开始新治疗的类风湿关节炎患者在密集纵向数据收集中的远程测量的可行性。

IF 2.1 Q3 RHEUMATOLOGY
Rheumatology Advances in Practice Pub Date : 2025-07-07 eCollection Date: 2025-01-01 DOI:10.1093/rap/rkaf078
Hsiu Yen Tung, James Galloway, Faith Matcham, Amy Boalch, Ginny Shand, Sam Norton
{"title":"开始新治疗的类风湿关节炎患者在密集纵向数据收集中的远程测量的可行性。","authors":"Hsiu Yen Tung, James Galloway, Faith Matcham, Amy Boalch, Ginny Shand, Sam Norton","doi":"10.1093/rap/rkaf078","DOIUrl":null,"url":null,"abstract":"<p><strong>Objectives: </strong>This article aims to evaluate the feasibility and acceptability of intensive assessment of symptoms in RA patients starting a new biologic treatment.</p><p><strong>Methods: </strong>Participant symptoms and experiences were collected six times a day for 14 days and once a day for 16 days in a single cohort. Wearable devices were also given to participants to track sleep and physical activity. Qualitative interviews were conducted to provide feedback regarding the acceptability of methods. Recruitment and completion rates were used to test for feasibility. The mean and variability of data for each day were calculated to reflect on data quality. Qualitative interview data were analysed by deductive thematic analysis.</p><p><strong>Results: </strong>Of the 110 patients approached, 27 (15.5%) could not be contacted and 12 (14.5%) were excluded due to meeting exclusion criteria. Of 71 contactable and eligible participants, 31 (43.7%) joined the study. The survey completion rate was 74.6% (1943/2604) for the first 14 days, ranging from 10.7 to 100%. Completion rates for days 15-30 ranged from 60 to 83%. Mean levels of severity of symptoms (pain, fatigue, joint stiffness) showed a decrease after treatment, as expected. Qualitative interviews demonstrated that participants reported a positive experience that was not overly burdensome. Surveys were described as quick and easy to complete, but repetitive for some participants.</p><p><strong>Discussion: </strong>Recruitment and completion rates were acceptable and comparable to similar studies in the field. Qualitative analysis showed largely positive reviews from participants with feedback mainly focusing on survey timings.</p>","PeriodicalId":21350,"journal":{"name":"Rheumatology Advances in Practice","volume":"9 3","pages":"rkaf078"},"PeriodicalIF":2.1000,"publicationDate":"2025-07-07","publicationTypes":"Journal Article","fieldsOfStudy":null,"isOpenAccess":false,"openAccessPdf":"https://www.ncbi.nlm.nih.gov/pmc/articles/PMC12375405/pdf/","citationCount":"0","resultStr":"{\"title\":\"Feasibility of remote measurement in intensive longitudinal data collection for rheumatoid arthritis patients commencing a new treatment.\",\"authors\":\"Hsiu Yen Tung, James Galloway, Faith Matcham, Amy Boalch, Ginny Shand, Sam Norton\",\"doi\":\"10.1093/rap/rkaf078\",\"DOIUrl\":null,\"url\":null,\"abstract\":\"<p><strong>Objectives: </strong>This article aims to evaluate the feasibility and acceptability of intensive assessment of symptoms in RA patients starting a new biologic treatment.</p><p><strong>Methods: </strong>Participant symptoms and experiences were collected six times a day for 14 days and once a day for 16 days in a single cohort. Wearable devices were also given to participants to track sleep and physical activity. Qualitative interviews were conducted to provide feedback regarding the acceptability of methods. Recruitment and completion rates were used to test for feasibility. The mean and variability of data for each day were calculated to reflect on data quality. Qualitative interview data were analysed by deductive thematic analysis.</p><p><strong>Results: </strong>Of the 110 patients approached, 27 (15.5%) could not be contacted and 12 (14.5%) were excluded due to meeting exclusion criteria. Of 71 contactable and eligible participants, 31 (43.7%) joined the study. The survey completion rate was 74.6% (1943/2604) for the first 14 days, ranging from 10.7 to 100%. Completion rates for days 15-30 ranged from 60 to 83%. Mean levels of severity of symptoms (pain, fatigue, joint stiffness) showed a decrease after treatment, as expected. Qualitative interviews demonstrated that participants reported a positive experience that was not overly burdensome. Surveys were described as quick and easy to complete, but repetitive for some participants.</p><p><strong>Discussion: </strong>Recruitment and completion rates were acceptable and comparable to similar studies in the field. Qualitative analysis showed largely positive reviews from participants with feedback mainly focusing on survey timings.</p>\",\"PeriodicalId\":21350,\"journal\":{\"name\":\"Rheumatology Advances in Practice\",\"volume\":\"9 3\",\"pages\":\"rkaf078\"},\"PeriodicalIF\":2.1000,\"publicationDate\":\"2025-07-07\",\"publicationTypes\":\"Journal Article\",\"fieldsOfStudy\":null,\"isOpenAccess\":false,\"openAccessPdf\":\"https://www.ncbi.nlm.nih.gov/pmc/articles/PMC12375405/pdf/\",\"citationCount\":\"0\",\"resultStr\":null,\"platform\":\"Semanticscholar\",\"paperid\":null,\"PeriodicalName\":\"Rheumatology Advances in Practice\",\"FirstCategoryId\":\"1085\",\"ListUrlMain\":\"https://doi.org/10.1093/rap/rkaf078\",\"RegionNum\":0,\"RegionCategory\":null,\"ArticlePicture\":[],\"TitleCN\":null,\"AbstractTextCN\":null,\"PMCID\":null,\"EPubDate\":\"2025/1/1 0:00:00\",\"PubModel\":\"eCollection\",\"JCR\":\"Q3\",\"JCRName\":\"RHEUMATOLOGY\",\"Score\":null,\"Total\":0}","platform":"Semanticscholar","paperid":null,"PeriodicalName":"Rheumatology Advances in Practice","FirstCategoryId":"1085","ListUrlMain":"https://doi.org/10.1093/rap/rkaf078","RegionNum":0,"RegionCategory":null,"ArticlePicture":[],"TitleCN":null,"AbstractTextCN":null,"PMCID":null,"EPubDate":"2025/1/1 0:00:00","PubModel":"eCollection","JCR":"Q3","JCRName":"RHEUMATOLOGY","Score":null,"Total":0}
引用次数: 0

摘要

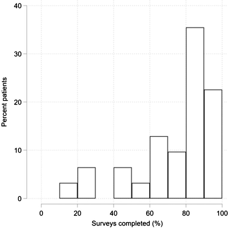
目的:本文旨在评估RA患者开始新的生物治疗时强化症状评估的可行性和可接受性。方法:在单个队列中,每天6次,连续14天,每天1次,连续16天收集参与者的症状和经历。研究人员还向参与者提供了可穿戴设备,以跟踪他们的睡眠和身体活动。进行了定性访谈,以提供关于方法可接受性的反馈。招募率和完成率被用来测试可行性。计算每天数据的平均值和变异性以反映数据质量。定性访谈资料采用演绎主题分析法进行分析。结果:在所接触的110例患者中,27例(15.5%)无法接触,12例(14.5%)因符合排除标准而被排除。在71名可联系且符合条件的参与者中,31名(43.7%)加入了研究。前14天的调查完成率为74.6%(1943/2604),从10.7到100%不等。15-30天的完成率从60%到83%不等。治疗后,症状(疼痛、疲劳、关节僵硬)的平均严重程度如预期的那样有所下降。定性访谈表明,参与者报告了积极的体验,并没有过度负担。调查被描述为快速且容易完成,但对一些参与者来说是重复的。讨论:招聘和完成率是可以接受的,与该领域的类似研究相当。定性分析显示,参与者的评价大多是积极的,反馈主要集中在调查时间上。
本文章由计算机程序翻译,如有差异,请以英文原文为准。

Feasibility of remote measurement in intensive longitudinal data collection for rheumatoid arthritis patients commencing a new treatment.

Feasibility of remote measurement in intensive longitudinal data collection for rheumatoid arthritis patients commencing a new treatment.

Feasibility of remote measurement in intensive longitudinal data collection for rheumatoid arthritis patients commencing a new treatment.

Feasibility of remote measurement in intensive longitudinal data collection for rheumatoid arthritis patients commencing a new treatment.

Objectives: This article aims to evaluate the feasibility and acceptability of intensive assessment of symptoms in RA patients starting a new biologic treatment.

Methods: Participant symptoms and experiences were collected six times a day for 14 days and once a day for 16 days in a single cohort. Wearable devices were also given to participants to track sleep and physical activity. Qualitative interviews were conducted to provide feedback regarding the acceptability of methods. Recruitment and completion rates were used to test for feasibility. The mean and variability of data for each day were calculated to reflect on data quality. Qualitative interview data were analysed by deductive thematic analysis.

Results: Of the 110 patients approached, 27 (15.5%) could not be contacted and 12 (14.5%) were excluded due to meeting exclusion criteria. Of 71 contactable and eligible participants, 31 (43.7%) joined the study. The survey completion rate was 74.6% (1943/2604) for the first 14 days, ranging from 10.7 to 100%. Completion rates for days 15-30 ranged from 60 to 83%. Mean levels of severity of symptoms (pain, fatigue, joint stiffness) showed a decrease after treatment, as expected. Qualitative interviews demonstrated that participants reported a positive experience that was not overly burdensome. Surveys were described as quick and easy to complete, but repetitive for some participants.

Discussion: Recruitment and completion rates were acceptable and comparable to similar studies in the field. Qualitative analysis showed largely positive reviews from participants with feedback mainly focusing on survey timings.

求助全文
通过发布文献求助,成功后即可免费获取论文全文。 去求助
来源期刊
Rheumatology Advances in Practice
Rheumatology Advances in Practice Medicine-Rheumatology
CiteScore
3.60
自引率
3.20%
发文量
197
审稿时长
11 weeks
×
引用
GB/T 7714-2015
复制
MLA
复制
APA
复制
导出至
BibTeX EndNote RefMan NoteFirst NoteExpress
×
提示
您的信息不完整,为了账户安全,请先补充。
现在去补充
×
提示
您因"违规操作"
具体请查看互助需知
我知道了
×
提示
确定
请完成安全验证×
copy
已复制链接
快去分享给好友吧!
我知道了
右上角分享
点击右上角分享
0
联系我们:info@booksci.cn Book学术提供免费学术资源搜索服务,方便国内外学者检索中英文文献。致力于提供最便捷和优质的服务体验。 Copyright © 2023 布克学术 All rights reserved.
京ICP备2023020795号-1
ghs 京公网安备 11010802042870号
Book学术文献互助
Book学术文献互助群
群 号:604180095
Book学术官方微信