抑郁、焦虑障碍患者心理弹性的潜在特征分析及其与心理因素的关系。

IF 1.8 4区 医学 Q3 PSYCHIATRY
Psychiatry Investigation Pub Date : 2025-08-01 Epub Date: 2025-08-07 DOI:10.30773/pi.2025.0018
Mi-Sun Lee, Hyu Jung Huh, Jeong-Ho Chae
{"title":"抑郁、焦虑障碍患者心理弹性的潜在特征分析及其与心理因素的关系。","authors":"Mi-Sun Lee, Hyu Jung Huh, Jeong-Ho Chae","doi":"10.30773/pi.2025.0018","DOIUrl":null,"url":null,"abstract":"<p><strong>Objective: </strong>This study aimed to classify the level of resilience among outpatients and investigate the relationship of resilience with depression, state anxiety, and psychological factors.</p><p><strong>Methods: </strong>A total of 1,498 outpatients were recruited from a university hospital in Korea. The latent profile analysis of the resilience factor was identified using the R-based Jamovi 2.3.24 software. One-way analysis of variance was used to compare the differences between depression, state anxiety, and psychological factors; Scheffe's test was used to conduct multiple comparisons.</p><p><strong>Results: </strong>Three latent profiles were identified, including the high level of resilience (Class 1, 19.7%), the moderate level of resilience (Class 2, 47.9%), and the low level of resilience (Class 3, 32.4%). Depression and state anxiety were higher in Class 3 than Class 1 and 2. In analyzing Class 1, individuals with depressive and anxiety symptoms scored higher on anger rumination compared with those without symptoms, but there were no differences in cognitive emotion regulation. Childhood emotional neglect was higher for individuals with depressive symptoms compared to those without symptoms in Class 1.</p><p><strong>Conclusion: </strong>This study provides an in-depth understanding of resilience and insights into the association between resilience, depression, anxiety, and psychological factors. It is necessary to provide sufficient support and interventions to regulate anger rumination and emotional factors among outpatients in Class 1 with depression and state anxiety symptoms.</p>","PeriodicalId":21164,"journal":{"name":"Psychiatry Investigation","volume":"22 8","pages":"949-959"},"PeriodicalIF":1.8000,"publicationDate":"2025-08-01","publicationTypes":"Journal Article","fieldsOfStudy":null,"isOpenAccess":false,"openAccessPdf":"https://www.ncbi.nlm.nih.gov/pmc/articles/PMC12370433/pdf/","citationCount":"0","resultStr":"{\"title\":\"Latent Profile Analysis of Resilience and Its Association With Psychological Factors in Patients Diagnosed With Depression and Anxiety Disorders.\",\"authors\":\"Mi-Sun Lee, Hyu Jung Huh, Jeong-Ho Chae\",\"doi\":\"10.30773/pi.2025.0018\",\"DOIUrl\":null,\"url\":null,\"abstract\":\"<p><strong>Objective: </strong>This study aimed to classify the level of resilience among outpatients and investigate the relationship of resilience with depression, state anxiety, and psychological factors.</p><p><strong>Methods: </strong>A total of 1,498 outpatients were recruited from a university hospital in Korea. The latent profile analysis of the resilience factor was identified using the R-based Jamovi 2.3.24 software. One-way analysis of variance was used to compare the differences between depression, state anxiety, and psychological factors; Scheffe's test was used to conduct multiple comparisons.</p><p><strong>Results: </strong>Three latent profiles were identified, including the high level of resilience (Class 1, 19.7%), the moderate level of resilience (Class 2, 47.9%), and the low level of resilience (Class 3, 32.4%). Depression and state anxiety were higher in Class 3 than Class 1 and 2. In analyzing Class 1, individuals with depressive and anxiety symptoms scored higher on anger rumination compared with those without symptoms, but there were no differences in cognitive emotion regulation. Childhood emotional neglect was higher for individuals with depressive symptoms compared to those without symptoms in Class 1.</p><p><strong>Conclusion: </strong>This study provides an in-depth understanding of resilience and insights into the association between resilience, depression, anxiety, and psychological factors. It is necessary to provide sufficient support and interventions to regulate anger rumination and emotional factors among outpatients in Class 1 with depression and state anxiety symptoms.</p>\",\"PeriodicalId\":21164,\"journal\":{\"name\":\"Psychiatry Investigation\",\"volume\":\"22 8\",\"pages\":\"949-959\"},\"PeriodicalIF\":1.8000,\"publicationDate\":\"2025-08-01\",\"publicationTypes\":\"Journal Article\",\"fieldsOfStudy\":null,\"isOpenAccess\":false,\"openAccessPdf\":\"https://www.ncbi.nlm.nih.gov/pmc/articles/PMC12370433/pdf/\",\"citationCount\":\"0\",\"resultStr\":null,\"platform\":\"Semanticscholar\",\"paperid\":null,\"PeriodicalName\":\"Psychiatry Investigation\",\"FirstCategoryId\":\"3\",\"ListUrlMain\":\"https://doi.org/10.30773/pi.2025.0018\",\"RegionNum\":4,\"RegionCategory\":\"医学\",\"ArticlePicture\":[],\"TitleCN\":null,\"AbstractTextCN\":null,\"PMCID\":null,\"EPubDate\":\"2025/8/7 0:00:00\",\"PubModel\":\"Epub\",\"JCR\":\"Q3\",\"JCRName\":\"PSYCHIATRY\",\"Score\":null,\"Total\":0}","platform":"Semanticscholar","paperid":null,"PeriodicalName":"Psychiatry Investigation","FirstCategoryId":"3","ListUrlMain":"https://doi.org/10.30773/pi.2025.0018","RegionNum":4,"RegionCategory":"医学","ArticlePicture":[],"TitleCN":null,"AbstractTextCN":null,"PMCID":null,"EPubDate":"2025/8/7 0:00:00","PubModel":"Epub","JCR":"Q3","JCRName":"PSYCHIATRY","Score":null,"Total":0}
引用次数: 0

摘要

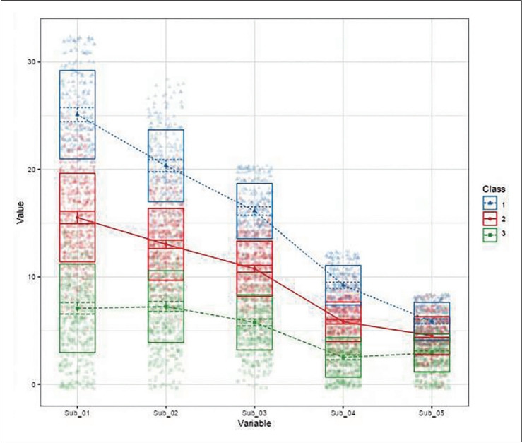
目的:对门诊病人心理弹性水平进行分类,探讨心理弹性与抑郁、状态焦虑及心理因素的关系。方法:在韩国某大学医院共招募1498名门诊患者。利用基于r的Jamovi 2.3.24软件对恢复因子进行潜在剖面分析。采用单因素方差分析比较抑郁、状态焦虑和心理因素之间的差异;采用Scheffe’s检验进行多重比较。结果:发现了3种潜在特征,包括高水平弹性(第1类,19.7%)、中等水平弹性(第2类,47.9%)和低水平弹性(第3类,32.4%)。抑郁和状态焦虑3班高于1班和2班。在第一类分析中,有抑郁和焦虑症状的个体在愤怒反刍方面得分高于无症状的个体,但在认知情绪调节方面没有差异。在第一类中,有抑郁症状的个体比没有抑郁症状的个体在童年时期的情绪忽视程度更高。结论:本研究提供了对心理弹性的深入理解,并揭示了心理弹性与抑郁、焦虑和心理因素之间的关系。有抑郁和状态焦虑症状的1类门诊患者,有必要提供足够的支持和干预来调节愤怒反刍和情绪因素。
本文章由计算机程序翻译,如有差异,请以英文原文为准。

Latent Profile Analysis of Resilience and Its Association With Psychological Factors in Patients Diagnosed With Depression and Anxiety Disorders.

Latent Profile Analysis of Resilience and Its Association With Psychological Factors in Patients Diagnosed With Depression and Anxiety Disorders.

Latent Profile Analysis of Resilience and Its Association With Psychological Factors in Patients Diagnosed With Depression and Anxiety Disorders.

Objective: This study aimed to classify the level of resilience among outpatients and investigate the relationship of resilience with depression, state anxiety, and psychological factors.

Methods: A total of 1,498 outpatients were recruited from a university hospital in Korea. The latent profile analysis of the resilience factor was identified using the R-based Jamovi 2.3.24 software. One-way analysis of variance was used to compare the differences between depression, state anxiety, and psychological factors; Scheffe's test was used to conduct multiple comparisons.

Results: Three latent profiles were identified, including the high level of resilience (Class 1, 19.7%), the moderate level of resilience (Class 2, 47.9%), and the low level of resilience (Class 3, 32.4%). Depression and state anxiety were higher in Class 3 than Class 1 and 2. In analyzing Class 1, individuals with depressive and anxiety symptoms scored higher on anger rumination compared with those without symptoms, but there were no differences in cognitive emotion regulation. Childhood emotional neglect was higher for individuals with depressive symptoms compared to those without symptoms in Class 1.

Conclusion: This study provides an in-depth understanding of resilience and insights into the association between resilience, depression, anxiety, and psychological factors. It is necessary to provide sufficient support and interventions to regulate anger rumination and emotional factors among outpatients in Class 1 with depression and state anxiety symptoms.

求助全文
通过发布文献求助,成功后即可免费获取论文全文。 去求助
来源期刊
CiteScore
4.10
自引率
3.70%
发文量
105
审稿时长
6-12 weeks
期刊介绍: The Psychiatry Investigation is published on the 25th day of every month in English by the Korean Neuropsychiatric Association (KNPA). The Journal covers the whole range of psychiatry and neuroscience. Both basic and clinical contributions are encouraged from all disciplines and research areas relevant to the pathophysiology and management of neuropsychiatric disorders and symptoms, as well as researches related to cross cultural psychiatry and ethnic issues in psychiatry. The Journal publishes editorials, review articles, original articles, brief reports, viewpoints and correspondences. All research articles are peer reviewed. Contributions are accepted for publication on the condition that their substance has not been published or submitted for publication elsewhere. Authors submitting papers to the Journal (serially or otherwise) with a common theme or using data derived from the same sample (or a subset thereof) must send details of all relevant previous publications and simultaneous submissions. The Journal is not responsible for statements made by contributors. Material in the Journal does not necessarily reflect the views of the Editor or of the KNPA. Manuscripts accepted for publication are copy-edited to improve readability and to ensure conformity with house style.
×
引用
GB/T 7714-2015
复制
MLA
复制
APA
复制
导出至
BibTeX EndNote RefMan NoteFirst NoteExpress
×
提示
您的信息不完整,为了账户安全,请先补充。
现在去补充
×
提示
您因"违规操作"
具体请查看互助需知
我知道了
×
提示
确定
请完成安全验证×
copy
已复制链接
快去分享给好友吧!
我知道了
右上角分享
点击右上角分享
0
联系我们:info@booksci.cn Book学术提供免费学术资源搜索服务,方便国内外学者检索中英文文献。致力于提供最便捷和优质的服务体验。 Copyright © 2023 布克学术 All rights reserved.
京ICP备2023020795号-1
ghs 京公网安备 11010802042870号
Book学术文献互助
Book学术文献互助群
群 号:604180095
Book学术官方微信