新生儿重症监护病房的清洁和消毒:评价方法的相关性。

IF 1.2 Q3 NURSING
Revista Brasileira De Enfermagem Pub Date : 2025-09-01 eCollection Date: 2025-01-01 DOI:10.1590/0034-7167-2024-0424
Maria Heloisa Silva, Aires Garcia Dos Santos Junior, André Luiz Silva Alvim, Daniel de Macedo Rocha, Verusca Soares de Souza, Alvaro Francisco Lopes de Sousa
{"title":"新生儿重症监护病房的清洁和消毒:评价方法的相关性。","authors":"Maria Heloisa Silva, Aires Garcia Dos Santos Junior, André Luiz Silva Alvim, Daniel de Macedo Rocha, Verusca Soares de Souza, Alvaro Francisco Lopes de Sousa","doi":"10.1590/0034-7167-2024-0424","DOIUrl":null,"url":null,"abstract":"<p><strong>Objectives: </strong>to correlate surface cleaning and disinfection monitoring methods in two neonatal intensive care units and compare threshold values for adenosine triphosphate.</p><p><strong>Methods: </strong>a correlational study with 864 assessments was conducted using adenosine triphosphate quantification, visual inspection, aerobic colony count, Staphylococcus aureus detection, and resistance testing before and after hygiene procedures.</p><p><strong>Results: </strong>in Unit A, correlations were found between colony count and Staphylococcus aureus on the counter (phase I; P=0.031) and between adenosine triphosphate and colony count in the incubator (phase II; P=0.001). In Unit B, a correlation was observed between adenosine triphosphate and colony count on the infusion pump (phase I; P=0.045). Threshold values for adenosine triphosphate were lower than 28 relative light units in Unit A and equal to or lower than 38 in Unit B.</p><p><strong>Conclusions: </strong>variations were observed in the correlations and threshold values for adenosine triphosphate between the analyzed units.</p>","PeriodicalId":21200,"journal":{"name":"Revista Brasileira De Enfermagem","volume":"78 3","pages":"e20240424"},"PeriodicalIF":1.2000,"publicationDate":"2025-09-01","publicationTypes":"Journal Article","fieldsOfStudy":null,"isOpenAccess":false,"openAccessPdf":"https://www.ncbi.nlm.nih.gov/pmc/articles/PMC12408087/pdf/","citationCount":"0","resultStr":"{\"title\":\"Cleaning and disinfection in neonatal intensive care units: correlation of evaluation methods.\",\"authors\":\"Maria Heloisa Silva, Aires Garcia Dos Santos Junior, André Luiz Silva Alvim, Daniel de Macedo Rocha, Verusca Soares de Souza, Alvaro Francisco Lopes de Sousa\",\"doi\":\"10.1590/0034-7167-2024-0424\",\"DOIUrl\":null,\"url\":null,\"abstract\":\"<p><strong>Objectives: </strong>to correlate surface cleaning and disinfection monitoring methods in two neonatal intensive care units and compare threshold values for adenosine triphosphate.</p><p><strong>Methods: </strong>a correlational study with 864 assessments was conducted using adenosine triphosphate quantification, visual inspection, aerobic colony count, Staphylococcus aureus detection, and resistance testing before and after hygiene procedures.</p><p><strong>Results: </strong>in Unit A, correlations were found between colony count and Staphylococcus aureus on the counter (phase I; P=0.031) and between adenosine triphosphate and colony count in the incubator (phase II; P=0.001). In Unit B, a correlation was observed between adenosine triphosphate and colony count on the infusion pump (phase I; P=0.045). Threshold values for adenosine triphosphate were lower than 28 relative light units in Unit A and equal to or lower than 38 in Unit B.</p><p><strong>Conclusions: </strong>variations were observed in the correlations and threshold values for adenosine triphosphate between the analyzed units.</p>\",\"PeriodicalId\":21200,\"journal\":{\"name\":\"Revista Brasileira De Enfermagem\",\"volume\":\"78 3\",\"pages\":\"e20240424\"},\"PeriodicalIF\":1.2000,\"publicationDate\":\"2025-09-01\",\"publicationTypes\":\"Journal Article\",\"fieldsOfStudy\":null,\"isOpenAccess\":false,\"openAccessPdf\":\"https://www.ncbi.nlm.nih.gov/pmc/articles/PMC12408087/pdf/\",\"citationCount\":\"0\",\"resultStr\":null,\"platform\":\"Semanticscholar\",\"paperid\":null,\"PeriodicalName\":\"Revista Brasileira De Enfermagem\",\"FirstCategoryId\":\"1085\",\"ListUrlMain\":\"https://doi.org/10.1590/0034-7167-2024-0424\",\"RegionNum\":0,\"RegionCategory\":null,\"ArticlePicture\":[],\"TitleCN\":null,\"AbstractTextCN\":null,\"PMCID\":null,\"EPubDate\":\"2025/1/1 0:00:00\",\"PubModel\":\"eCollection\",\"JCR\":\"Q3\",\"JCRName\":\"NURSING\",\"Score\":null,\"Total\":0}","platform":"Semanticscholar","paperid":null,"PeriodicalName":"Revista Brasileira De Enfermagem","FirstCategoryId":"1085","ListUrlMain":"https://doi.org/10.1590/0034-7167-2024-0424","RegionNum":0,"RegionCategory":null,"ArticlePicture":[],"TitleCN":null,"AbstractTextCN":null,"PMCID":null,"EPubDate":"2025/1/1 0:00:00","PubModel":"eCollection","JCR":"Q3","JCRName":"NURSING","Score":null,"Total":0}
引用次数: 0

摘要

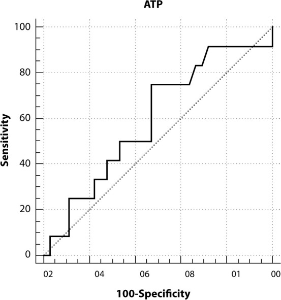
目的:比较两个新生儿重症监护病房的表面清洁和消毒监测方法,并比较三磷酸腺苷的阈值。方法:采用三磷酸腺苷定量、目视检查、好氧菌落计数、金黄色葡萄球菌检测、耐药检测等方法对864例患者进行相关研究。结果:在A单元,菌落计数与计数器上的金黄色葡萄球菌(第一期,P=0.031)存在相关性,三磷酸腺苷与培养箱中的菌落计数存在相关性(第二期,P=0.001)。在B单元,三磷酸腺苷与输液泵上的菌落计数存在相关性(I期;P=0.045)。三磷酸腺苷的阈值在A单位低于28相对光单位,在b单位等于或低于38相对光单位。结论:三磷酸腺苷在分析单位之间的相关性和阈值存在差异。
本文章由计算机程序翻译,如有差异,请以英文原文为准。

Cleaning and disinfection in neonatal intensive care units: correlation of evaluation methods.

Cleaning and disinfection in neonatal intensive care units: correlation of evaluation methods.

Cleaning and disinfection in neonatal intensive care units: correlation of evaluation methods.

Cleaning and disinfection in neonatal intensive care units: correlation of evaluation methods.

Objectives: to correlate surface cleaning and disinfection monitoring methods in two neonatal intensive care units and compare threshold values for adenosine triphosphate.

Methods: a correlational study with 864 assessments was conducted using adenosine triphosphate quantification, visual inspection, aerobic colony count, Staphylococcus aureus detection, and resistance testing before and after hygiene procedures.

Results: in Unit A, correlations were found between colony count and Staphylococcus aureus on the counter (phase I; P=0.031) and between adenosine triphosphate and colony count in the incubator (phase II; P=0.001). In Unit B, a correlation was observed between adenosine triphosphate and colony count on the infusion pump (phase I; P=0.045). Threshold values for adenosine triphosphate were lower than 28 relative light units in Unit A and equal to or lower than 38 in Unit B.

Conclusions: variations were observed in the correlations and threshold values for adenosine triphosphate between the analyzed units.

求助全文
通过发布文献求助,成功后即可免费获取论文全文。 去求助
来源期刊
CiteScore
2.30
自引率
7.70%
发文量
477
审稿时长
21 weeks
期刊介绍: The Revista Brasileira de Enfermagem created in 1932, March 20 is the official publication of the Associação Brasileira de Enfermagem (Brazilian Nursing Association) has as purpose to disseminate the scientific production from different nursing interest areas of knowledge, including those which express the political project of the Association. The Revista Brasileira de Enfermagem is the oldest journal of the Brazilian nursing. Its first title was "Annaes de Enfermagem" from 1932 to 1941, being entitled Anais de Enfermagem" until 1955, when its title was changed to the current.
×
引用
GB/T 7714-2015
复制
MLA
复制
APA
复制
导出至
BibTeX EndNote RefMan NoteFirst NoteExpress
×
提示
您的信息不完整,为了账户安全,请先补充。
现在去补充
×
提示
您因"违规操作"
具体请查看互助需知
我知道了
×
提示
确定
请完成安全验证×
copy
已复制链接
快去分享给好友吧!
我知道了
右上角分享
点击右上角分享
0
联系我们:info@booksci.cn Book学术提供免费学术资源搜索服务,方便国内外学者检索中英文文献。致力于提供最便捷和优质的服务体验。 Copyright © 2023 布克学术 All rights reserved.
京ICP备2023020795号-1
ghs 京公网安备 11010802042870号
Book学术文献互助
Book学术文献互助群
群 号:604180095
Book学术官方微信