小儿烧伤患者全身免疫炎症指数、HALP评分、中性粒细胞-淋巴细胞比值、血小板-淋巴细胞比值的评价。

IF 1.5 4区 医学 Q2 MEDICINE, GENERAL & INTERNAL
Gül Doğan, Hülya İpek, Mehmet Metin, Nurcan Çoşkun, Çağatay E Afşarlar
{"title":"小儿烧伤患者全身免疫炎症指数、HALP评分、中性粒细胞-淋巴细胞比值、血小板-淋巴细胞比值的评价。","authors":"Gül Doğan, Hülya İpek, Mehmet Metin, Nurcan Çoşkun, Çağatay E Afşarlar","doi":"10.15537/smj.2025.46.9.20250284","DOIUrl":null,"url":null,"abstract":"<p><strong>Objectives: </strong>To evaluate whether there is any relationship between neutrophil-to-lymphocyte ratio (NLR), platelet-to-lymphocyte ratio(PLO), systemic immune -inflammation (SII) level and HALP score and the location of involvement, surface width, burn degree in pediatric burn patients to investigate the effect on prognosis.</p><p><strong>Methods: </strong>After obtaining institutional ethical committee approval, a retrospective analysis was conducted on 192 pediatric cases (under 18 years old) treated for burns in our hospital from December 2018 to December 2023. Hemoglobin, leukocyte, neutrophil, platelet and albumin levels. Simultaneously NLR, PLR, SII and HALP scores were calculated.</p><p><strong>Results: </strong>Post-hoc test results revealed that the NLR values in the first-degree burn group were significantly lower than those in the second-degree burn group and the group with combined first- and second-degree burns (<i>p</i>=0.001, <i>p</i>=0.027). Similarly, the SII values in the first-degree burn group were significantly lower than those in the second-degree burn group and the combined burn group (<i>p</i>=0.001, <i>p</i>=0.004). The HALP score values in the combined burn group were significantly lower than those in the first-degree burn group (<i>p</i>=0.031). No significant differences were observed between other groups (<i>p</i>>0.05).</p><p><strong>Conclusion: </strong>These parameters are derived from routinely collected blood tests, making them cost-effective, easily accessible, and practical for patients. Therefore, they could be useful as biomarkers for predicting prognosis in pediatric burned patients.</p>","PeriodicalId":21453,"journal":{"name":"Saudi Medical Journal","volume":"46 9","pages":"1056-1062"},"PeriodicalIF":1.5000,"publicationDate":"2025-09-01","publicationTypes":"Journal Article","fieldsOfStudy":null,"isOpenAccess":false,"openAccessPdf":"https://www.ncbi.nlm.nih.gov/pmc/articles/PMC12450052/pdf/","citationCount":"0","resultStr":"{\"title\":\"Evaluation of systemic immune inflammation index, HALP score, neutrophil-lymphocyte ratio and platelet-lymphocyte ratio in pediatric burned patients.\",\"authors\":\"Gül Doğan, Hülya İpek, Mehmet Metin, Nurcan Çoşkun, Çağatay E Afşarlar\",\"doi\":\"10.15537/smj.2025.46.9.20250284\",\"DOIUrl\":null,\"url\":null,\"abstract\":\"<p><strong>Objectives: </strong>To evaluate whether there is any relationship between neutrophil-to-lymphocyte ratio (NLR), platelet-to-lymphocyte ratio(PLO), systemic immune -inflammation (SII) level and HALP score and the location of involvement, surface width, burn degree in pediatric burn patients to investigate the effect on prognosis.</p><p><strong>Methods: </strong>After obtaining institutional ethical committee approval, a retrospective analysis was conducted on 192 pediatric cases (under 18 years old) treated for burns in our hospital from December 2018 to December 2023. Hemoglobin, leukocyte, neutrophil, platelet and albumin levels. Simultaneously NLR, PLR, SII and HALP scores were calculated.</p><p><strong>Results: </strong>Post-hoc test results revealed that the NLR values in the first-degree burn group were significantly lower than those in the second-degree burn group and the group with combined first- and second-degree burns (<i>p</i>=0.001, <i>p</i>=0.027). Similarly, the SII values in the first-degree burn group were significantly lower than those in the second-degree burn group and the combined burn group (<i>p</i>=0.001, <i>p</i>=0.004). The HALP score values in the combined burn group were significantly lower than those in the first-degree burn group (<i>p</i>=0.031). No significant differences were observed between other groups (<i>p</i>>0.05).</p><p><strong>Conclusion: </strong>These parameters are derived from routinely collected blood tests, making them cost-effective, easily accessible, and practical for patients. Therefore, they could be useful as biomarkers for predicting prognosis in pediatric burned patients.</p>\",\"PeriodicalId\":21453,\"journal\":{\"name\":\"Saudi Medical Journal\",\"volume\":\"46 9\",\"pages\":\"1056-1062\"},\"PeriodicalIF\":1.5000,\"publicationDate\":\"2025-09-01\",\"publicationTypes\":\"Journal Article\",\"fieldsOfStudy\":null,\"isOpenAccess\":false,\"openAccessPdf\":\"https://www.ncbi.nlm.nih.gov/pmc/articles/PMC12450052/pdf/\",\"citationCount\":\"0\",\"resultStr\":null,\"platform\":\"Semanticscholar\",\"paperid\":null,\"PeriodicalName\":\"Saudi Medical Journal\",\"FirstCategoryId\":\"3\",\"ListUrlMain\":\"https://doi.org/10.15537/smj.2025.46.9.20250284\",\"RegionNum\":4,\"RegionCategory\":\"医学\",\"ArticlePicture\":[],\"TitleCN\":null,\"AbstractTextCN\":null,\"PMCID\":null,\"EPubDate\":\"\",\"PubModel\":\"\",\"JCR\":\"Q2\",\"JCRName\":\"MEDICINE, GENERAL & INTERNAL\",\"Score\":null,\"Total\":0}","platform":"Semanticscholar","paperid":null,"PeriodicalName":"Saudi Medical Journal","FirstCategoryId":"3","ListUrlMain":"https://doi.org/10.15537/smj.2025.46.9.20250284","RegionNum":4,"RegionCategory":"医学","ArticlePicture":[],"TitleCN":null,"AbstractTextCN":null,"PMCID":null,"EPubDate":"","PubModel":"","JCR":"Q2","JCRName":"MEDICINE, GENERAL & INTERNAL","Score":null,"Total":0}
引用次数: 0

摘要

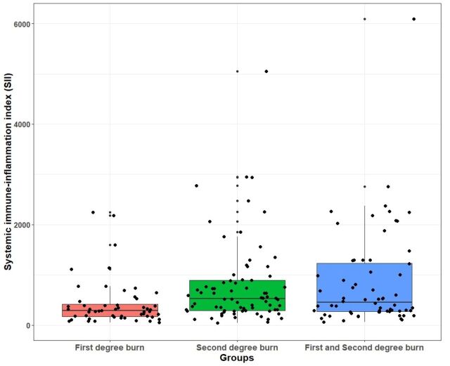
目的:评价小儿烧伤患者中性粒细胞与淋巴细胞比值(NLR)、血小板与淋巴细胞比值(PLO)、全身免疫炎症(SII)水平及HALP评分与受损伤部位、表面宽度、烧伤程度的关系,探讨其对预后的影响。方法:经机构伦理委员会批准,对我院2018年12月至2023年12月收治的192例18岁以下小儿烧伤病例进行回顾性分析。血红蛋白,白细胞,中性粒细胞,血小板和白蛋白水平。同时计算NLR、PLR、SII和HALP评分。结果:事后检验结果显示,1度烧伤组NLR值显著低于2度烧伤组和1、2度烧伤合并组(p=0.001, p=0.027)。同样,一级烧伤组SII值明显低于二级烧伤组和联合烧伤组(p=0.001, p=0.004)。综合烧伤组的HALP评分值显著低于一级烧伤组(p=0.031)。其他组间差异无统计学意义(p < 0.05)。结论:这些参数来自常规采集的血液检查,使其具有成本效益,易于获取,对患者实用。因此,它们可以作为预测小儿烧伤患者预后的生物标志物。
本文章由计算机程序翻译,如有差异,请以英文原文为准。

Evaluation of systemic immune inflammation index, HALP score, neutrophil-lymphocyte ratio and platelet-lymphocyte ratio in pediatric burned patients.

Evaluation of systemic immune inflammation index, HALP score, neutrophil-lymphocyte ratio and platelet-lymphocyte ratio in pediatric burned patients.

Evaluation of systemic immune inflammation index, HALP score, neutrophil-lymphocyte ratio and platelet-lymphocyte ratio in pediatric burned patients.

Objectives: To evaluate whether there is any relationship between neutrophil-to-lymphocyte ratio (NLR), platelet-to-lymphocyte ratio(PLO), systemic immune -inflammation (SII) level and HALP score and the location of involvement, surface width, burn degree in pediatric burn patients to investigate the effect on prognosis.

Methods: After obtaining institutional ethical committee approval, a retrospective analysis was conducted on 192 pediatric cases (under 18 years old) treated for burns in our hospital from December 2018 to December 2023. Hemoglobin, leukocyte, neutrophil, platelet and albumin levels. Simultaneously NLR, PLR, SII and HALP scores were calculated.

Results: Post-hoc test results revealed that the NLR values in the first-degree burn group were significantly lower than those in the second-degree burn group and the group with combined first- and second-degree burns (p=0.001, p=0.027). Similarly, the SII values in the first-degree burn group were significantly lower than those in the second-degree burn group and the combined burn group (p=0.001, p=0.004). The HALP score values in the combined burn group were significantly lower than those in the first-degree burn group (p=0.031). No significant differences were observed between other groups (p>0.05).

Conclusion: These parameters are derived from routinely collected blood tests, making them cost-effective, easily accessible, and practical for patients. Therefore, they could be useful as biomarkers for predicting prognosis in pediatric burned patients.

求助全文
通过发布文献求助,成功后即可免费获取论文全文。 去求助
来源期刊
Saudi Medical Journal
Saudi Medical Journal 医学-医学:内科
CiteScore
2.30
自引率
6.20%
发文量
203
审稿时长
12 months
期刊介绍: The Saudi Medical Journal is a monthly peer-reviewed medical journal. It is an open access journal, with content released under a Creative Commons attribution-noncommercial license. The journal publishes original research articles, review articles, Systematic Reviews, Case Reports, Brief Communication, Brief Report, Clinical Note, Clinical Image, Editorials, Book Reviews, Correspondence, and Student Corner.
×
引用
GB/T 7714-2015
复制
MLA
复制
APA
复制
导出至
BibTeX EndNote RefMan NoteFirst NoteExpress
×
提示
您的信息不完整,为了账户安全,请先补充。
现在去补充
×
提示
您因"违规操作"
具体请查看互助需知
我知道了
×
提示
确定
请完成安全验证×
copy
已复制链接
快去分享给好友吧!
我知道了
右上角分享
点击右上角分享
0
联系我们:info@booksci.cn Book学术提供免费学术资源搜索服务,方便国内外学者检索中英文文献。致力于提供最便捷和优质的服务体验。 Copyright © 2023 布克学术 All rights reserved.
京ICP备2023020795号-1
ghs 京公网安备 11010802042870号
Book学术文献互助
Book学术文献互助群
群 号:604180095
Book学术官方微信