女性生殖因素与关节炎风险的关联:一项基于人群的横断面研究。

IF 3.4 2区 医学 Q1 PUBLIC, ENVIRONMENTAL & OCCUPATIONAL HEALTH
Jiajia Wang, Yiting Ge, Jingbo Xu, Lin He, Chunjiang Liu, Yuefei Wang
{"title":"女性生殖因素与关节炎风险的关联:一项基于人群的横断面研究。","authors":"Jiajia Wang, Yiting Ge, Jingbo Xu, Lin He, Chunjiang Liu, Yuefei Wang","doi":"10.1186/s12978-025-02095-x","DOIUrl":null,"url":null,"abstract":"<p><strong>Background: </strong>The purpose of the present study was to examine the association of female reproductive factor, including age at first birth (AFB), age at last birth (ALB), number of pregnancies, and live births with prevalence of arthritis in the female population of the American.</p><p><strong>Methods: </strong>The present study analyzed cross-sectional data from a sample of females of National Health and Nutrition Examination Survey (NHANES) years 1999 through 2018. After adjusting for potential confounding factors, we used weighted multivariable logistic regression analysis, restricted cubic spline (RCS) model, and subgroup analysis to evaluate the association of AFB, ALB, number of live births, and pregnancies with prevalence of arthritis.</p><p><strong>Results: </strong>A total of 15,842 female individuals were included in our analysis. The RCS showed that the U-shaped were found between AFB, and number of pregnancies with prevalence of arthritis. The above U-shaped correlation was also found for AFB and osteoarthritis (OA), rheumatoid arthritis (RA), and other arthritis, for ALB and OA. Among, number of pregnancies and OA, and RA were associated in a J-shape. However, ALB, and number of live births is negatively correlated with prevalence of arthritis. In addition, the association of ALB with OA, and other type arthritis, number of pregnancies with other arthritis, number of live births with RA, and other type arthritis showed linear negative correlation. In contrast, a positive linear correlation existed between number of live births and RA.</p><p><strong>Conclusions: </strong>This study provides evidence that women with younger or later AFB have higher odds of arthritis (OA and RA) in later life. When screening for arthritis and devising preventive strategies, reproductive factors need to be taken into consideration.</p>","PeriodicalId":20899,"journal":{"name":"Reproductive Health","volume":"22 1","pages":"149"},"PeriodicalIF":3.4000,"publicationDate":"2025-08-22","publicationTypes":"Journal Article","fieldsOfStudy":null,"isOpenAccess":false,"openAccessPdf":"https://www.ncbi.nlm.nih.gov/pmc/articles/PMC12374423/pdf/","citationCount":"0","resultStr":"{\"title\":\"Association of female reproductive factor with risk of arthritis: a population-based cross-sectional study.\",\"authors\":\"Jiajia Wang, Yiting Ge, Jingbo Xu, Lin He, Chunjiang Liu, Yuefei Wang\",\"doi\":\"10.1186/s12978-025-02095-x\",\"DOIUrl\":null,\"url\":null,\"abstract\":\"<p><strong>Background: </strong>The purpose of the present study was to examine the association of female reproductive factor, including age at first birth (AFB), age at last birth (ALB), number of pregnancies, and live births with prevalence of arthritis in the female population of the American.</p><p><strong>Methods: </strong>The present study analyzed cross-sectional data from a sample of females of National Health and Nutrition Examination Survey (NHANES) years 1999 through 2018. After adjusting for potential confounding factors, we used weighted multivariable logistic regression analysis, restricted cubic spline (RCS) model, and subgroup analysis to evaluate the association of AFB, ALB, number of live births, and pregnancies with prevalence of arthritis.</p><p><strong>Results: </strong>A total of 15,842 female individuals were included in our analysis. The RCS showed that the U-shaped were found between AFB, and number of pregnancies with prevalence of arthritis. The above U-shaped correlation was also found for AFB and osteoarthritis (OA), rheumatoid arthritis (RA), and other arthritis, for ALB and OA. Among, number of pregnancies and OA, and RA were associated in a J-shape. However, ALB, and number of live births is negatively correlated with prevalence of arthritis. In addition, the association of ALB with OA, and other type arthritis, number of pregnancies with other arthritis, number of live births with RA, and other type arthritis showed linear negative correlation. In contrast, a positive linear correlation existed between number of live births and RA.</p><p><strong>Conclusions: </strong>This study provides evidence that women with younger or later AFB have higher odds of arthritis (OA and RA) in later life. When screening for arthritis and devising preventive strategies, reproductive factors need to be taken into consideration.</p>\",\"PeriodicalId\":20899,\"journal\":{\"name\":\"Reproductive Health\",\"volume\":\"22 1\",\"pages\":\"149\"},\"PeriodicalIF\":3.4000,\"publicationDate\":\"2025-08-22\",\"publicationTypes\":\"Journal Article\",\"fieldsOfStudy\":null,\"isOpenAccess\":false,\"openAccessPdf\":\"https://www.ncbi.nlm.nih.gov/pmc/articles/PMC12374423/pdf/\",\"citationCount\":\"0\",\"resultStr\":null,\"platform\":\"Semanticscholar\",\"paperid\":null,\"PeriodicalName\":\"Reproductive Health\",\"FirstCategoryId\":\"3\",\"ListUrlMain\":\"https://doi.org/10.1186/s12978-025-02095-x\",\"RegionNum\":2,\"RegionCategory\":\"医学\",\"ArticlePicture\":[],\"TitleCN\":null,\"AbstractTextCN\":null,\"PMCID\":null,\"EPubDate\":\"\",\"PubModel\":\"\",\"JCR\":\"Q1\",\"JCRName\":\"PUBLIC, ENVIRONMENTAL & OCCUPATIONAL HEALTH\",\"Score\":null,\"Total\":0}","platform":"Semanticscholar","paperid":null,"PeriodicalName":"Reproductive Health","FirstCategoryId":"3","ListUrlMain":"https://doi.org/10.1186/s12978-025-02095-x","RegionNum":2,"RegionCategory":"医学","ArticlePicture":[],"TitleCN":null,"AbstractTextCN":null,"PMCID":null,"EPubDate":"","PubModel":"","JCR":"Q1","JCRName":"PUBLIC, ENVIRONMENTAL & OCCUPATIONAL HEALTH","Score":null,"Total":0}
引用次数: 0

摘要

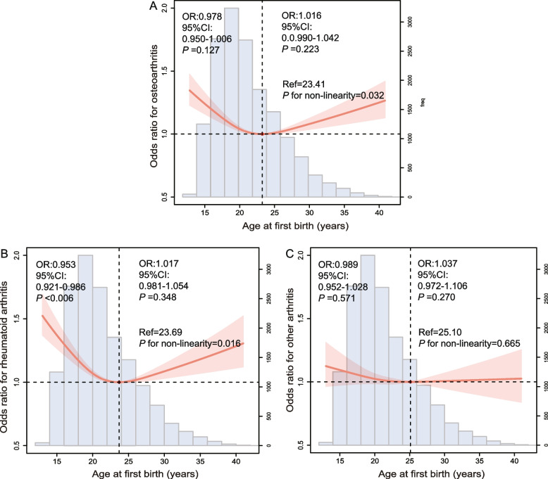
背景:本研究的目的是研究女性生殖因素,包括第一胎年龄(AFB)、最后一胎年龄(ALB)、怀孕次数和活产与美国女性关节炎患病率的关系。方法:本研究分析了1999年至2018年国家健康与营养检查调查(NHANES)女性样本的横断面数据。在调整潜在的混杂因素后,我们使用加权多变量logistic回归分析、限制性三次样条(RCS)模型和亚组分析来评估AFB、ALB、活产数和怀孕与关节炎患病率的关系。结果:共有15842名女性个体纳入我们的分析。RCS显示,AFB与患关节炎的怀孕次数呈u型关系。在ALB和OA中,AFB与骨关节炎(OA)、类风湿性关节炎(RA)和其他关节炎也存在上述u型相关性。其中,妊娠数与OA、RA呈j型相关。然而,ALB和活产数与关节炎患病率呈负相关。此外,ALB与OA、其他类型关节炎、其他类型关节炎妊娠数、RA活产数、其他类型关节炎的相关性呈线性负相关。相比之下,活产数与RA之间存在正线性相关。结论:这项研究提供了证据,证明AFB年龄较小或较晚的女性在晚年生活中患关节炎(OA和RA)的几率更高。在进行关节炎筛查和制定预防策略时,需要考虑到生殖因素。
本文章由计算机程序翻译,如有差异,请以英文原文为准。

Association of female reproductive factor with risk of arthritis: a population-based cross-sectional study.

Association of female reproductive factor with risk of arthritis: a population-based cross-sectional study.

Association of female reproductive factor with risk of arthritis: a population-based cross-sectional study.

Association of female reproductive factor with risk of arthritis: a population-based cross-sectional study.

Background: The purpose of the present study was to examine the association of female reproductive factor, including age at first birth (AFB), age at last birth (ALB), number of pregnancies, and live births with prevalence of arthritis in the female population of the American.

Methods: The present study analyzed cross-sectional data from a sample of females of National Health and Nutrition Examination Survey (NHANES) years 1999 through 2018. After adjusting for potential confounding factors, we used weighted multivariable logistic regression analysis, restricted cubic spline (RCS) model, and subgroup analysis to evaluate the association of AFB, ALB, number of live births, and pregnancies with prevalence of arthritis.

Results: A total of 15,842 female individuals were included in our analysis. The RCS showed that the U-shaped were found between AFB, and number of pregnancies with prevalence of arthritis. The above U-shaped correlation was also found for AFB and osteoarthritis (OA), rheumatoid arthritis (RA), and other arthritis, for ALB and OA. Among, number of pregnancies and OA, and RA were associated in a J-shape. However, ALB, and number of live births is negatively correlated with prevalence of arthritis. In addition, the association of ALB with OA, and other type arthritis, number of pregnancies with other arthritis, number of live births with RA, and other type arthritis showed linear negative correlation. In contrast, a positive linear correlation existed between number of live births and RA.

Conclusions: This study provides evidence that women with younger or later AFB have higher odds of arthritis (OA and RA) in later life. When screening for arthritis and devising preventive strategies, reproductive factors need to be taken into consideration.

求助全文
通过发布文献求助,成功后即可免费获取论文全文。 去求助
来源期刊
Reproductive Health
Reproductive Health PUBLIC, ENVIRONMENTAL & OCCUPATIONAL HEALTH-
CiteScore
6.00
自引率
5.90%
发文量
220
审稿时长
>12 weeks
期刊介绍: Reproductive Health focuses on all aspects of human reproduction. The journal includes sections dedicated to adolescent health, female fertility and midwifery and all content is open access. Reproductive health is defined as a state of physical, mental, and social well-being in all matters relating to the reproductive system, at all stages of life. Good reproductive health implies that people are able to have a satisfying and safe sex life, the capability to reproduce and the freedom to decide if, when, and how often to do so. Men and women should be informed about and have access to safe, effective, affordable, and acceptable methods of family planning of their choice, and the right to appropriate health-care services that enable women to safely go through pregnancy and childbirth.
×
引用
GB/T 7714-2015
复制
MLA
复制
APA
复制
导出至
BibTeX EndNote RefMan NoteFirst NoteExpress
×
提示
您的信息不完整,为了账户安全,请先补充。
现在去补充
×
提示
您因"违规操作"
具体请查看互助需知
我知道了
×
提示
确定
请完成安全验证×
copy
已复制链接
快去分享给好友吧!
我知道了
右上角分享
点击右上角分享
0
联系我们:info@booksci.cn Book学术提供免费学术资源搜索服务,方便国内外学者检索中英文文献。致力于提供最便捷和优质的服务体验。 Copyright © 2023 布克学术 All rights reserved.
京ICP备2023020795号-1
ghs 京公网安备 11010802042870号
Book学术文献互助
Book学术文献互助群
群 号:604180095
Book学术官方微信