适应性控制策略的潜在益处被不频繁但规模大得多的疾病暴发的成本所抵消。

IF 2.9 3区 综合性期刊 Q1 MULTIDISCIPLINARY SCIENCES
Royal Society Open Science Pub Date : 2025-08-21 eCollection Date: 2025-08-01 DOI:10.1098/rsos.250598
Samuel M Smith, Colleen T Webb, Stefan Sellman, Tom Lindström, Lindsay M Beck-Johnson
{"title":"适应性控制策略的潜在益处被不频繁但规模大得多的疾病暴发的成本所抵消。","authors":"Samuel M Smith, Colleen T Webb, Stefan Sellman, Tom Lindström, Lindsay M Beck-Johnson","doi":"10.1098/rsos.250598","DOIUrl":null,"url":null,"abstract":"<p><p>Understanding underlying transmission dynamics is necessary to effectively control an infectious disease outbreak. In the likely event that managers do not know where to target control resources because drivers of transmission are unknown, it may be desirable to tailor control strategies to a given outbreak by implementing control actions gradually in response to changes in the outbreak (adaptive) rather than all at once (fixed). Adaptive control strategies may also prevent over-reaction and thus causing unnecessary socioeconomic harm. However, it remains unclear whether the benefits of adaptive control strategies outweigh the potential of under-reacting and causing larger outbreaks. To weigh this trade-off, we used a validated national scale foot and mouth disease transmission model to compare how adaptive and fixed control strategies as well as various attributes of the control process affect outbreak size. We find that adaptive control strategies do not cost less for the vast majority of outbreaks, but infrequently result in much larger and more costly outbreaks owing to decision-making time and case reporting lags. This study emphasizes the cost of under-reacting to a disease outbreak and that minimizing decision-making time should be a key consideration when developing outbreak response guidelines.</p>","PeriodicalId":21525,"journal":{"name":"Royal Society Open Science","volume":"12 8","pages":"250598"},"PeriodicalIF":2.9000,"publicationDate":"2025-08-21","publicationTypes":"Journal Article","fieldsOfStudy":null,"isOpenAccess":false,"openAccessPdf":"https://www.ncbi.nlm.nih.gov/pmc/articles/PMC12368609/pdf/","citationCount":"0","resultStr":"{\"title\":\"Potential benefits of adaptive control strategies are outweighed by costs of infrequent, but dramatically larger disease outbreaks.\",\"authors\":\"Samuel M Smith, Colleen T Webb, Stefan Sellman, Tom Lindström, Lindsay M Beck-Johnson\",\"doi\":\"10.1098/rsos.250598\",\"DOIUrl\":null,\"url\":null,\"abstract\":\"<p><p>Understanding underlying transmission dynamics is necessary to effectively control an infectious disease outbreak. In the likely event that managers do not know where to target control resources because drivers of transmission are unknown, it may be desirable to tailor control strategies to a given outbreak by implementing control actions gradually in response to changes in the outbreak (adaptive) rather than all at once (fixed). Adaptive control strategies may also prevent over-reaction and thus causing unnecessary socioeconomic harm. However, it remains unclear whether the benefits of adaptive control strategies outweigh the potential of under-reacting and causing larger outbreaks. To weigh this trade-off, we used a validated national scale foot and mouth disease transmission model to compare how adaptive and fixed control strategies as well as various attributes of the control process affect outbreak size. We find that adaptive control strategies do not cost less for the vast majority of outbreaks, but infrequently result in much larger and more costly outbreaks owing to decision-making time and case reporting lags. This study emphasizes the cost of under-reacting to a disease outbreak and that minimizing decision-making time should be a key consideration when developing outbreak response guidelines.</p>\",\"PeriodicalId\":21525,\"journal\":{\"name\":\"Royal Society Open Science\",\"volume\":\"12 8\",\"pages\":\"250598\"},\"PeriodicalIF\":2.9000,\"publicationDate\":\"2025-08-21\",\"publicationTypes\":\"Journal Article\",\"fieldsOfStudy\":null,\"isOpenAccess\":false,\"openAccessPdf\":\"https://www.ncbi.nlm.nih.gov/pmc/articles/PMC12368609/pdf/\",\"citationCount\":\"0\",\"resultStr\":null,\"platform\":\"Semanticscholar\",\"paperid\":null,\"PeriodicalName\":\"Royal Society Open Science\",\"FirstCategoryId\":\"103\",\"ListUrlMain\":\"https://doi.org/10.1098/rsos.250598\",\"RegionNum\":3,\"RegionCategory\":\"综合性期刊\",\"ArticlePicture\":[],\"TitleCN\":null,\"AbstractTextCN\":null,\"PMCID\":null,\"EPubDate\":\"2025/8/1 0:00:00\",\"PubModel\":\"eCollection\",\"JCR\":\"Q1\",\"JCRName\":\"MULTIDISCIPLINARY SCIENCES\",\"Score\":null,\"Total\":0}","platform":"Semanticscholar","paperid":null,"PeriodicalName":"Royal Society Open Science","FirstCategoryId":"103","ListUrlMain":"https://doi.org/10.1098/rsos.250598","RegionNum":3,"RegionCategory":"综合性期刊","ArticlePicture":[],"TitleCN":null,"AbstractTextCN":null,"PMCID":null,"EPubDate":"2025/8/1 0:00:00","PubModel":"eCollection","JCR":"Q1","JCRName":"MULTIDISCIPLINARY SCIENCES","Score":null,"Total":0}
引用次数: 0

摘要

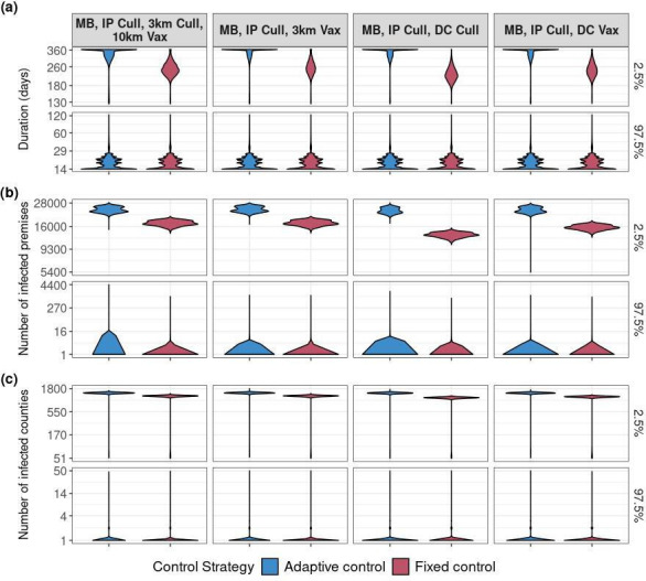
了解潜在的传播动力学是有效控制传染病爆发的必要条件。如果由于传播的驱动因素未知,管理人员可能不知道控制资源的目标在哪里,那么最好针对特定的疫情制定控制策略,根据疫情的变化逐步实施控制行动(自适应),而不是一次实施所有控制行动(固定)。适应性控制策略也可以防止过度反应,从而造成不必要的社会经济危害。然而,目前尚不清楚适应性控制策略的好处是否超过反应不足和引起更大疫情的可能性。为了权衡这一权衡,我们使用了一个经过验证的国家规模口蹄疫传播模型来比较适应性和固定控制策略以及控制过程的各种属性如何影响爆发规模。我们发现,适应性控制策略对绝大多数疫情的成本并没有降低,但由于决策时间和病例报告滞后,很少会导致更大规模和更昂贵的疫情。这项研究强调了对疾病暴发反应不足的代价,并且在制定疫情应对指南时,最大限度地减少决策时间应该是一个关键考虑因素。
本文章由计算机程序翻译,如有差异,请以英文原文为准。

Potential benefits of adaptive control strategies are outweighed by costs of infrequent, but dramatically larger disease outbreaks.

Potential benefits of adaptive control strategies are outweighed by costs of infrequent, but dramatically larger disease outbreaks.

Potential benefits of adaptive control strategies are outweighed by costs of infrequent, but dramatically larger disease outbreaks.

Potential benefits of adaptive control strategies are outweighed by costs of infrequent, but dramatically larger disease outbreaks.

Understanding underlying transmission dynamics is necessary to effectively control an infectious disease outbreak. In the likely event that managers do not know where to target control resources because drivers of transmission are unknown, it may be desirable to tailor control strategies to a given outbreak by implementing control actions gradually in response to changes in the outbreak (adaptive) rather than all at once (fixed). Adaptive control strategies may also prevent over-reaction and thus causing unnecessary socioeconomic harm. However, it remains unclear whether the benefits of adaptive control strategies outweigh the potential of under-reacting and causing larger outbreaks. To weigh this trade-off, we used a validated national scale foot and mouth disease transmission model to compare how adaptive and fixed control strategies as well as various attributes of the control process affect outbreak size. We find that adaptive control strategies do not cost less for the vast majority of outbreaks, but infrequently result in much larger and more costly outbreaks owing to decision-making time and case reporting lags. This study emphasizes the cost of under-reacting to a disease outbreak and that minimizing decision-making time should be a key consideration when developing outbreak response guidelines.

求助全文
通过发布文献求助,成功后即可免费获取论文全文。 去求助
来源期刊
Royal Society Open Science
Royal Society Open Science Multidisciplinary-Multidisciplinary
CiteScore
6.00
自引率
0.00%
发文量
508
审稿时长
14 weeks
期刊介绍: Royal Society Open Science is a new open journal publishing high-quality original research across the entire range of science on the basis of objective peer-review. The journal covers the entire range of science and mathematics and will allow the Society to publish all the high-quality work it receives without the usual restrictions on scope, length or impact.
×
引用
GB/T 7714-2015
复制
MLA
复制
APA
复制
导出至
BibTeX EndNote RefMan NoteFirst NoteExpress
×
提示
您的信息不完整,为了账户安全,请先补充。
现在去补充
×
提示
您因"违规操作"
具体请查看互助需知
我知道了
×
提示
确定
请完成安全验证×
copy
已复制链接
快去分享给好友吧!
我知道了
右上角分享
点击右上角分享
0
联系我们:info@booksci.cn Book学术提供免费学术资源搜索服务,方便国内外学者检索中英文文献。致力于提供最便捷和优质的服务体验。 Copyright © 2023 布克学术 All rights reserved.
京ICP备2023020795号-1
ghs 京公网安备 11010802042870号
Book学术文献互助
Book学术文献互助群
群 号:604180095
Book学术官方微信