东京猕猴不喜欢山丘范式中的帮助者或阻碍者。

IF 2.9 3区 综合性期刊 Q1 MULTIDISCIPLINARY SCIENCES
Royal Society Open Science Pub Date : 2025-08-27 eCollection Date: 2025-08-01 DOI:10.1098/rsos.250488
Marie Hirel, Hélène Meunier, Hannes Rakoczy, Julia Fischer, Stefanie Keupp
{"title":"东京猕猴不喜欢山丘范式中的帮助者或阻碍者。","authors":"Marie Hirel, Hélène Meunier, Hannes Rakoczy, Julia Fischer, Stefanie Keupp","doi":"10.1098/rsos.250488","DOIUrl":null,"url":null,"abstract":"<p><p>Evaluating others' prosocial tendencies can benefit individuals by allowing them to interact with prosocial individuals and avoid antisocial ones. The ontogeny of humans' strong prosocial preference has been widely investigated using the hill paradigm. Infants' preference for helper over hinderer agents was measured after they watched a scene in which the helper agent pushed a climber up a hill while the hinderer agent pushed the climber down the hill. Bonobos tested with the hill paradigm preferred the hinderer over the helper, contrasting previous findings for other nonhuman primates. In this study, we explored whether another primate species would exhibit a hinderer preference using the same procedure as the one used with bonobos. Tonkean macaques (<i>Macaca tonkeana</i>) did not prefer the helper over the hinderer (or vice versa). While the small sample size (<i>n</i> = 12) and low attentional level observed in our subjects limit interpretation, this finding contributes to a broader critical thinking on the relevance of the hill paradigm to investigate prosocial preferences and on methodological limitations when testing nonhuman animals. Studies using various experimental paradigms with conspecifics or human actors as social agents are needed to further investigate the social evaluation of prosocial behaviours in primates.</p>","PeriodicalId":21525,"journal":{"name":"Royal Society Open Science","volume":"12 8","pages":"250488"},"PeriodicalIF":2.9000,"publicationDate":"2025-08-27","publicationTypes":"Journal Article","fieldsOfStudy":null,"isOpenAccess":false,"openAccessPdf":"https://www.ncbi.nlm.nih.gov/pmc/articles/PMC12381498/pdf/","citationCount":"0","resultStr":"{\"title\":\"Tonkean macaques do not prefer the helper or the hinderer in the hill paradigm.\",\"authors\":\"Marie Hirel, Hélène Meunier, Hannes Rakoczy, Julia Fischer, Stefanie Keupp\",\"doi\":\"10.1098/rsos.250488\",\"DOIUrl\":null,\"url\":null,\"abstract\":\"<p><p>Evaluating others' prosocial tendencies can benefit individuals by allowing them to interact with prosocial individuals and avoid antisocial ones. The ontogeny of humans' strong prosocial preference has been widely investigated using the hill paradigm. Infants' preference for helper over hinderer agents was measured after they watched a scene in which the helper agent pushed a climber up a hill while the hinderer agent pushed the climber down the hill. Bonobos tested with the hill paradigm preferred the hinderer over the helper, contrasting previous findings for other nonhuman primates. In this study, we explored whether another primate species would exhibit a hinderer preference using the same procedure as the one used with bonobos. Tonkean macaques (<i>Macaca tonkeana</i>) did not prefer the helper over the hinderer (or vice versa). While the small sample size (<i>n</i> = 12) and low attentional level observed in our subjects limit interpretation, this finding contributes to a broader critical thinking on the relevance of the hill paradigm to investigate prosocial preferences and on methodological limitations when testing nonhuman animals. Studies using various experimental paradigms with conspecifics or human actors as social agents are needed to further investigate the social evaluation of prosocial behaviours in primates.</p>\",\"PeriodicalId\":21525,\"journal\":{\"name\":\"Royal Society Open Science\",\"volume\":\"12 8\",\"pages\":\"250488\"},\"PeriodicalIF\":2.9000,\"publicationDate\":\"2025-08-27\",\"publicationTypes\":\"Journal Article\",\"fieldsOfStudy\":null,\"isOpenAccess\":false,\"openAccessPdf\":\"https://www.ncbi.nlm.nih.gov/pmc/articles/PMC12381498/pdf/\",\"citationCount\":\"0\",\"resultStr\":null,\"platform\":\"Semanticscholar\",\"paperid\":null,\"PeriodicalName\":\"Royal Society Open Science\",\"FirstCategoryId\":\"103\",\"ListUrlMain\":\"https://doi.org/10.1098/rsos.250488\",\"RegionNum\":3,\"RegionCategory\":\"综合性期刊\",\"ArticlePicture\":[],\"TitleCN\":null,\"AbstractTextCN\":null,\"PMCID\":null,\"EPubDate\":\"2025/8/1 0:00:00\",\"PubModel\":\"eCollection\",\"JCR\":\"Q1\",\"JCRName\":\"MULTIDISCIPLINARY SCIENCES\",\"Score\":null,\"Total\":0}","platform":"Semanticscholar","paperid":null,"PeriodicalName":"Royal Society Open Science","FirstCategoryId":"103","ListUrlMain":"https://doi.org/10.1098/rsos.250488","RegionNum":3,"RegionCategory":"综合性期刊","ArticlePicture":[],"TitleCN":null,"AbstractTextCN":null,"PMCID":null,"EPubDate":"2025/8/1 0:00:00","PubModel":"eCollection","JCR":"Q1","JCRName":"MULTIDISCIPLINARY SCIENCES","Score":null,"Total":0}
引用次数: 0

摘要

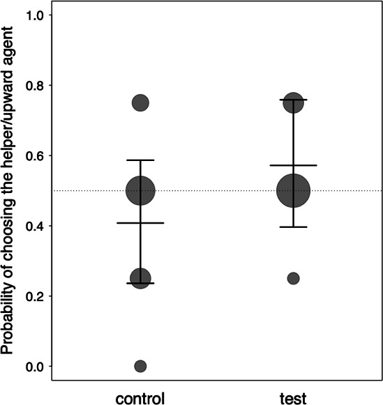
评估他人的亲社会倾向可以使个体受益,允许他们与亲社会个体互动,避免反社会个体。人类强烈的亲社会偏好的个体发生已被广泛地应用hill范式进行研究。在婴儿观看了一个场景后,研究人员测量了他们对帮助者的偏好,而不是阻碍者。在这个场景中,帮助者推着一个登山者上山,而阻碍者推着一个登山者下山。接受希尔范式测试的倭黑猩猩更喜欢阻碍者而不是帮助者,这与之前对其他非人类灵长类动物的研究结果形成了对比。在这项研究中,我们探索了另一种灵长类动物是否会使用与倭黑猩猩相同的程序表现出对障碍的偏好。东京猕猴(Macaca tonkeana)并不喜欢帮助者而不是阻碍者(反之亦然)。虽然在我们的研究对象中观察到的小样本量(n = 12)和低注意力水平限制了解释,但这一发现有助于对希尔范式在调查亲社会偏好方面的相关性以及在测试非人类动物时的方法局限性进行更广泛的批判性思考。为了进一步研究灵长类动物亲社会行为的社会评价,需要使用不同的实验范式,以同种动物或人类行为者作为社会代理人。
本文章由计算机程序翻译,如有差异,请以英文原文为准。

Tonkean macaques do not prefer the helper or the hinderer in the hill paradigm.

Tonkean macaques do not prefer the helper or the hinderer in the hill paradigm.

Tonkean macaques do not prefer the helper or the hinderer in the hill paradigm.

Evaluating others' prosocial tendencies can benefit individuals by allowing them to interact with prosocial individuals and avoid antisocial ones. The ontogeny of humans' strong prosocial preference has been widely investigated using the hill paradigm. Infants' preference for helper over hinderer agents was measured after they watched a scene in which the helper agent pushed a climber up a hill while the hinderer agent pushed the climber down the hill. Bonobos tested with the hill paradigm preferred the hinderer over the helper, contrasting previous findings for other nonhuman primates. In this study, we explored whether another primate species would exhibit a hinderer preference using the same procedure as the one used with bonobos. Tonkean macaques (Macaca tonkeana) did not prefer the helper over the hinderer (or vice versa). While the small sample size (n = 12) and low attentional level observed in our subjects limit interpretation, this finding contributes to a broader critical thinking on the relevance of the hill paradigm to investigate prosocial preferences and on methodological limitations when testing nonhuman animals. Studies using various experimental paradigms with conspecifics or human actors as social agents are needed to further investigate the social evaluation of prosocial behaviours in primates.

求助全文
通过发布文献求助,成功后即可免费获取论文全文。 去求助
来源期刊
Royal Society Open Science
Royal Society Open Science Multidisciplinary-Multidisciplinary
CiteScore
6.00
自引率
0.00%
发文量
508
审稿时长
14 weeks
期刊介绍: Royal Society Open Science is a new open journal publishing high-quality original research across the entire range of science on the basis of objective peer-review. The journal covers the entire range of science and mathematics and will allow the Society to publish all the high-quality work it receives without the usual restrictions on scope, length or impact.
×
引用
GB/T 7714-2015
复制
MLA
复制
APA
复制
导出至
BibTeX EndNote RefMan NoteFirst NoteExpress
×
提示
您的信息不完整,为了账户安全,请先补充。
现在去补充
×
提示
您因"违规操作"
具体请查看互助需知
我知道了
×
提示
确定
请完成安全验证×
copy
已复制链接
快去分享给好友吧!
我知道了
右上角分享
点击右上角分享
0
联系我们:info@booksci.cn Book学术提供免费学术资源搜索服务,方便国内外学者检索中英文文献。致力于提供最便捷和优质的服务体验。 Copyright © 2023 布克学术 All rights reserved.
京ICP备2023020795号-1
ghs 京公网安备 11010802042870号
Book学术文献互助
Book学术文献互助群
群 号:604180095
Book学术官方微信