantification in capillary blood (VAMS Mitra<sup>®</sup> tips), feces, and urine obtaining LLOQs ≤ 0.05 ng/mL. A human TK study was conducted following a single oral bolus of 200 ng/kg bw CIT. Individual capillary blood (VAMS Mitra<sup>®</sup> tips), feces, and urine samples were collected for 48 h after exposure. Samples were analyzed to determine CIT's TK profile.</p><p><strong>Results: </strong>TK modeling was performed using a multi-compartmental structure with a hierarchical Bayesian population approach, allowing robust parameter estimation despite the lack of standards for CIT metabolites.</p><p><strong>Conclusions: </strong>The derived TK parameters align with preliminary human data and significantly advance CIT exposure assessment via biomonitoring. A human inter-individual toxicokinetic variability (HK<sub>AF</sub>) of 1.92 was calculated based on the derived AUC, indicating that EFSA's current default uncertainty factor for TK variability is adequately protective for at least 95% of the population.</p>\",\"PeriodicalId\":23119,\"journal\":{\"name\":\"Toxins\",\"volume\":\"17 8\",\"pages\":\"\"},\"PeriodicalIF\":4.0000,\"publicationDate\":\"2025-07-31\",\"publicationTypes\":\"Journal Article\",\"fieldsOfStudy\":null,\"isOpenAccess\":false,\"openAccessPdf\":\"https://www.ncbi.nlm.nih.gov/pmc/articles/PMC12390278/pdf/\",\"citationCount\":\"0\",\"resultStr\":null,\"platform\":\"Semanticscholar\",\"paperid\":null,\"PeriodicalName\":\"Toxins\",\"FirstCategoryId\":\"3\",\"ListUrlMain\":\"https://doi.org/10.3390/toxins17080382\",\"RegionNum\":3,\"RegionCategory\":\"医学\",\"ArticlePicture\":[],\"TitleCN\":null,\"AbstractTextCN\":null,\"PMCID\":null,\"EPubDate\":\"\",\"PubModel\":\"\",\"JCR\":\"Q2\",\"JCRName\":\"FOOD SCIENCE & TECHNOLOGY\",\"Score\":null,\"Total\":0}","platform":"Semanticscholar","paperid":null,"PeriodicalName":"Toxins","FirstCategoryId":"3","ListUrlMain":"https://doi.org/10.3390/toxins17080382","RegionNum":3,"RegionCategory":"医学","ArticlePicture":[],"TitleCN":null,"AbstractTextCN":null,"PMCID":null,"EPubDate":"","PubModel":"","JCR":"Q2","JCRName":"FOOD SCIENCE & TECHNOLOGY","Score":null,"Total":0}
引用次数: 0

摘要

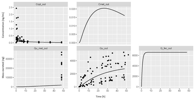
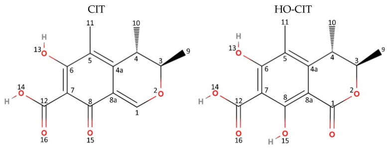
背景:柑桔毒素(Citrinin, CIT)是一种由多种真菌污染储存的谷物和水果而产生的真菌毒素。虽然生物监测和食品发生数据表明广泛接触,但由于缺乏人体毒物动力学(TK)数据,其公共卫生风险仍不清楚。方法:采用高效液相色谱-质谱联用(UHPLC-MS/MS)方法定量毛细管血(VAMS Mitra®tips)、粪便和尿液中的CIT, LLOQs≤0.05 ng/mL。在单次口服200 ng/kg bw CIT后进行了人类TK研究,暴露后48小时收集个体毛细血管血(VAMS Mitra®提示)、粪便和尿液样本。对样本进行分析以确定CIT的TK特征。结果:使用分层贝叶斯总体方法的多室结构进行TK建模,尽管缺乏CIT代谢物的标准,但仍允许进行稳健的参数估计。结论:导出的TK参数与初步的人体数据一致,并通过生物监测显著推进了CIT暴露评估。基于导出的AUC计算出人类个体间毒性动力学变异(HKAF)为1.92,表明EFSA目前默认的TK变异不确定性因子对至少95%的人群具有足够的保护作用。
本文章由计算机程序翻译,如有差异,请以英文原文为准。

Derivation of Human Toxicokinetic Parameters and Chemical-Specific Adjustment Factor of Citrinin Through a Human Intervention Trial and Hierarchical Bayesian Population Modeling.

Derivation of Human Toxicokinetic Parameters and Chemical-Specific Adjustment Factor of Citrinin Through a Human Intervention Trial and Hierarchical Bayesian Population Modeling.

Derivation of Human Toxicokinetic Parameters and Chemical-Specific Adjustment Factor of Citrinin Through a Human Intervention Trial and Hierarchical Bayesian Population Modeling.

Derivation of Human Toxicokinetic Parameters and Chemical-Specific Adjustment Factor of Citrinin Through a Human Intervention Trial and Hierarchical Bayesian Population Modeling.

Background: Citrinin (CIT) is a mycotoxin produced by various fungi contaminating stored cereals and fruits. While biomonitoring and food occurrence data indicate widespread exposure, its public health risks remain unclear due to the lack of human toxicokinetic (TK) data.

Methods: A UHPLC-MS/MS method was validated for CIT quantification in capillary blood (VAMS Mitra® tips), feces, and urine obtaining LLOQs ≤ 0.05 ng/mL. A human TK study was conducted following a single oral bolus of 200 ng/kg bw CIT. Individual capillary blood (VAMS Mitra® tips), feces, and urine samples were collected for 48 h after exposure. Samples were analyzed to determine CIT's TK profile.

Results: TK modeling was performed using a multi-compartmental structure with a hierarchical Bayesian population approach, allowing robust parameter estimation despite the lack of standards for CIT metabolites.

Conclusions: The derived TK parameters align with preliminary human data and significantly advance CIT exposure assessment via biomonitoring. A human inter-individual toxicokinetic variability (HKAF) of 1.92 was calculated based on the derived AUC, indicating that EFSA's current default uncertainty factor for TK variability is adequately protective for at least 95% of the population.

求助全文
通过发布文献求助,成功后即可免费获取论文全文。 去求助
来源期刊
Toxins
Toxins TOXICOLOGY-
CiteScore
7.50
自引率
16.70%
发文量
765
审稿时长
16.24 days
期刊介绍: Toxins (ISSN 2072-6651) is an international, peer-reviewed open access journal which provides an advanced forum for studies related to toxins and toxinology. It publishes reviews, regular research papers and short communications. Our aim is to encourage scientists to publish their experimental and theoretical results in as much detail as possible. There is no restriction on the length of the papers. The full experimental details must be provided so that the results can be reproduced.
×
引用
GB/T 7714-2015
复制
MLA
复制
APA
复制
导出至
BibTeX EndNote RefMan NoteFirst NoteExpress
×
提示
您的信息不完整,为了账户安全,请先补充。
现在去补充
×
提示
您因"违规操作"
具体请查看互助需知
我知道了
×
提示
确定
请完成安全验证×
copy
已复制链接
快去分享给好友吧!
我知道了
右上角分享
点击右上角分享
0
联系我们:info@booksci.cn Book学术提供免费学术资源搜索服务,方便国内外学者检索中英文文献。致力于提供最便捷和优质的服务体验。 Copyright © 2023 布克学术 All rights reserved.
京ICP备2023020795号-1
ghs 京公网安备 11010802042870号
Book学术文献互助
Book学术文献互助群
群 号:604180095
Book学术官方微信